| 索引号:
|
003047955/202601-00011 |
信息分类: |
城乡低保 |
| 发布机构: |
固镇县民政局 |
发布日期: |
2026-01-19 10:56 |
| 文 号: |
|
有效性:
|
有效 |
| 成文日期: |
2026-01-19 |
| 名 称: |
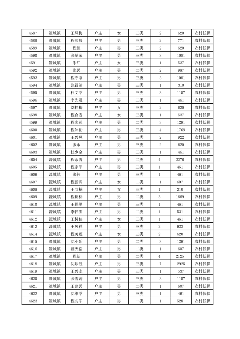
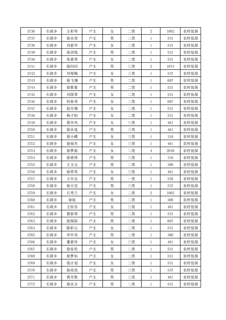
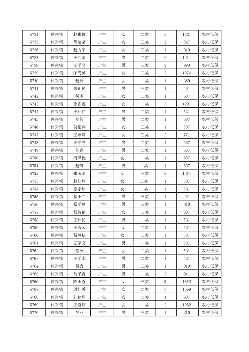
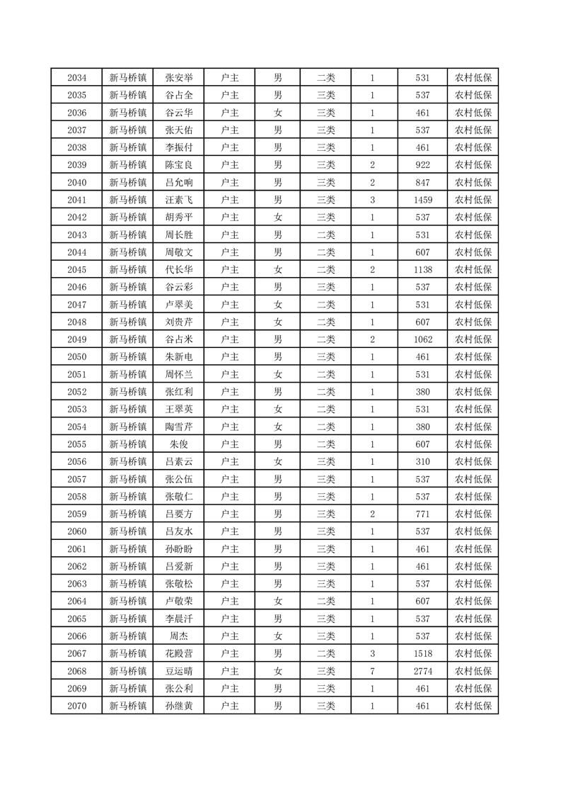
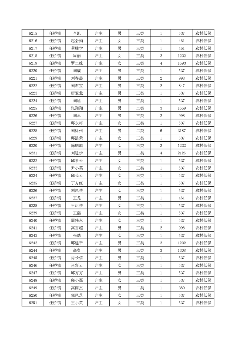
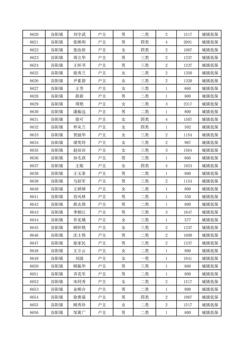
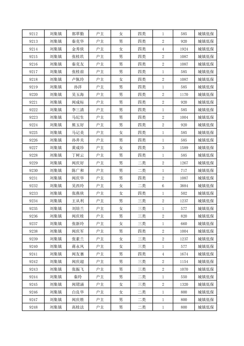
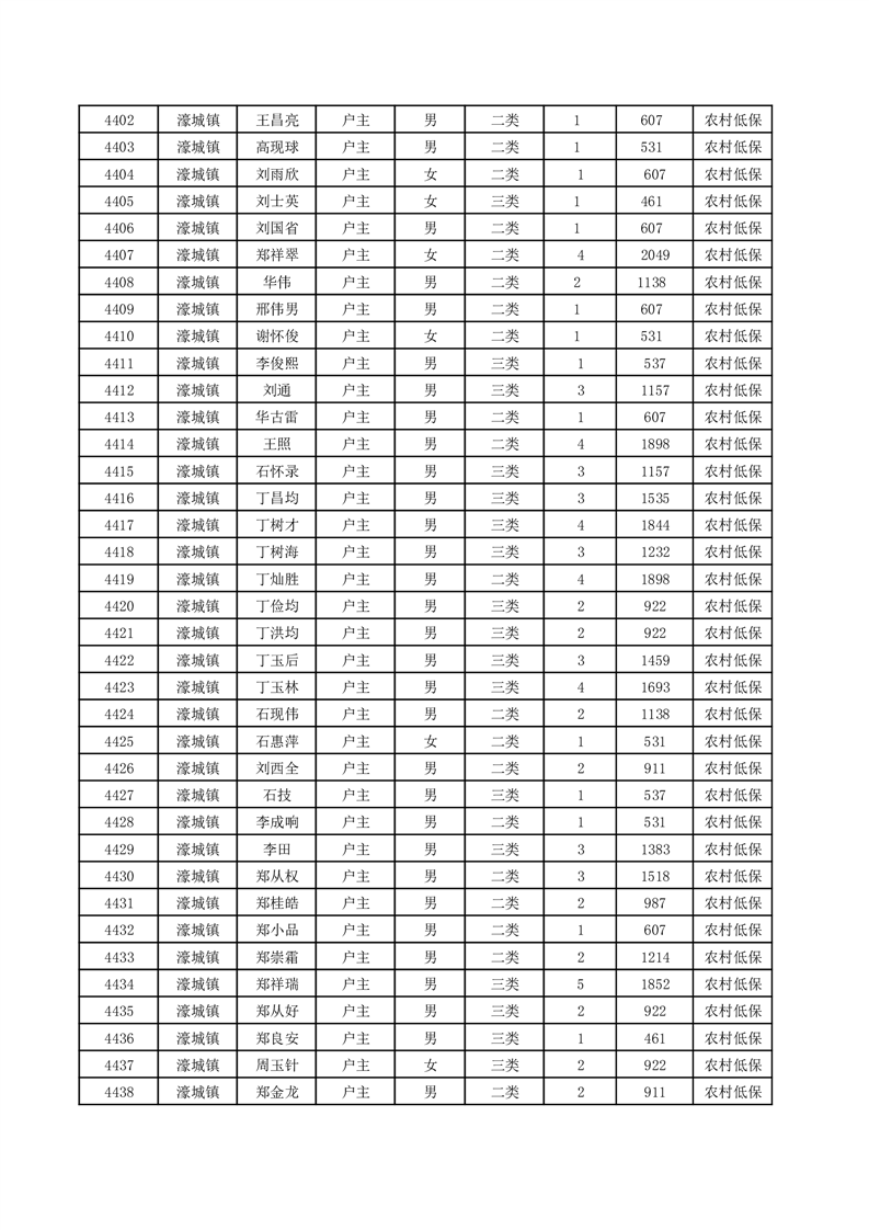
