RSS订阅
繁體版
导航
网站首页
网站首页
固镇动态
政府信息公开
政民互动
网上办事
走进固镇
数据发布
您当前所在位置:
首页
>
固镇动态
>
通知公告
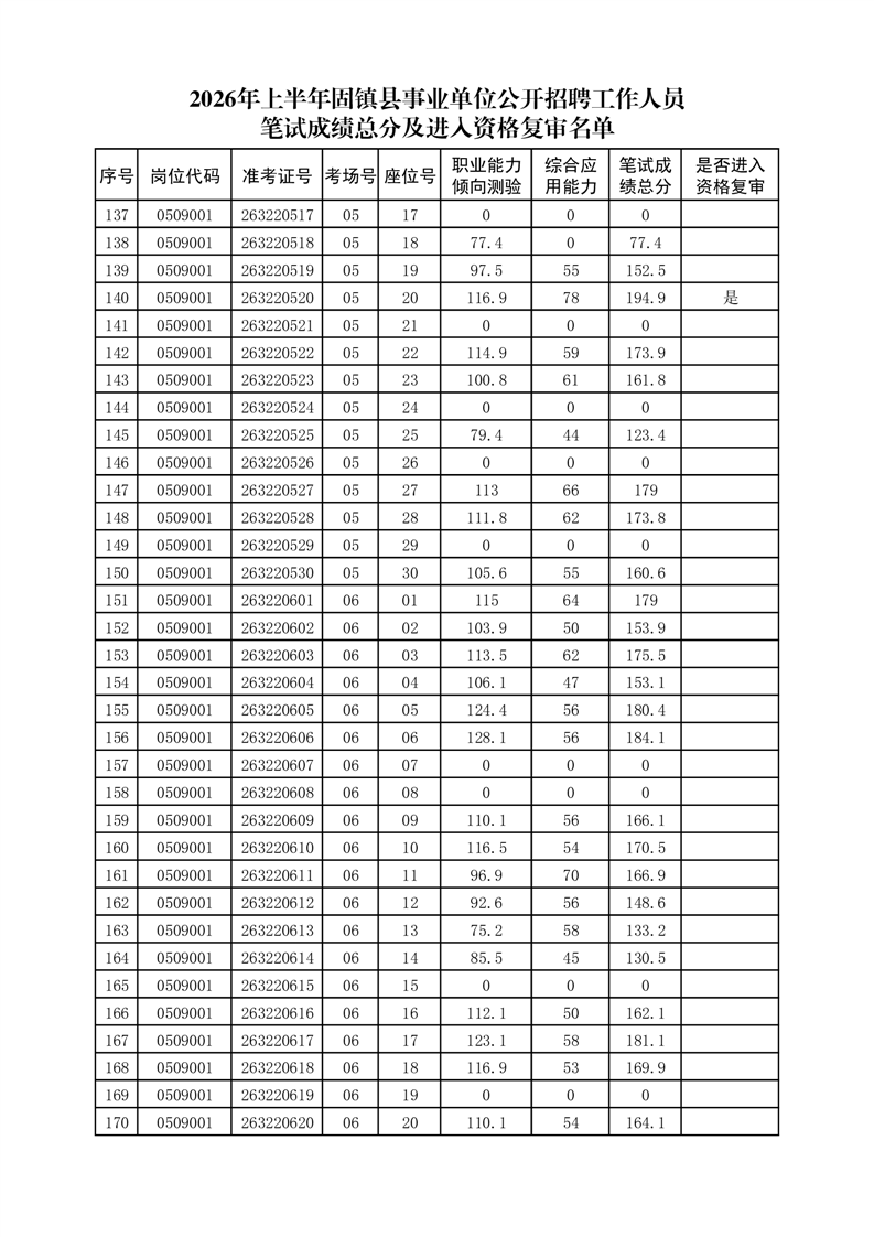
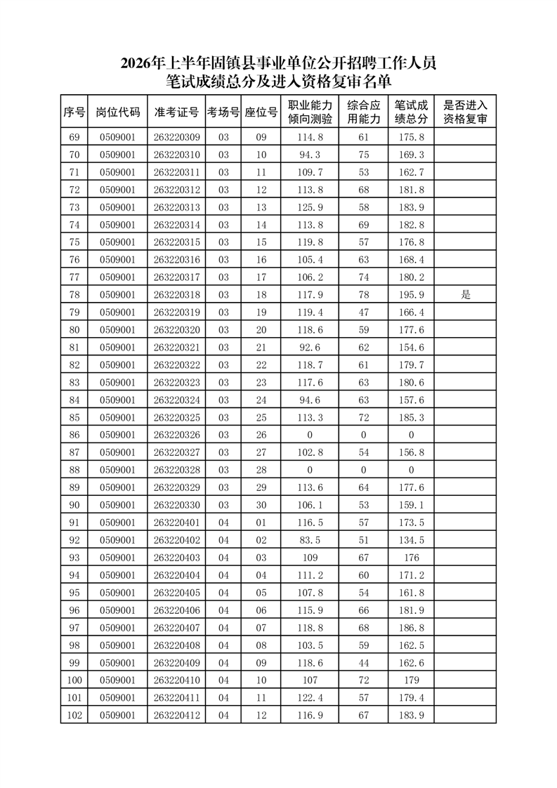