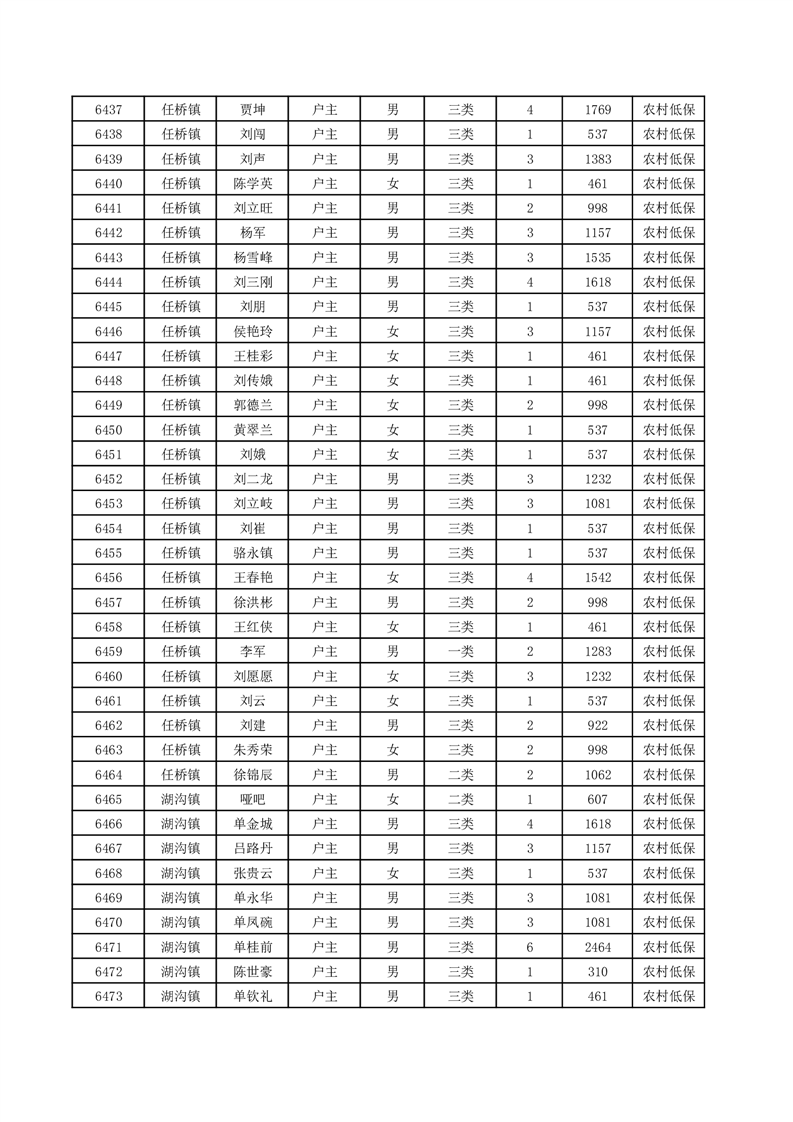
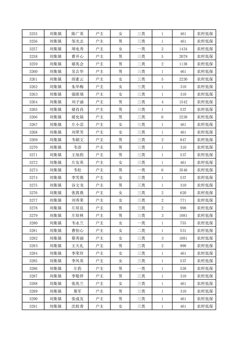
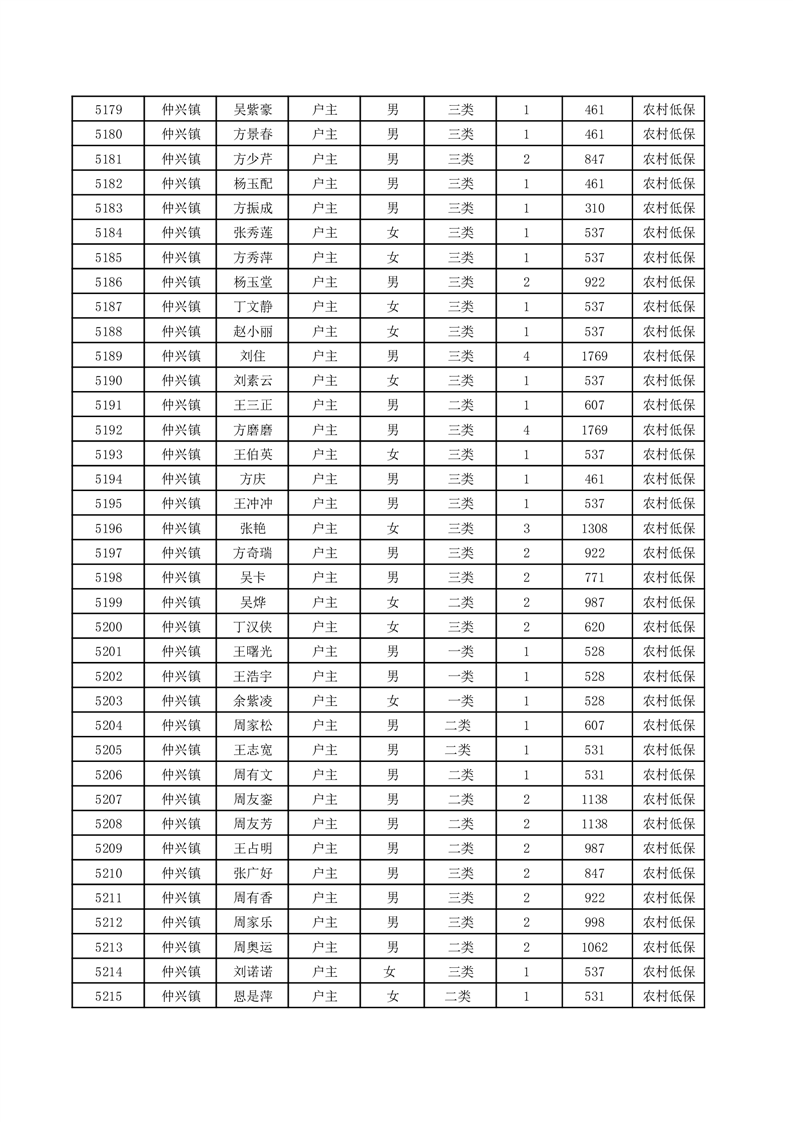
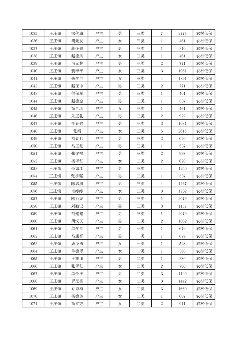
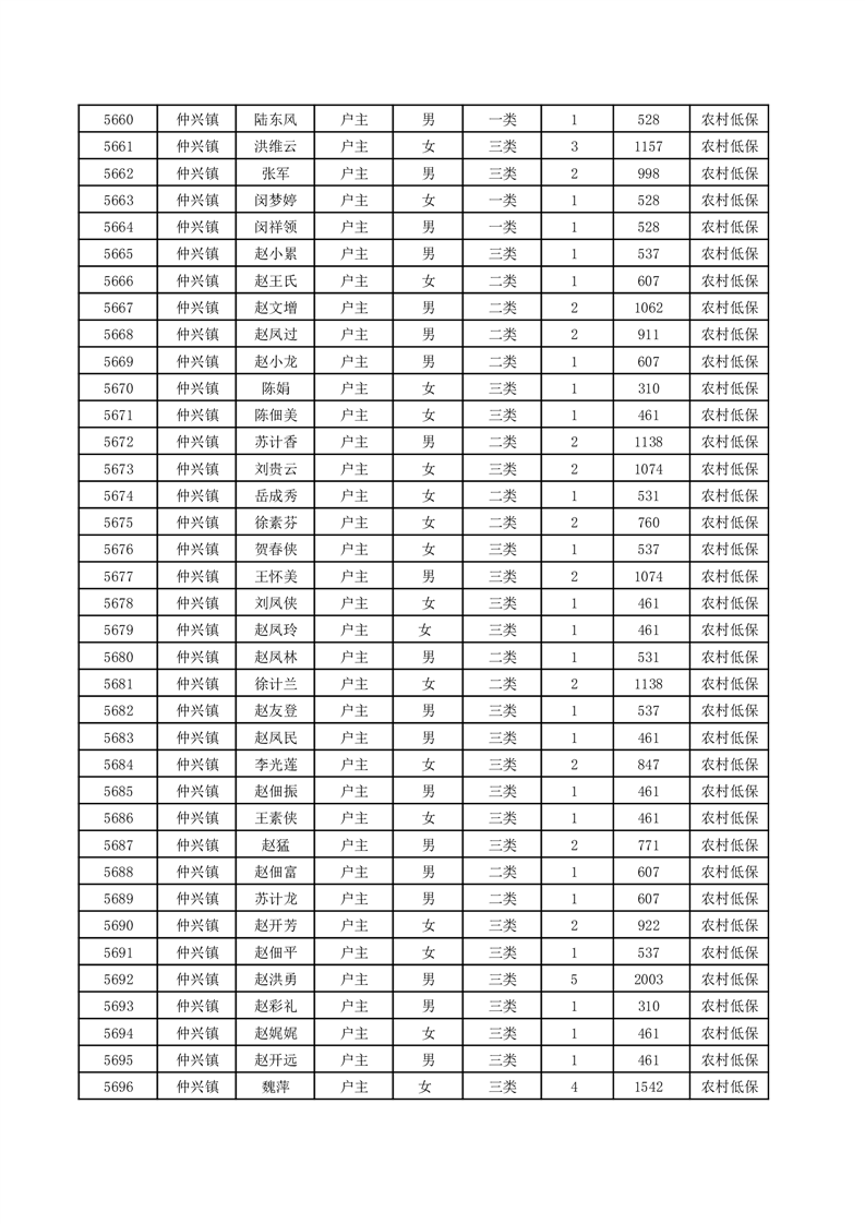
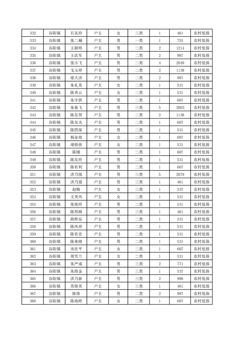
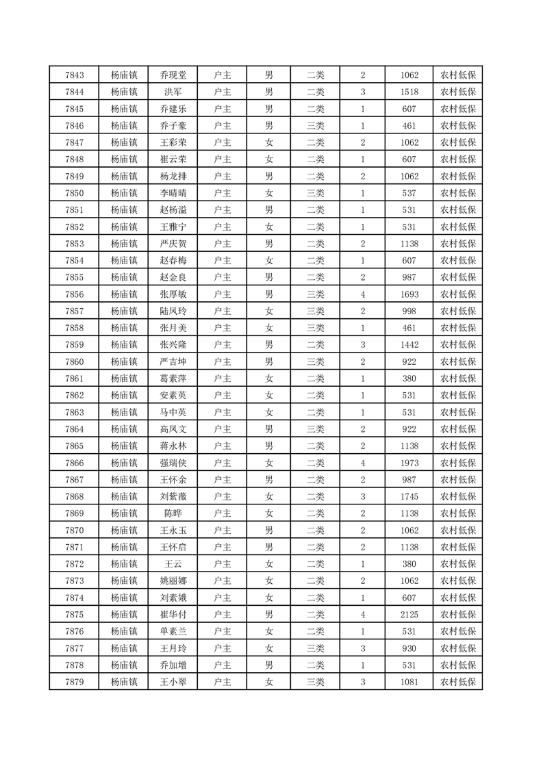
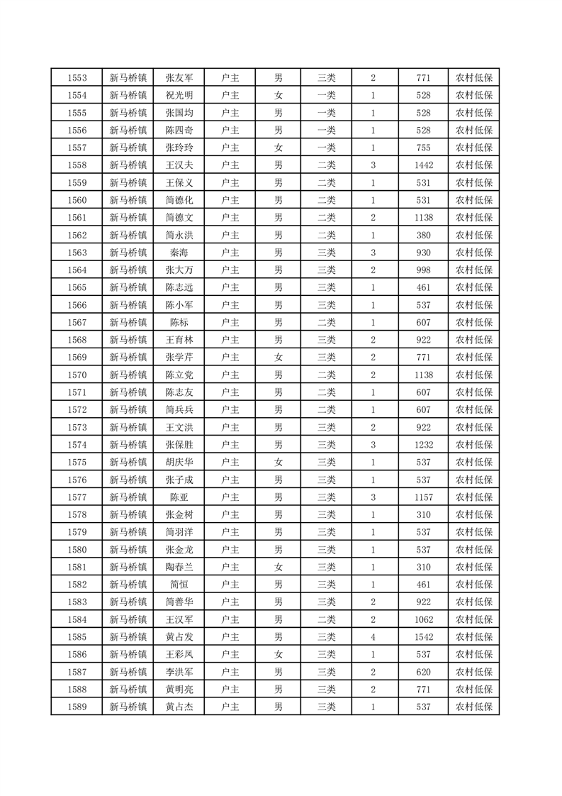
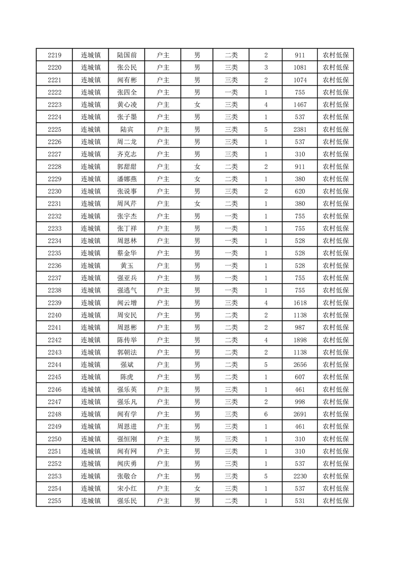
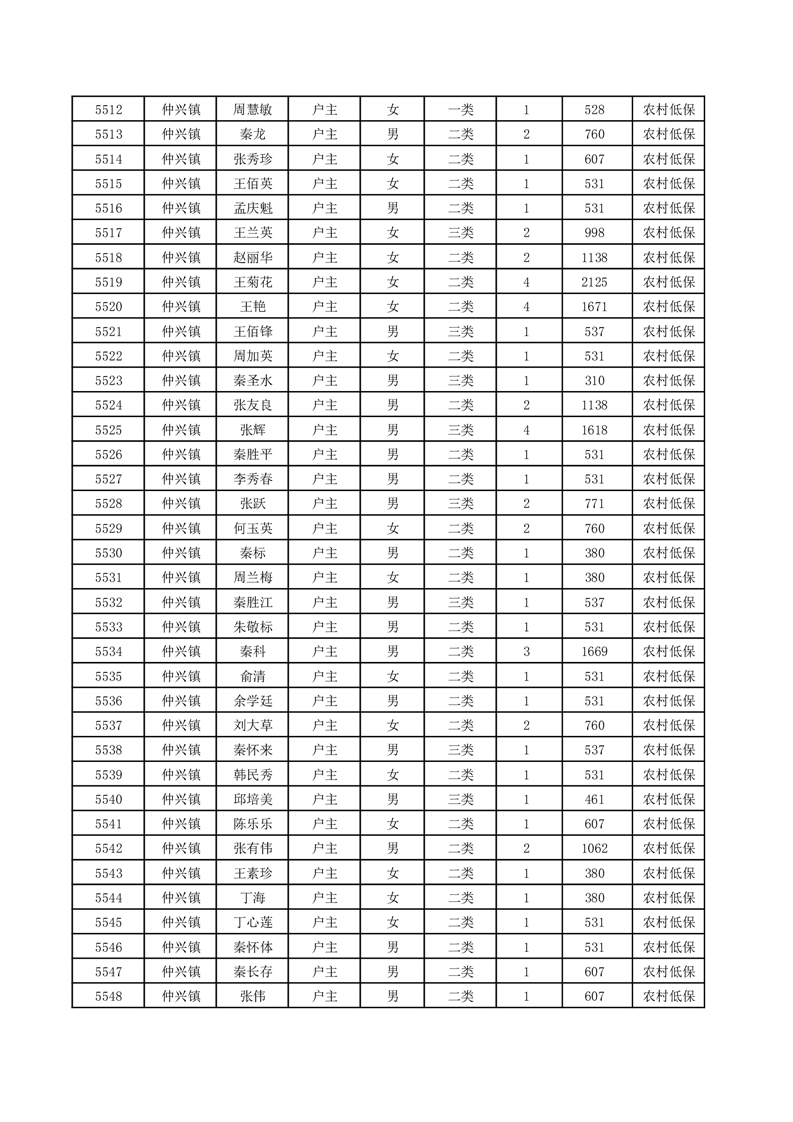
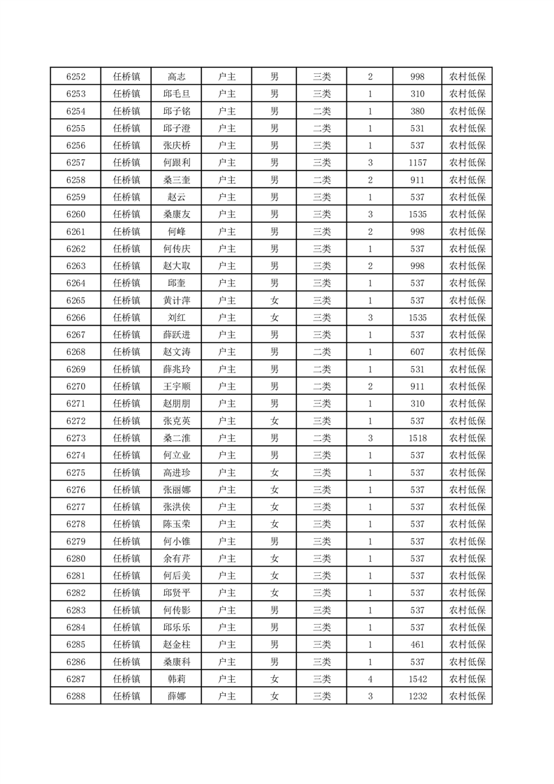
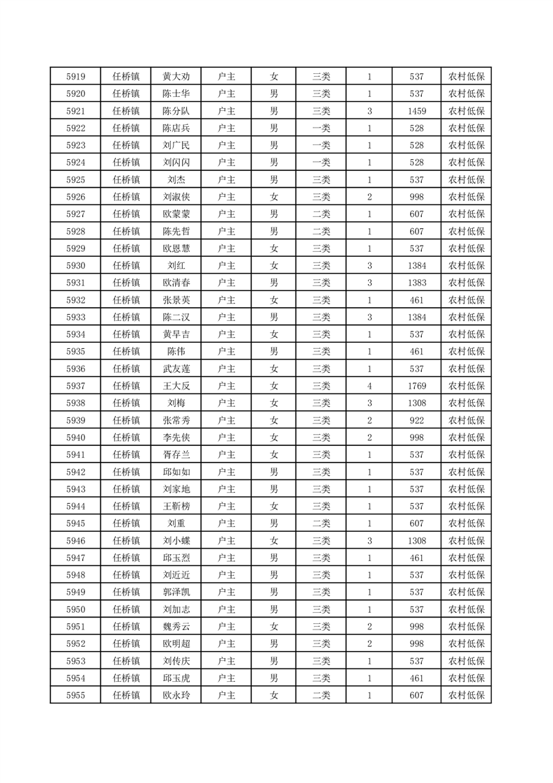
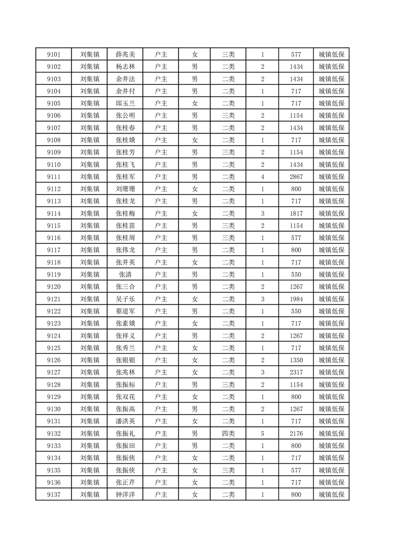
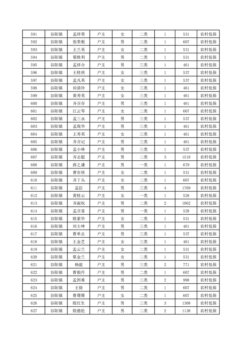
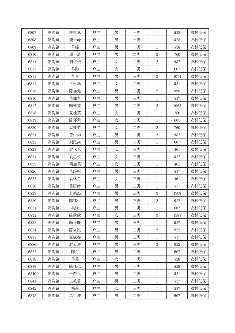
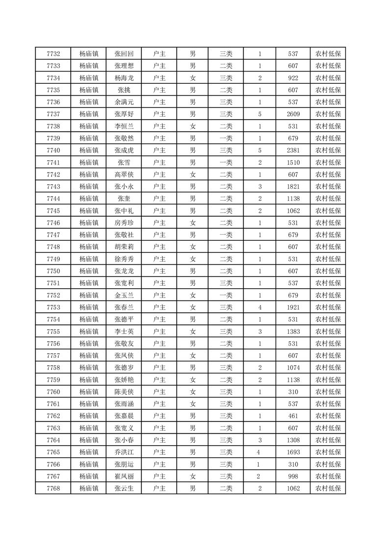
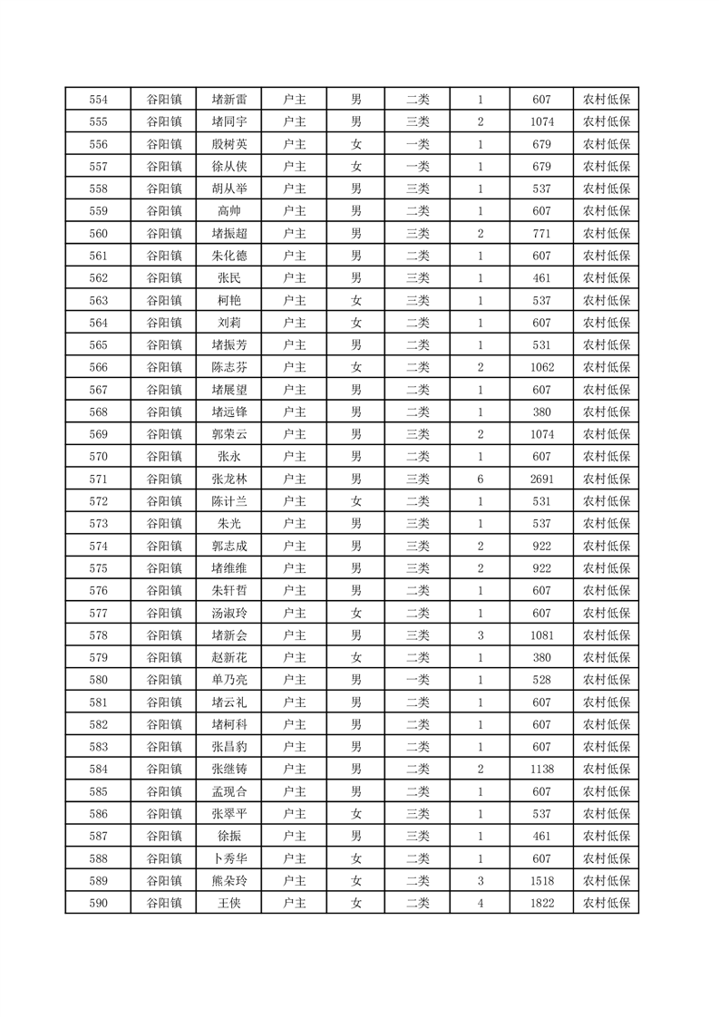
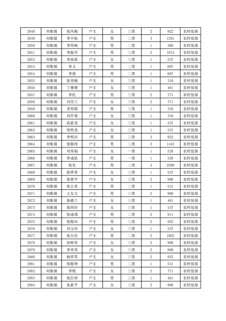
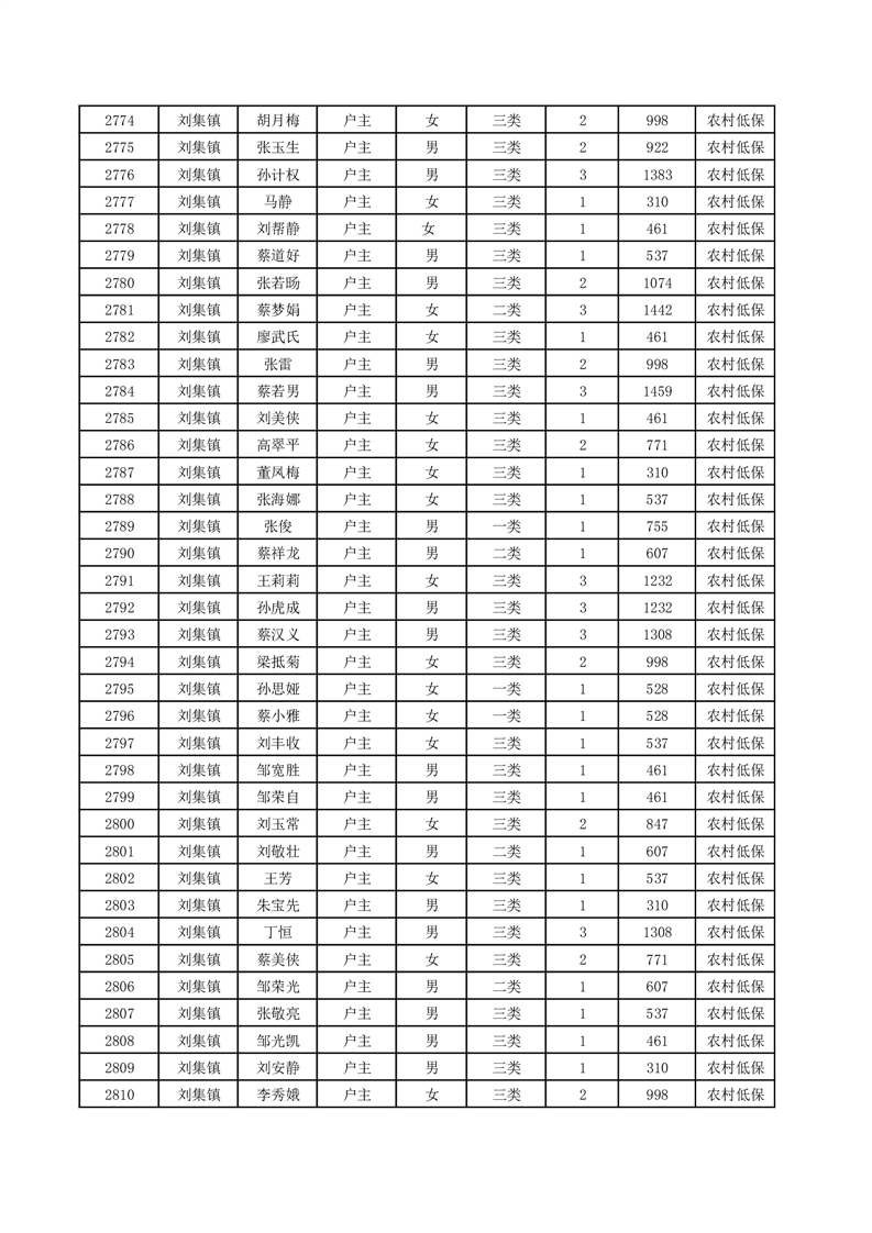
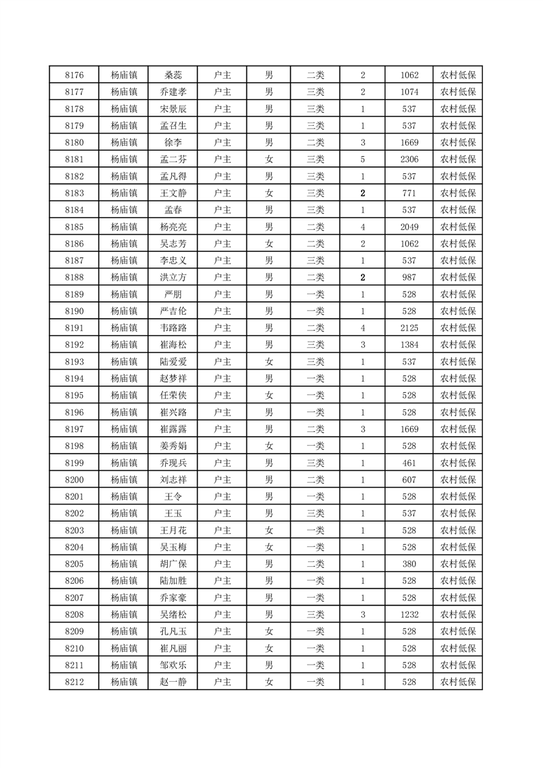
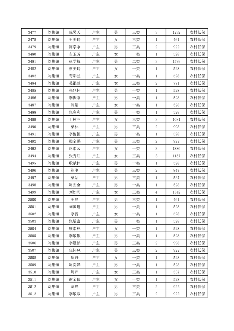
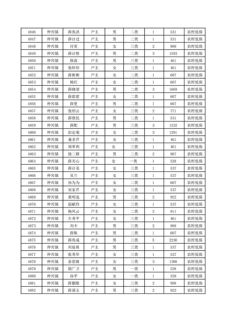
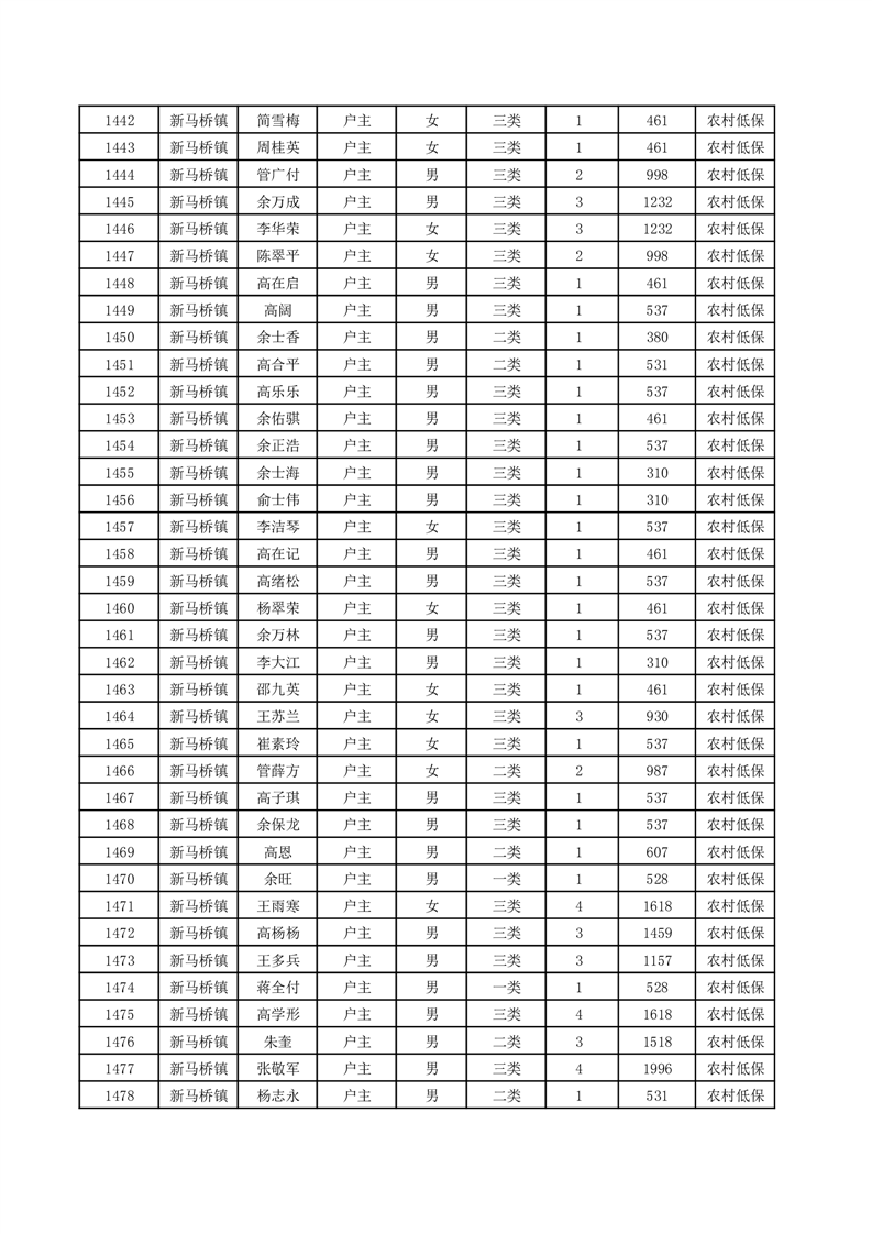