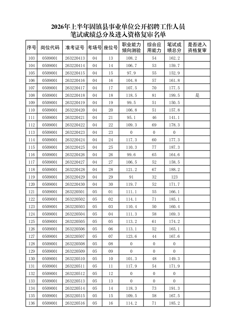
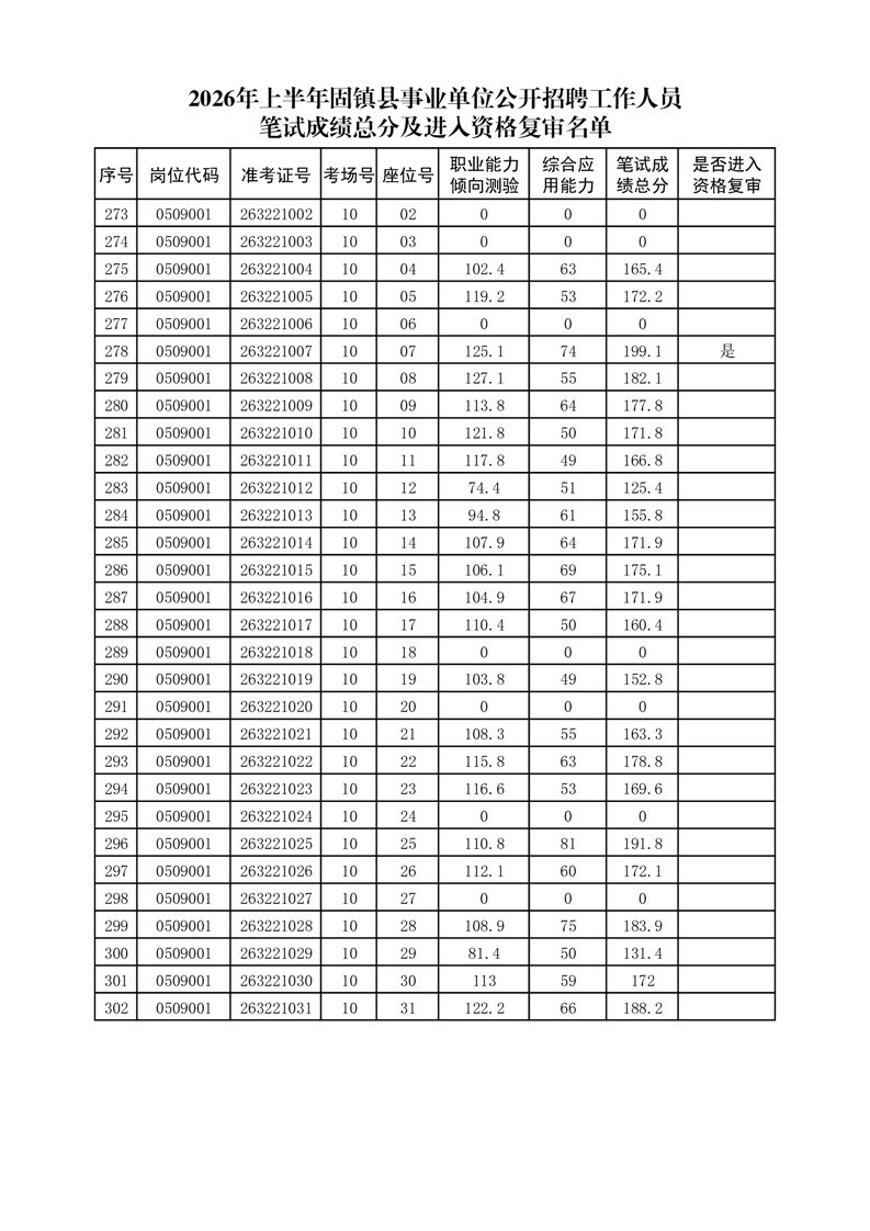
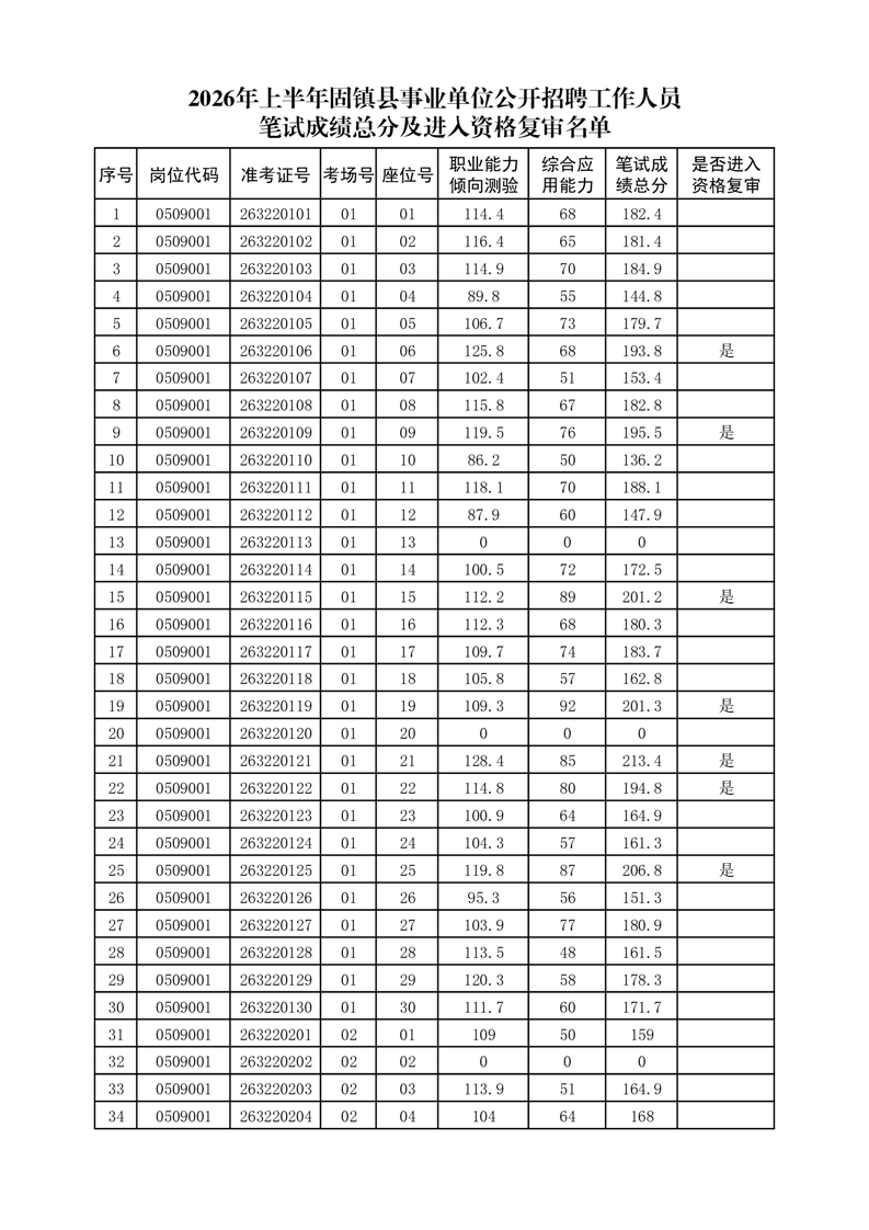