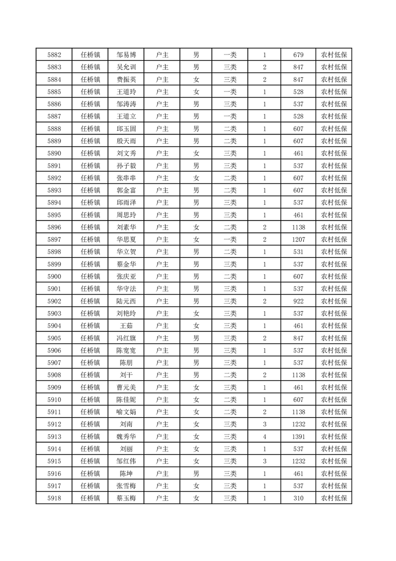
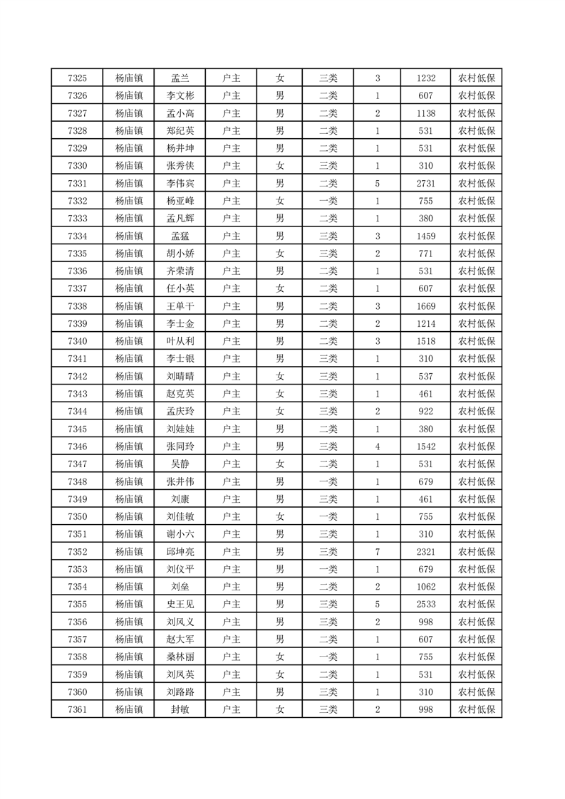
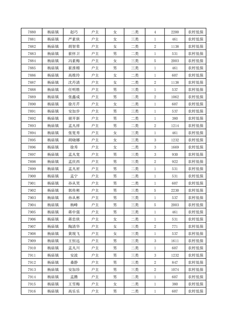
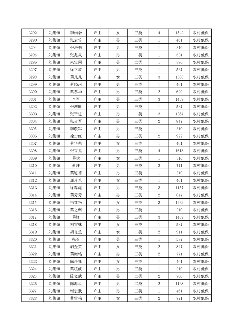
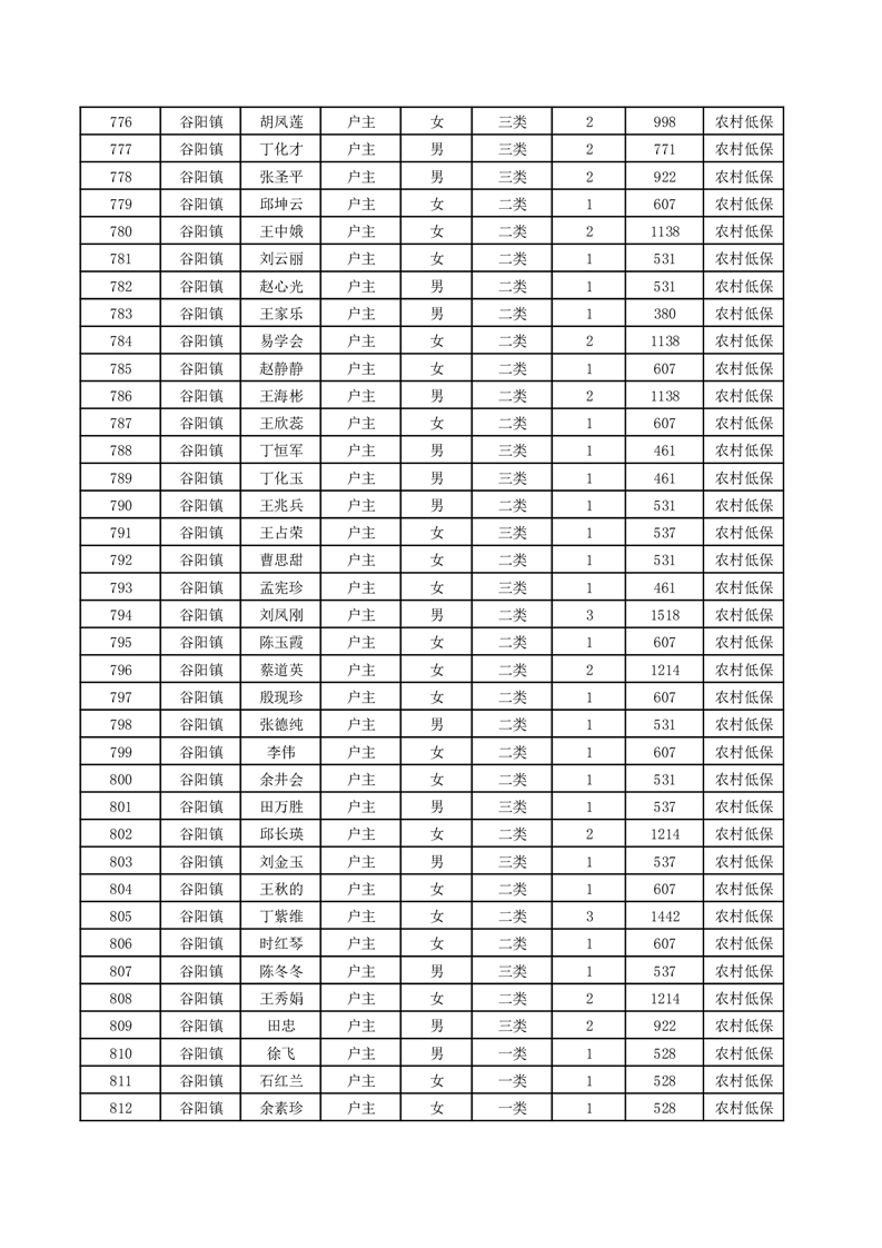
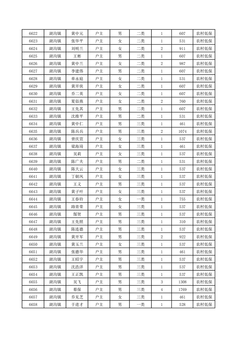
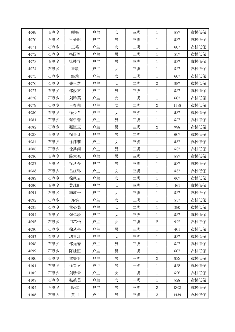
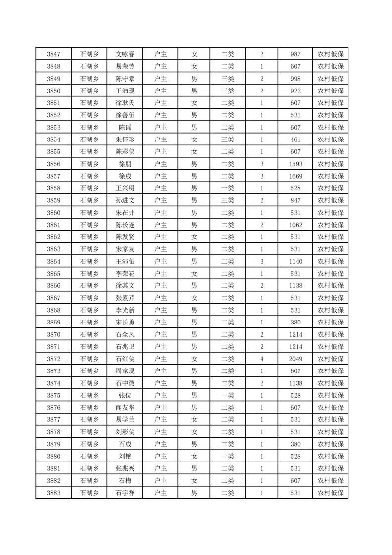
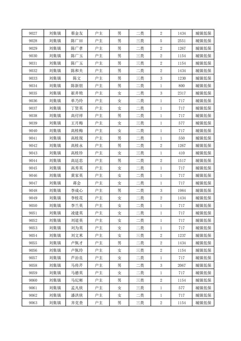
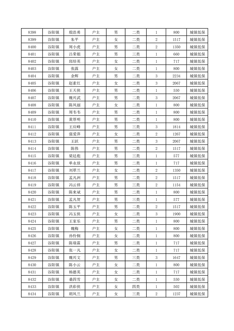
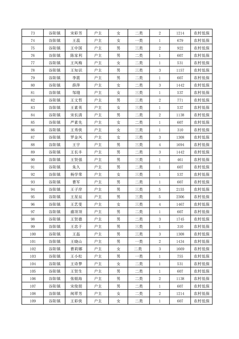
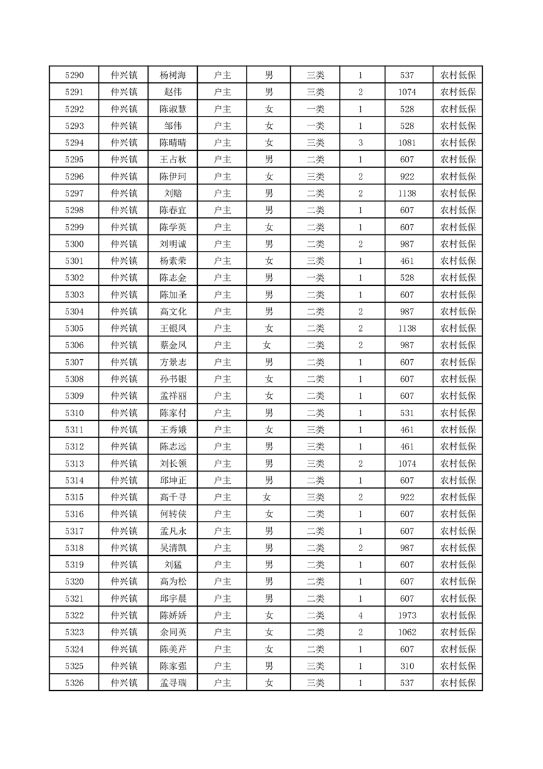
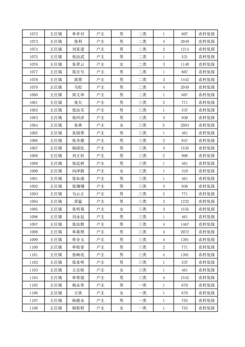
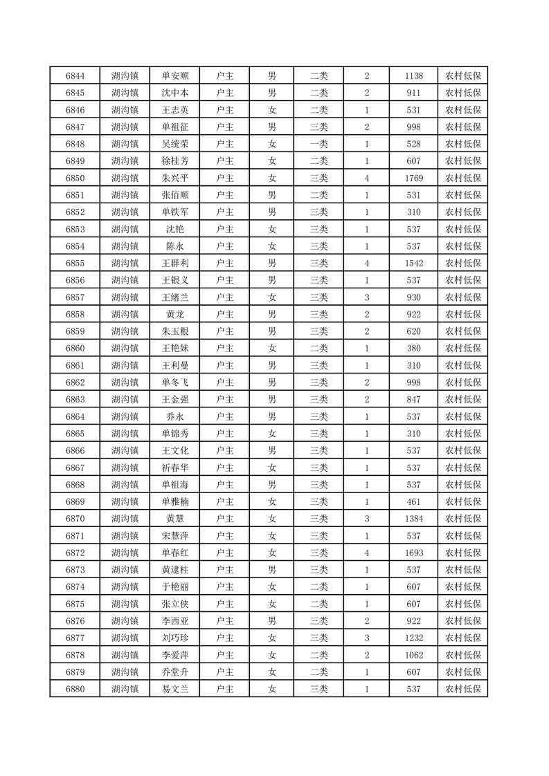
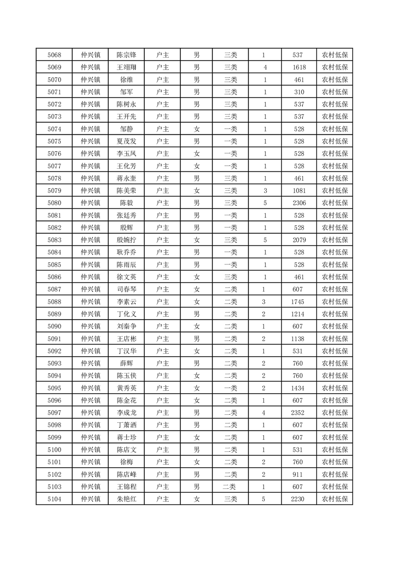
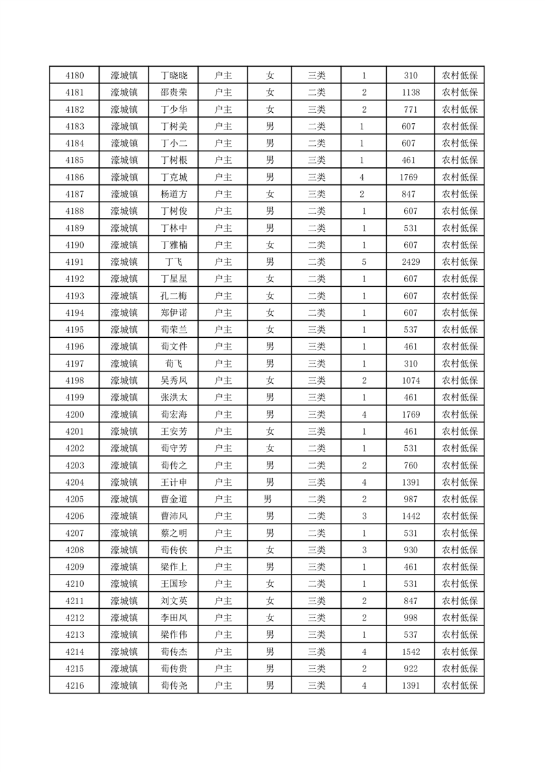
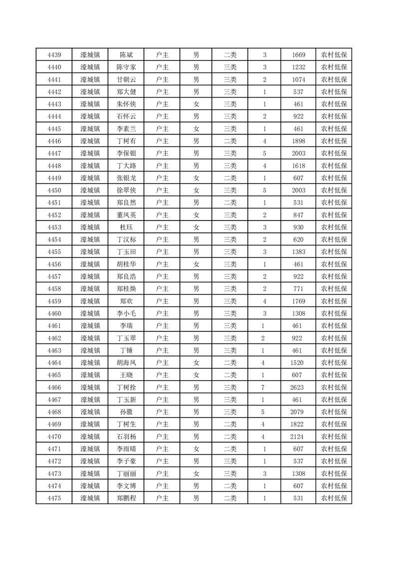
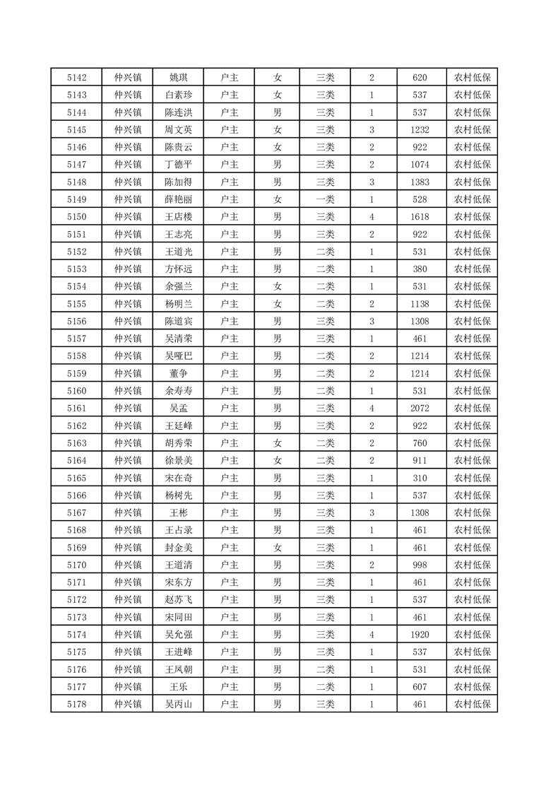
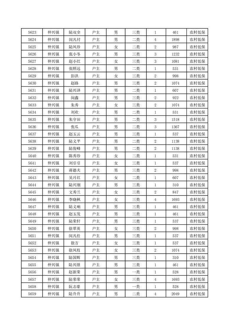
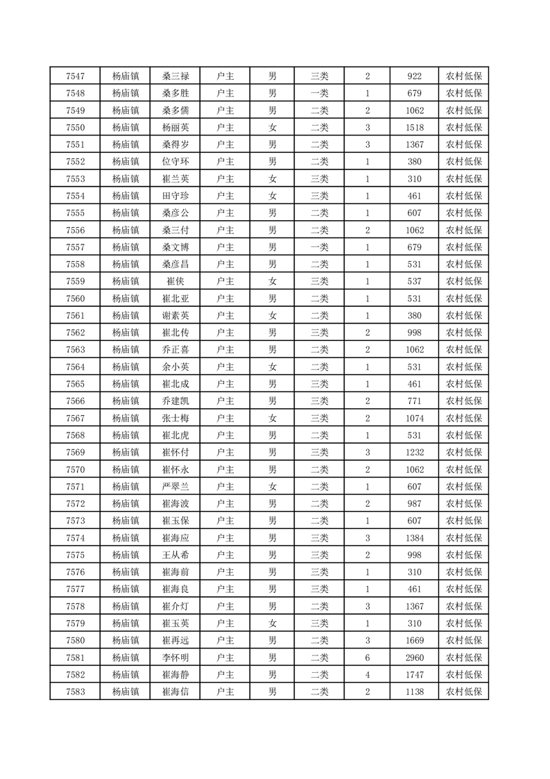
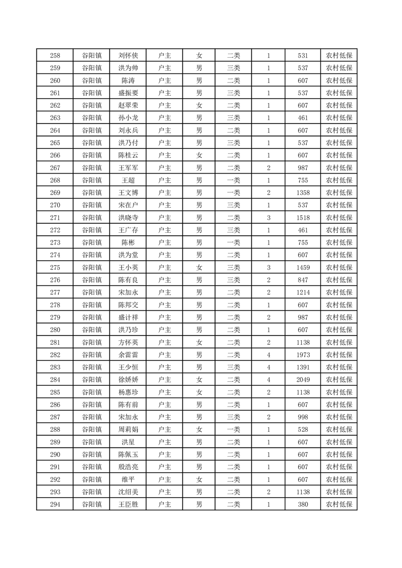
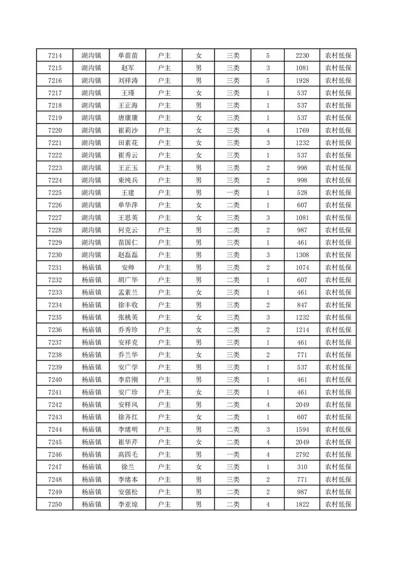
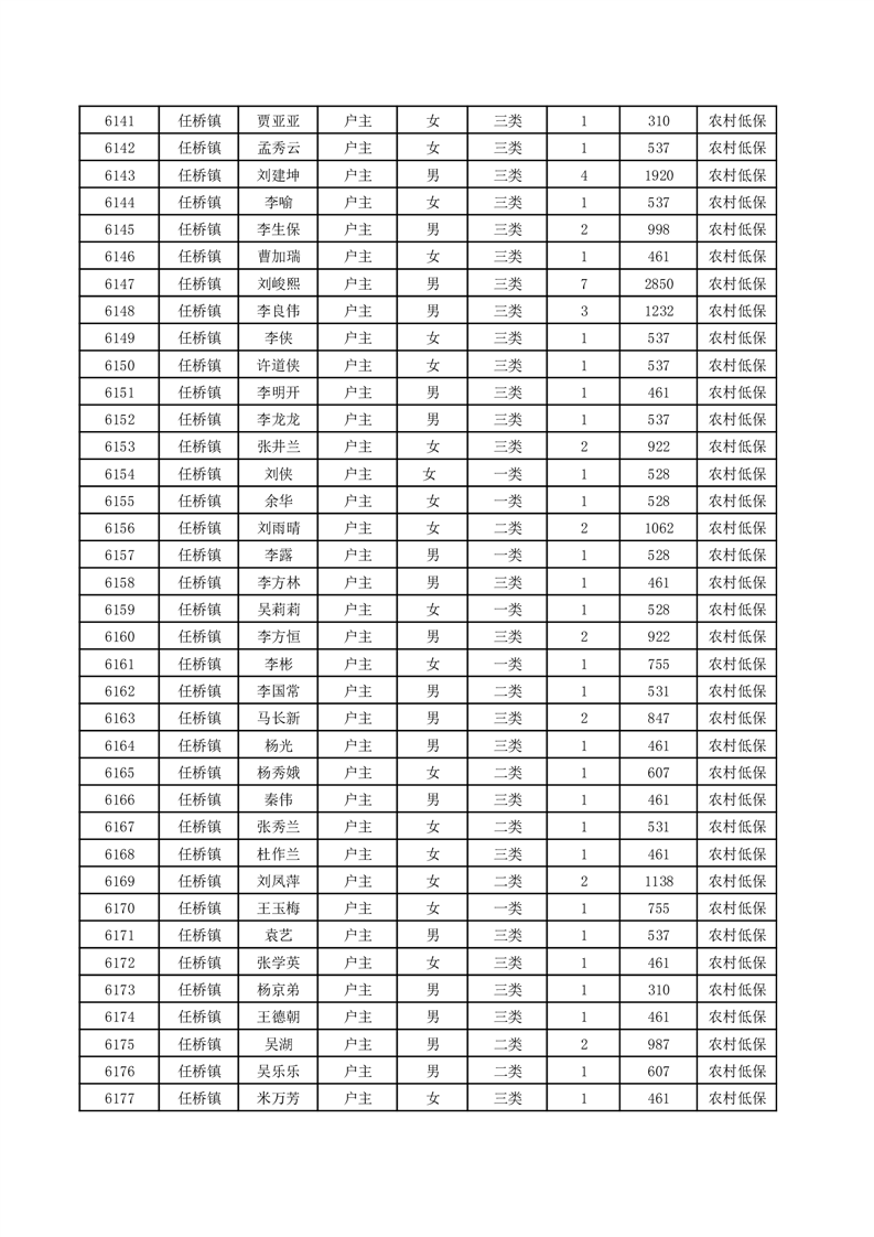
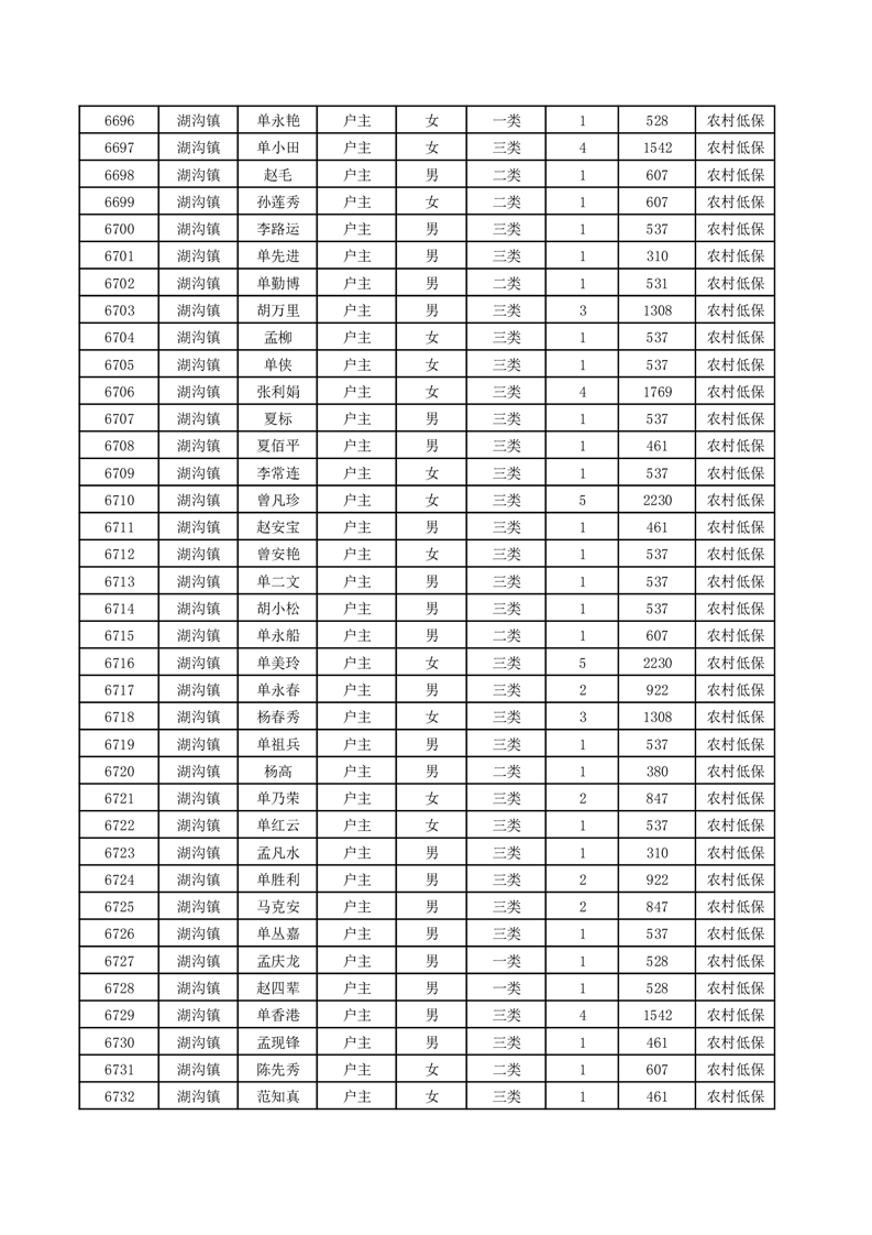