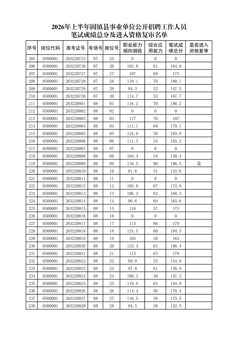
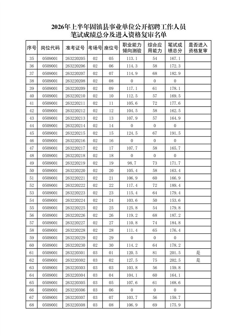
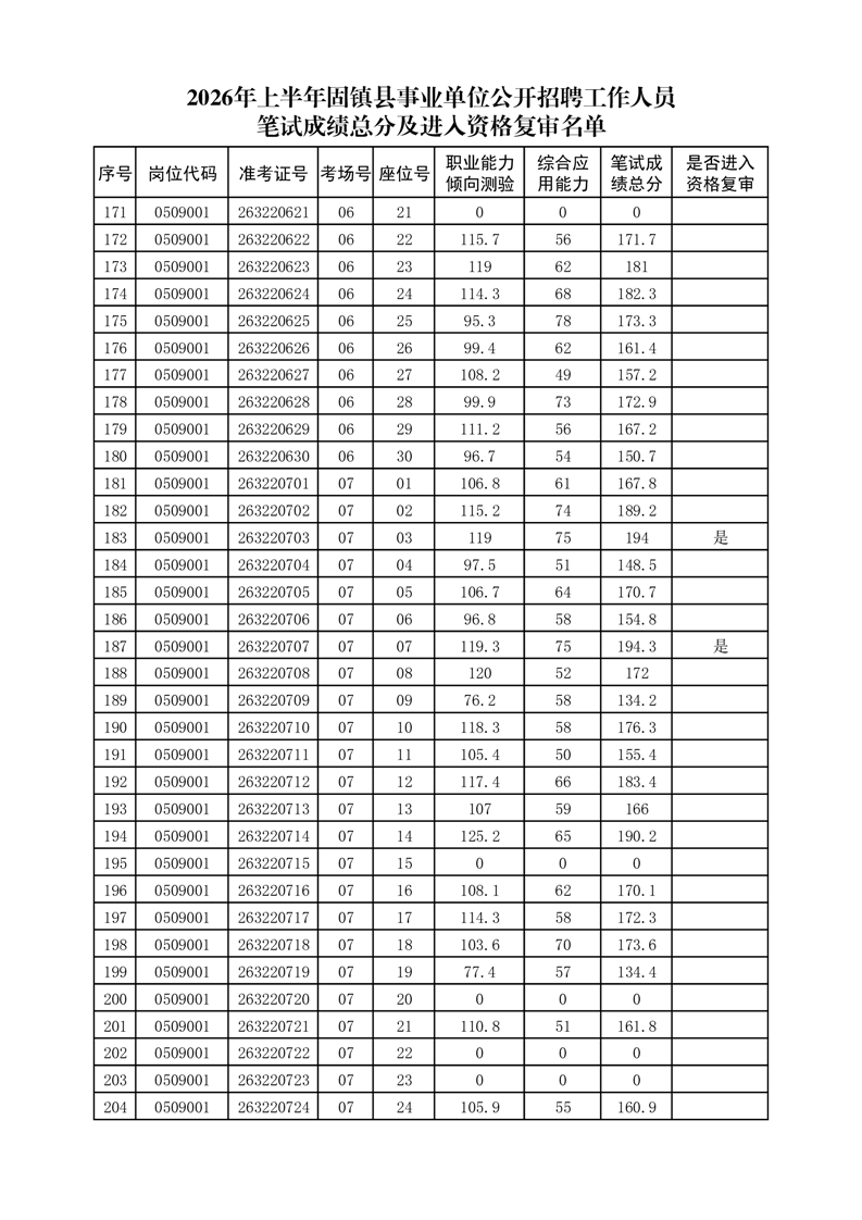
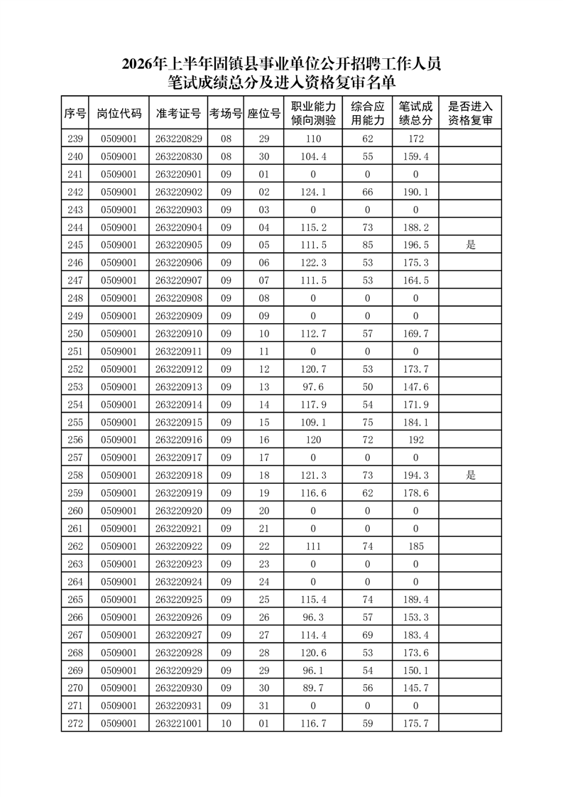
2026年上半年固镇县事业单位公开招聘工作人员笔试成绩及进入资格复审名单
发布日期:2026-04-07 11:12 作者:人社局信息员 来源:固镇县人力资源和社会保障局 阅读:
次
字体:[
大
中
小
]
保护视力色:
打印本页
关闭
政务微信
扫码关注
固镇县门户·微信
政务微博
扫码关注
固镇县门户·微博