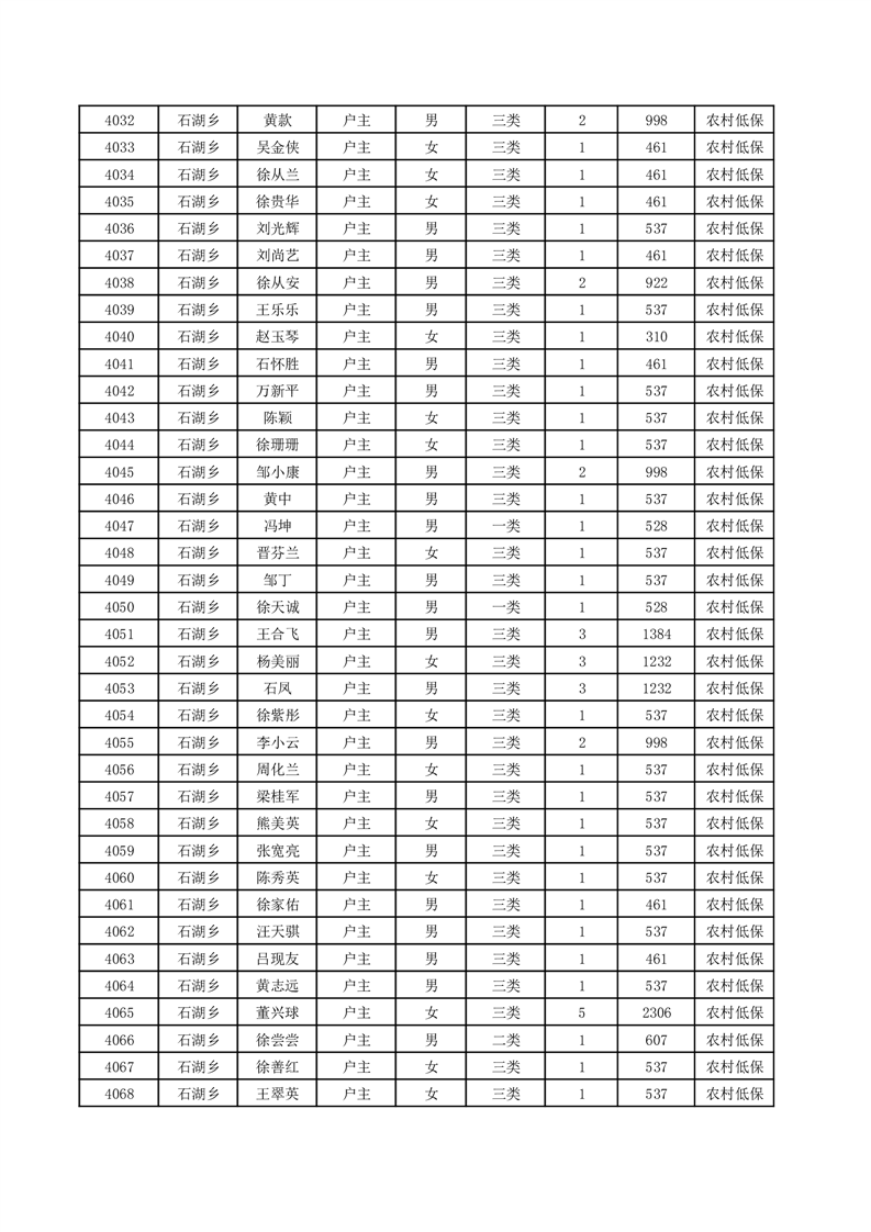
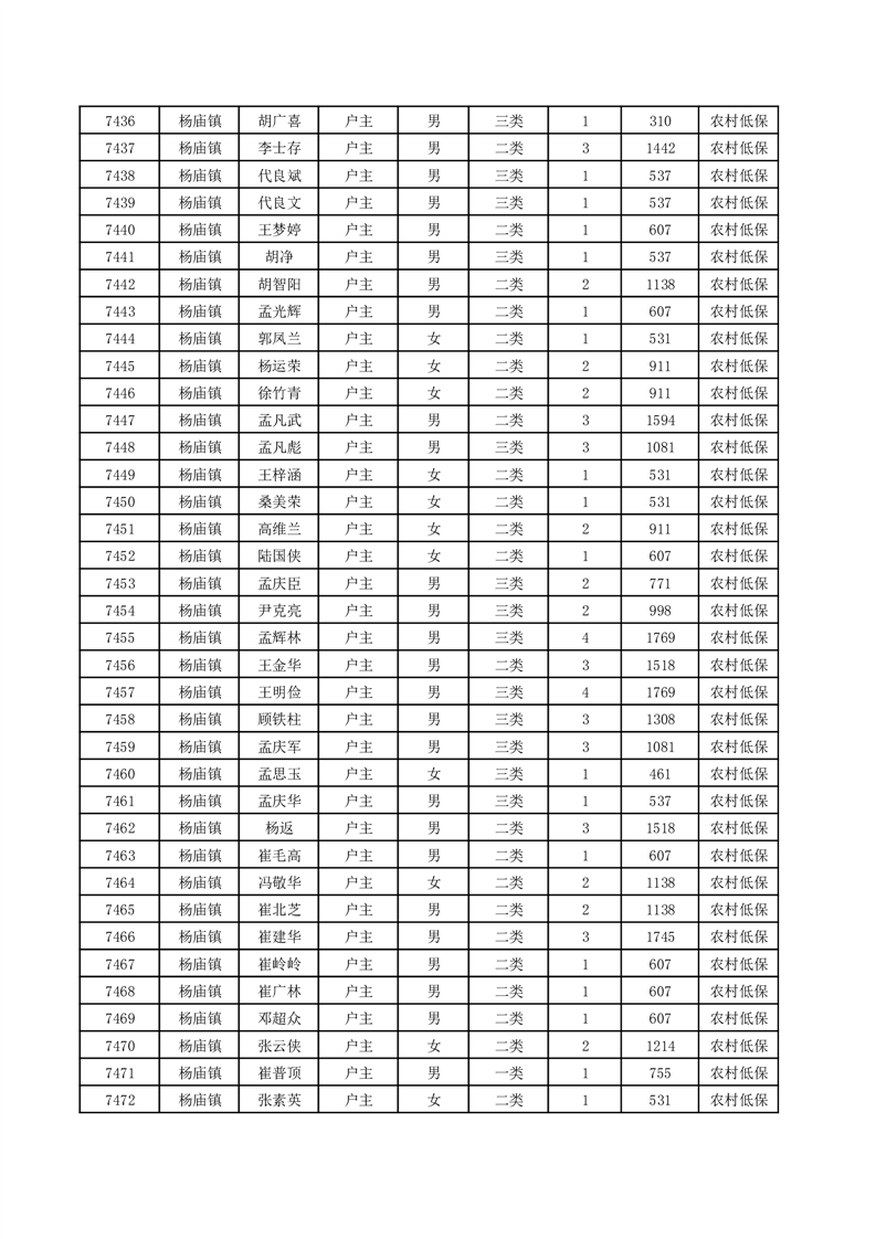
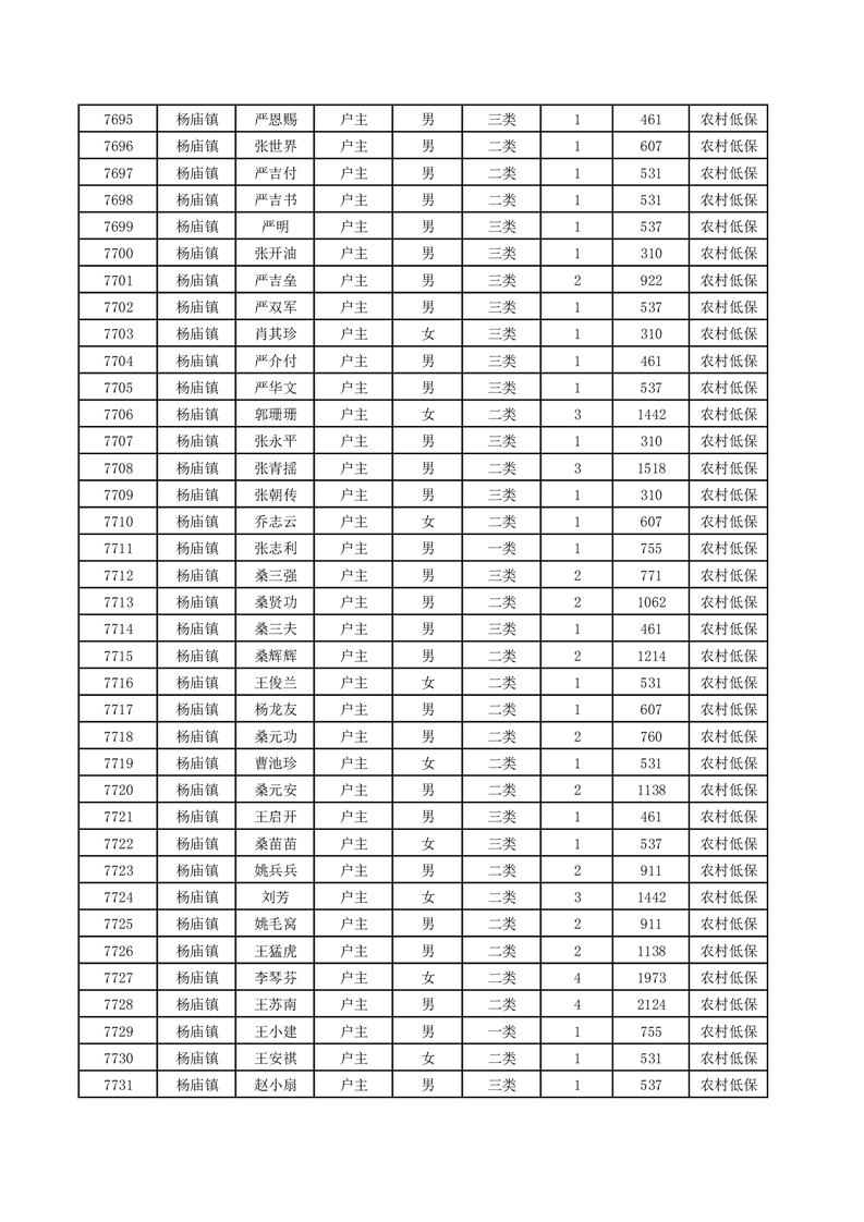
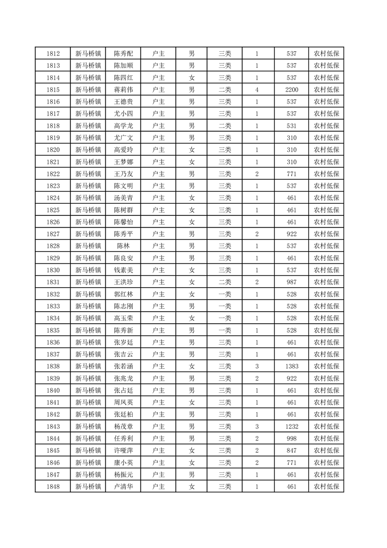
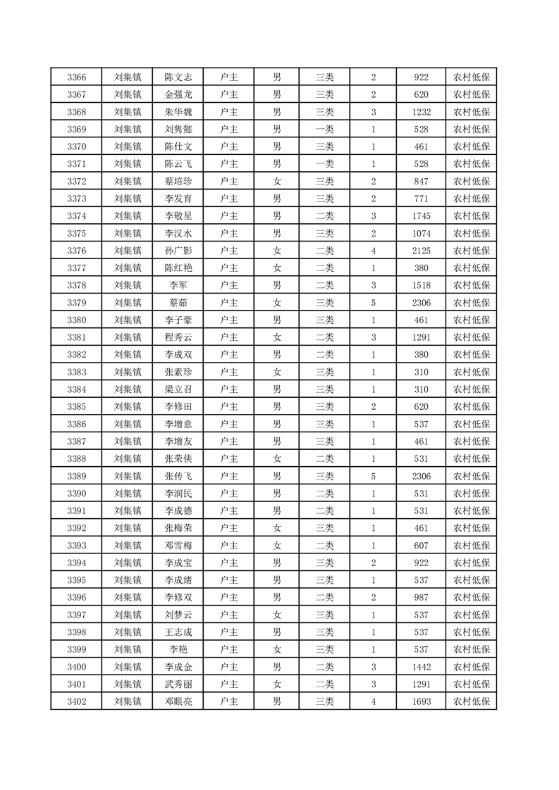
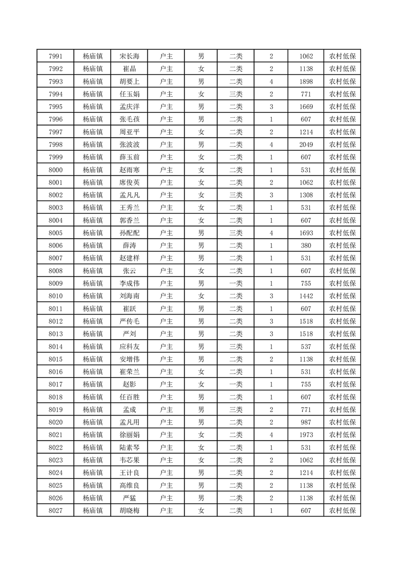
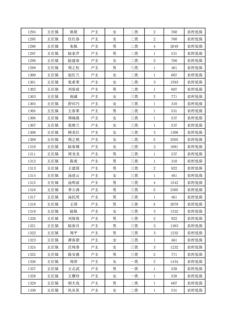
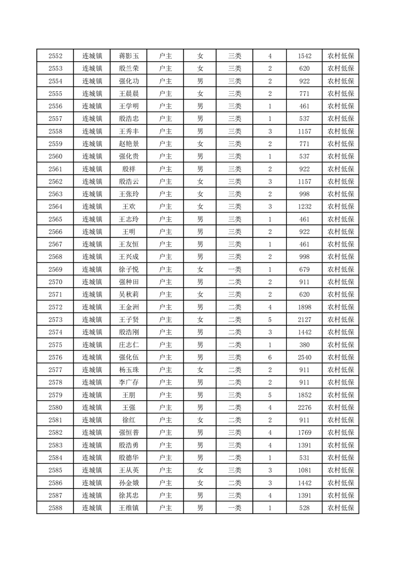
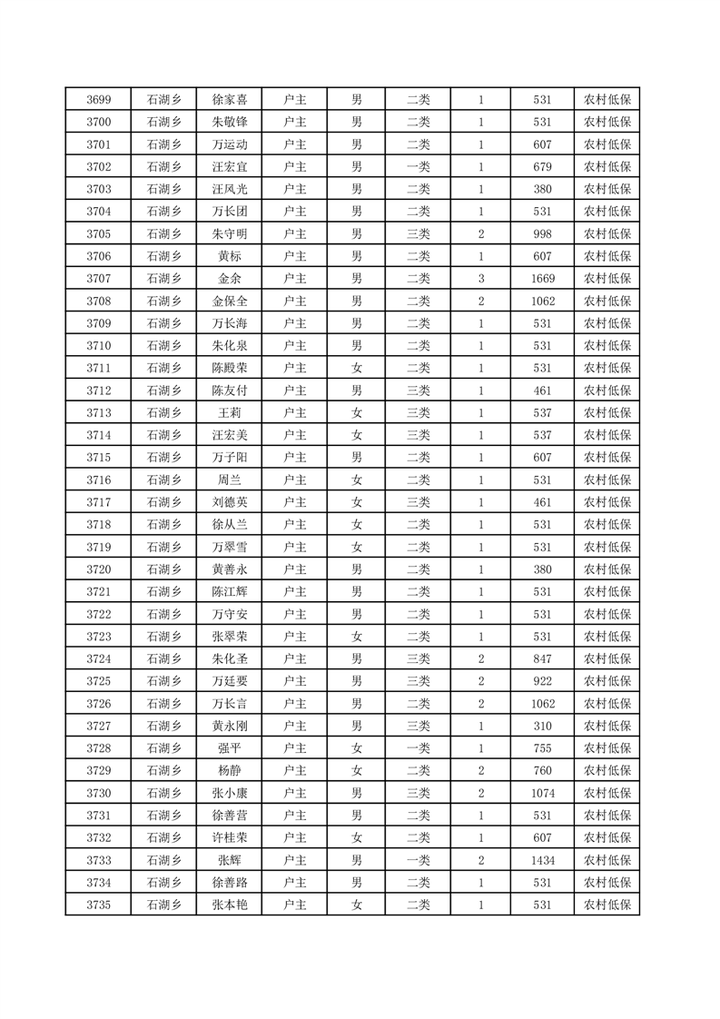
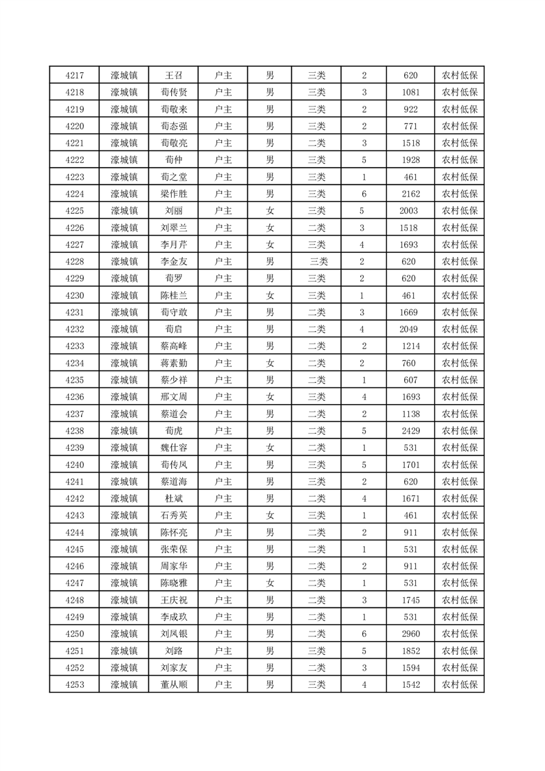
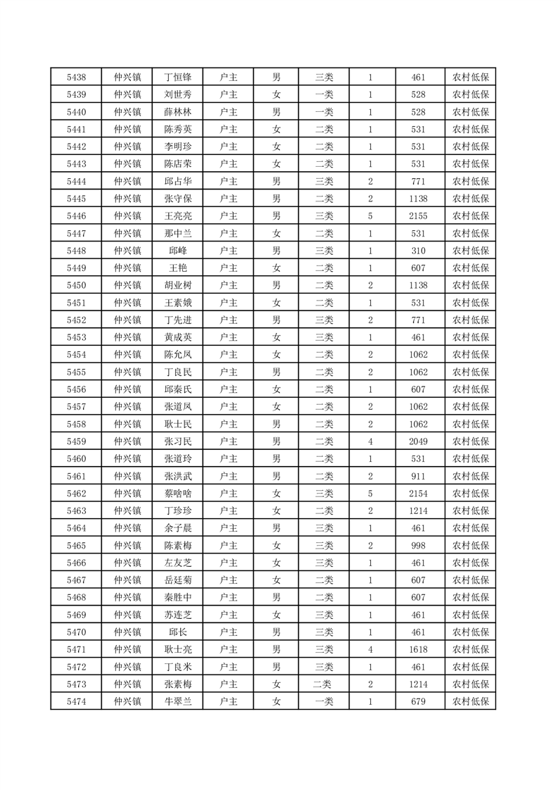
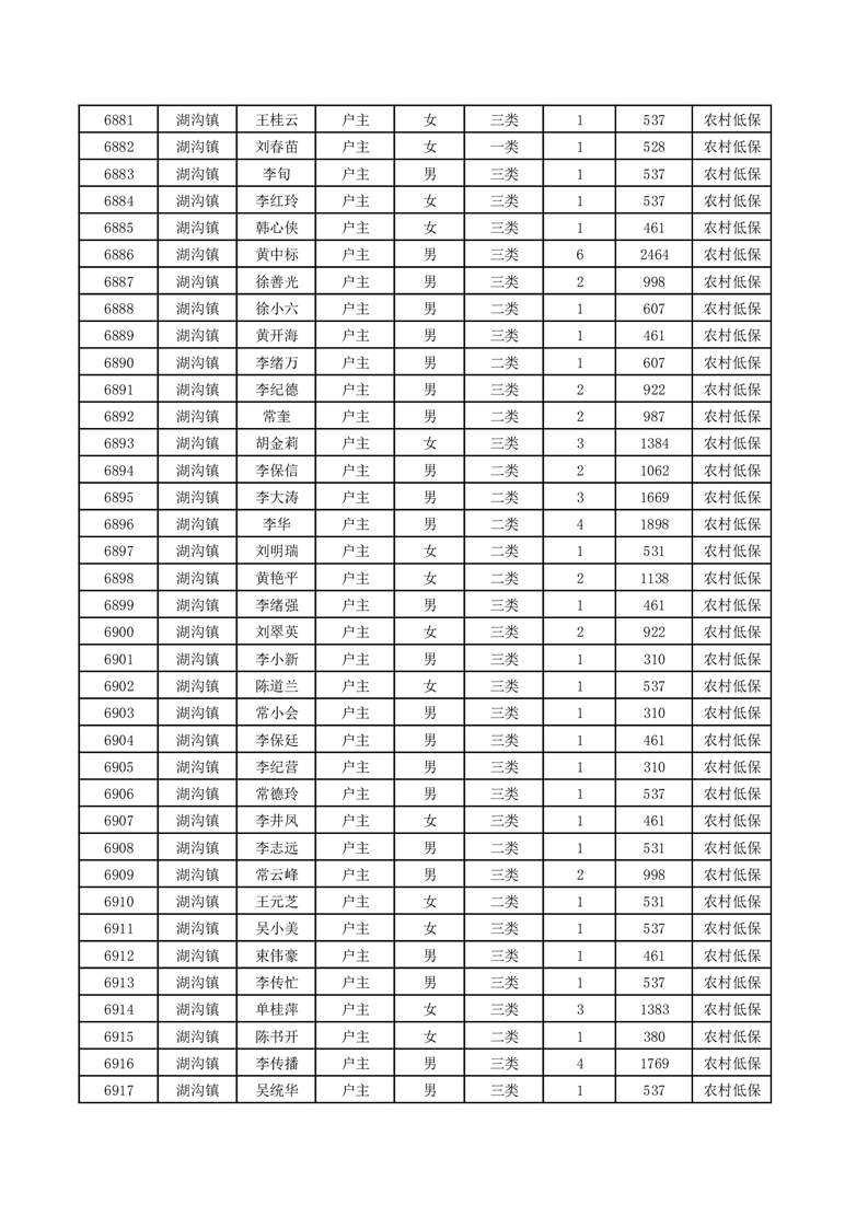
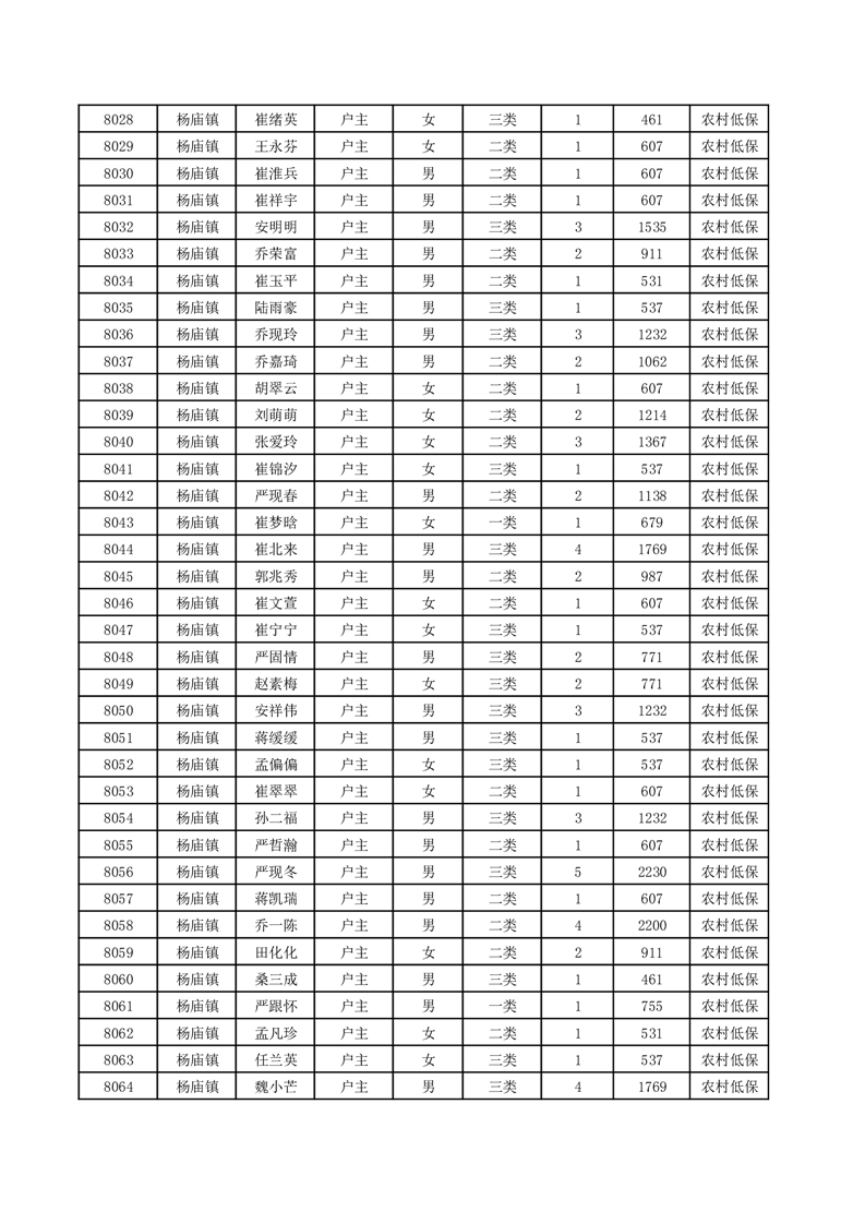
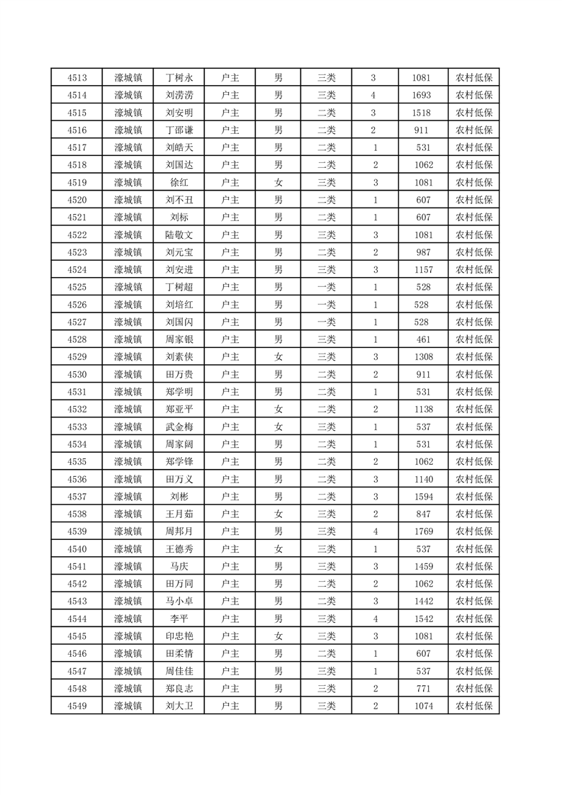
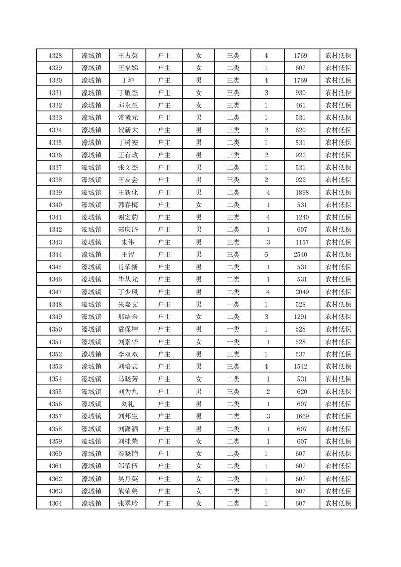
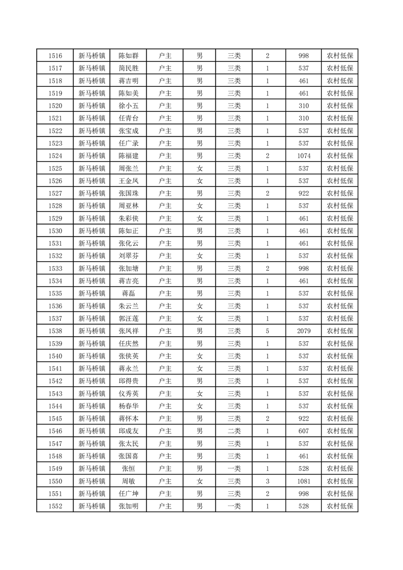
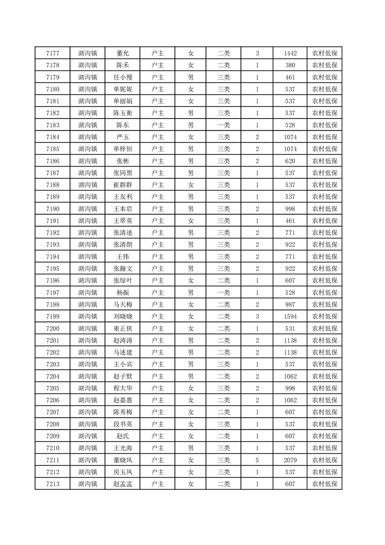
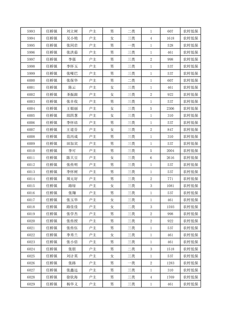
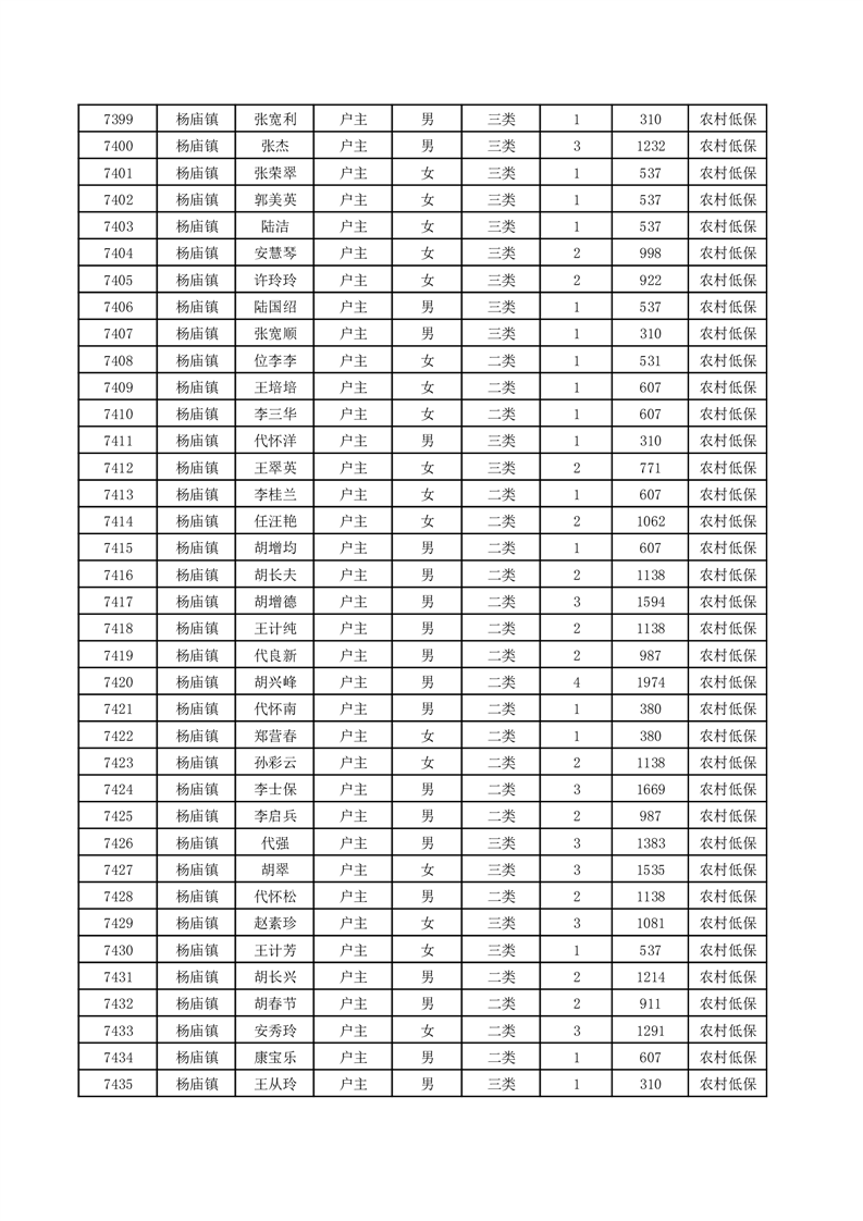
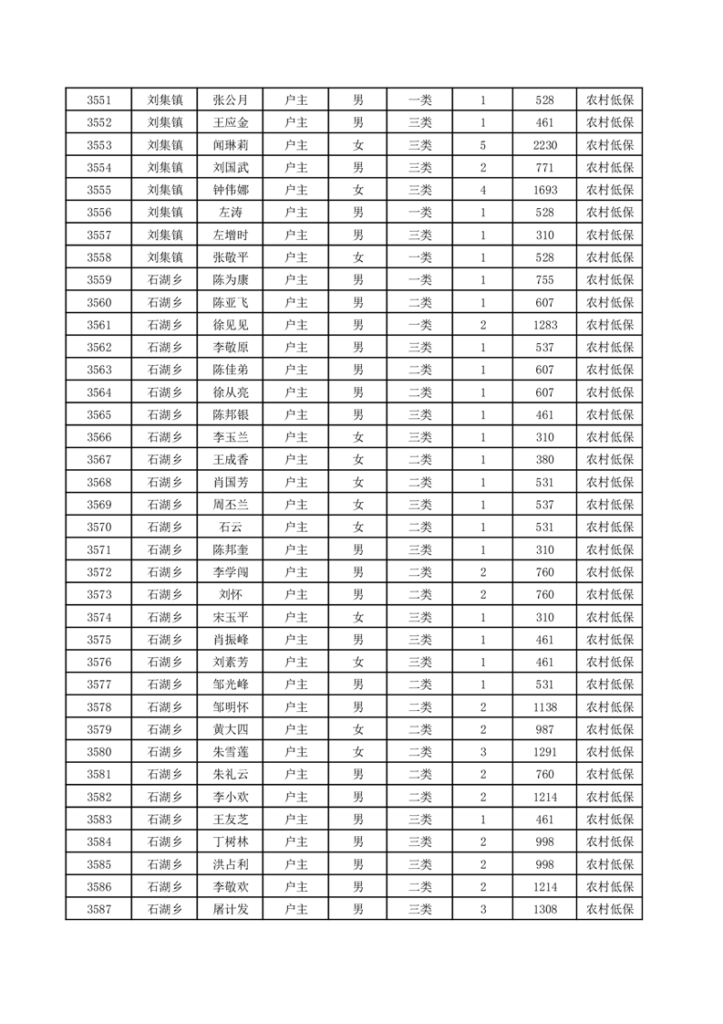
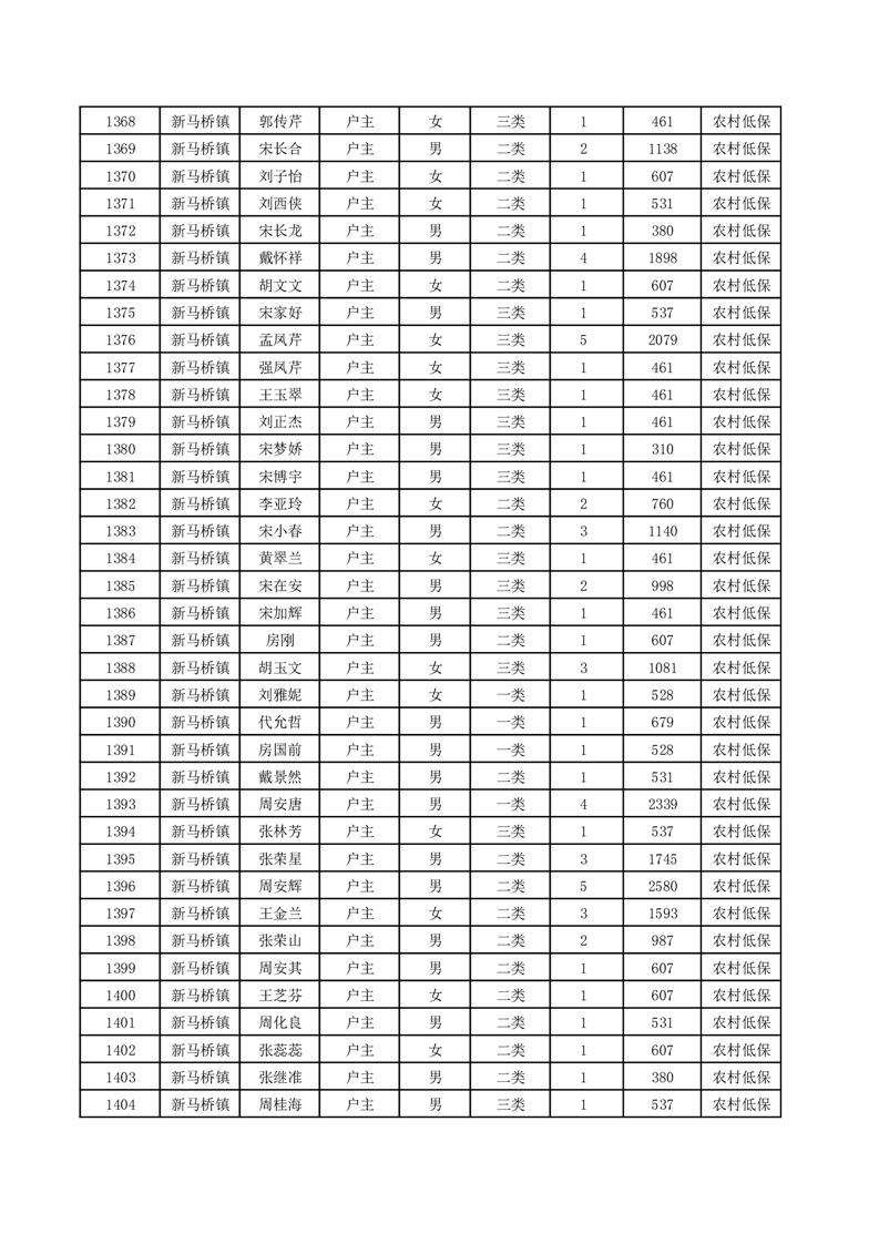
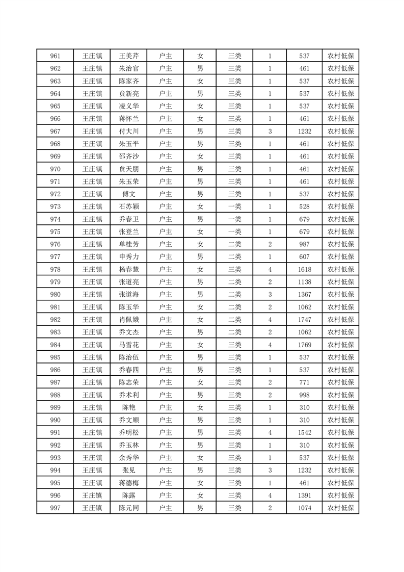
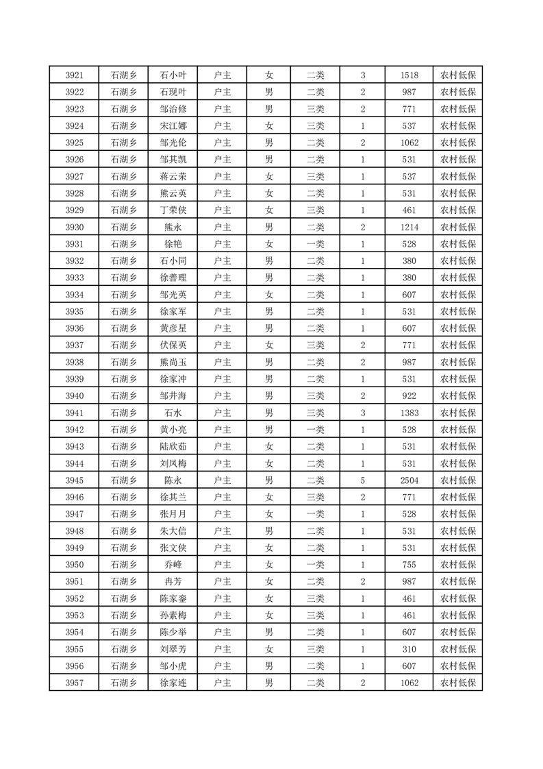
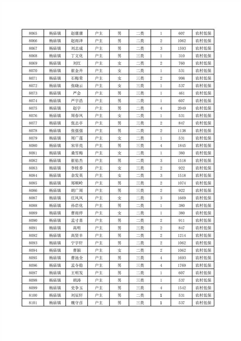
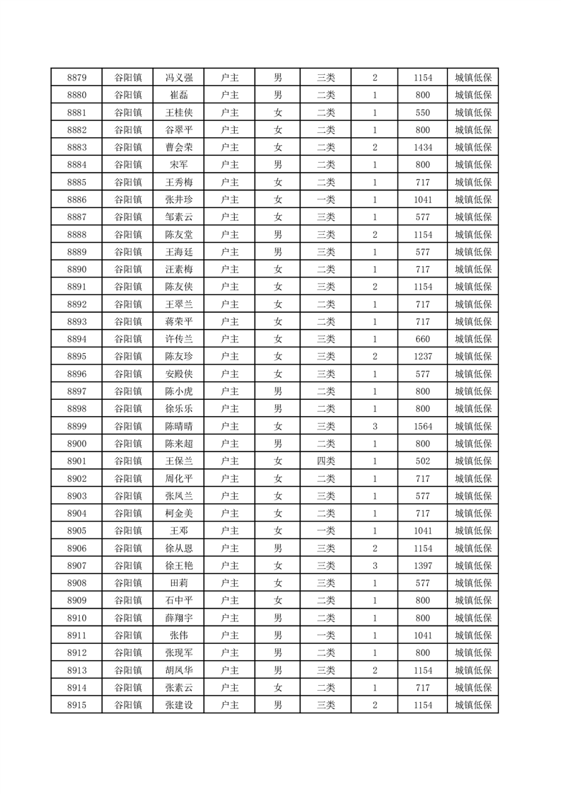
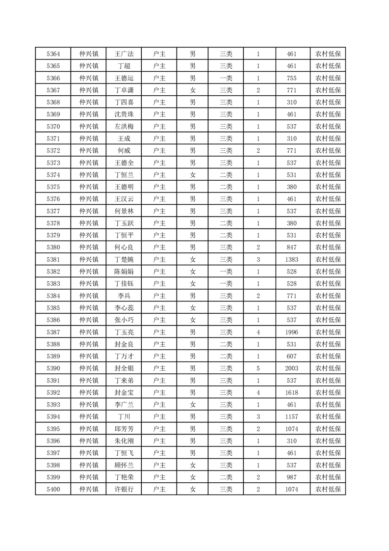
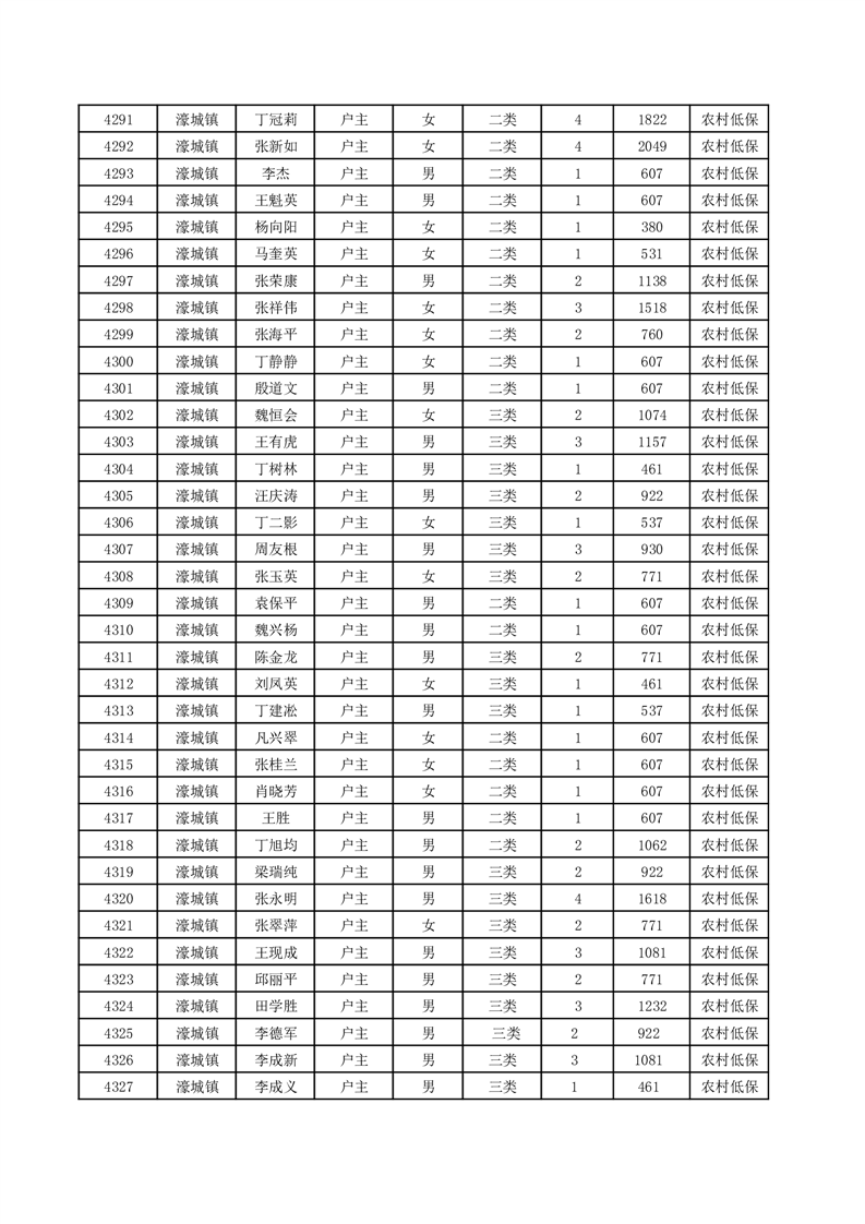
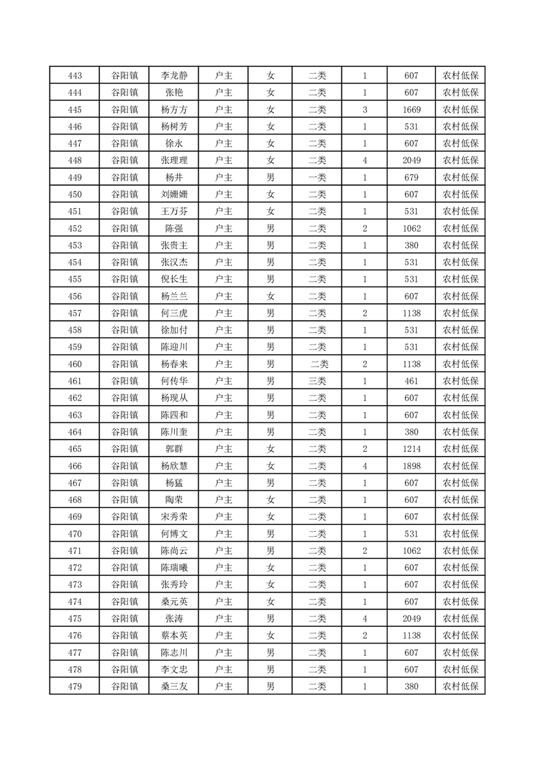
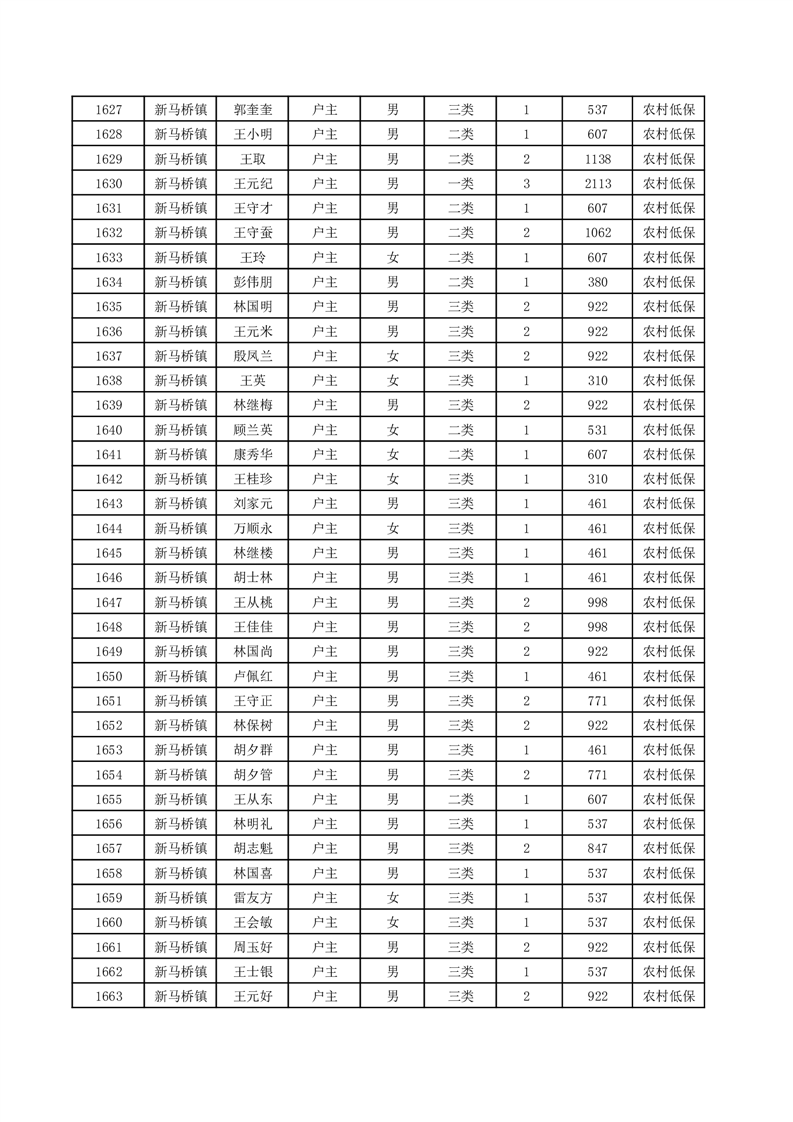
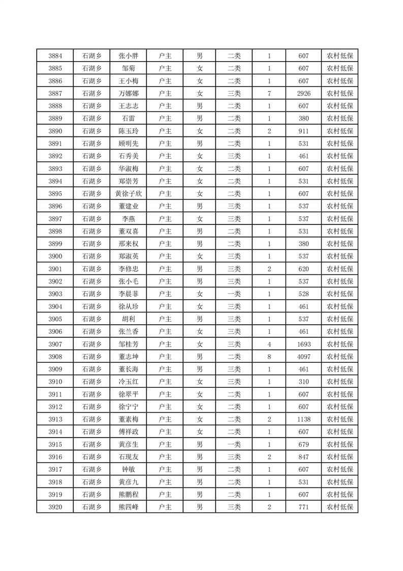
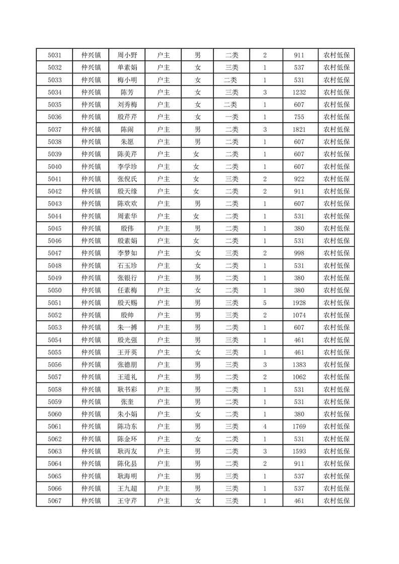
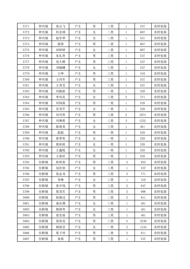
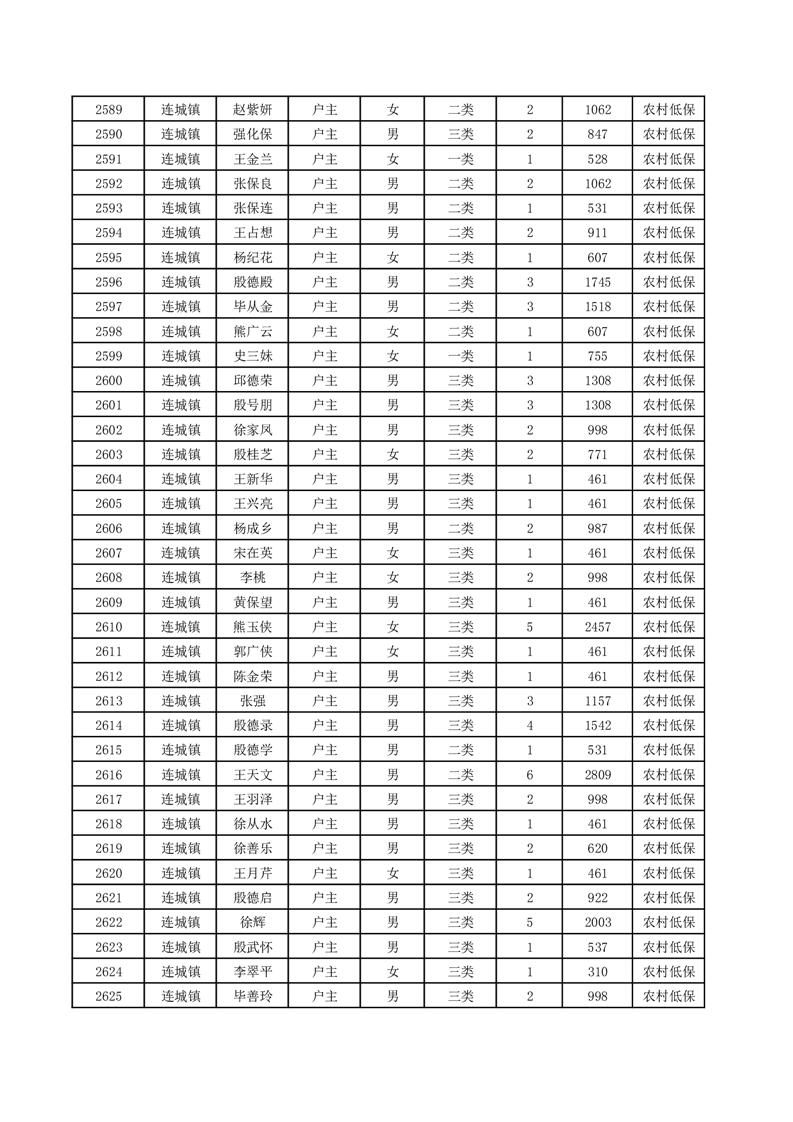
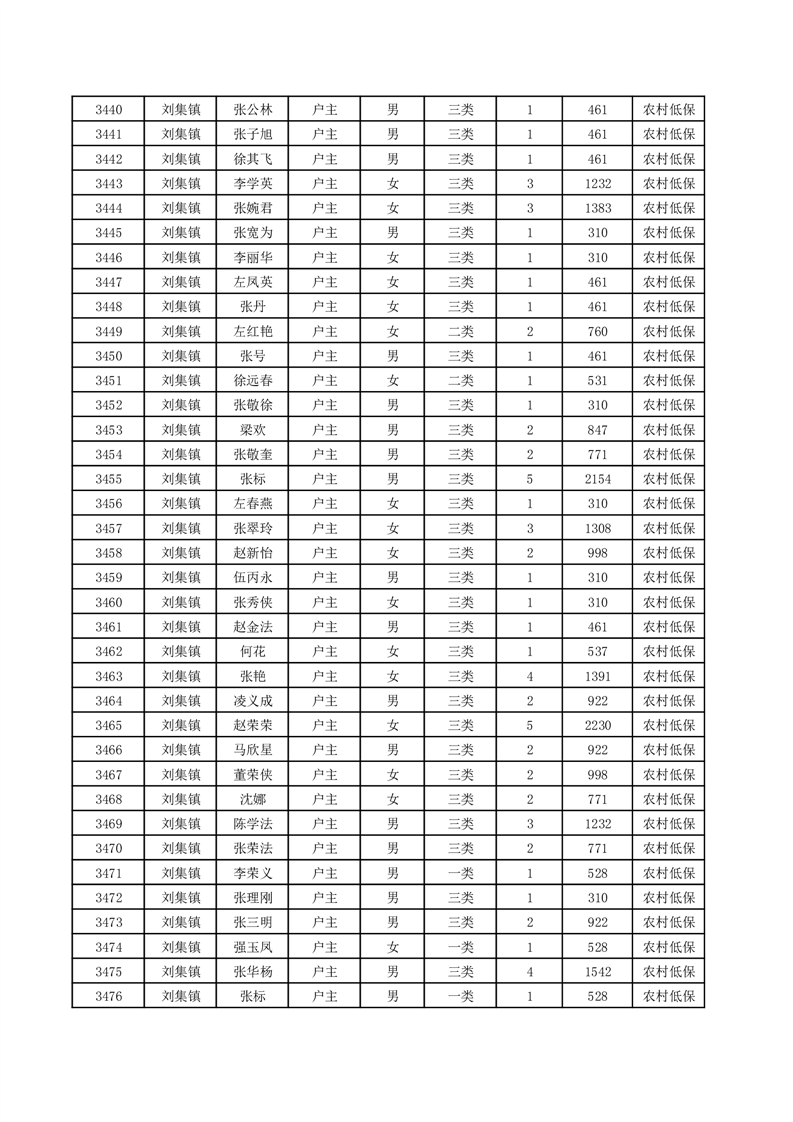
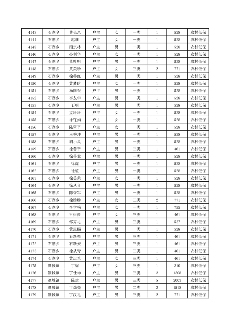
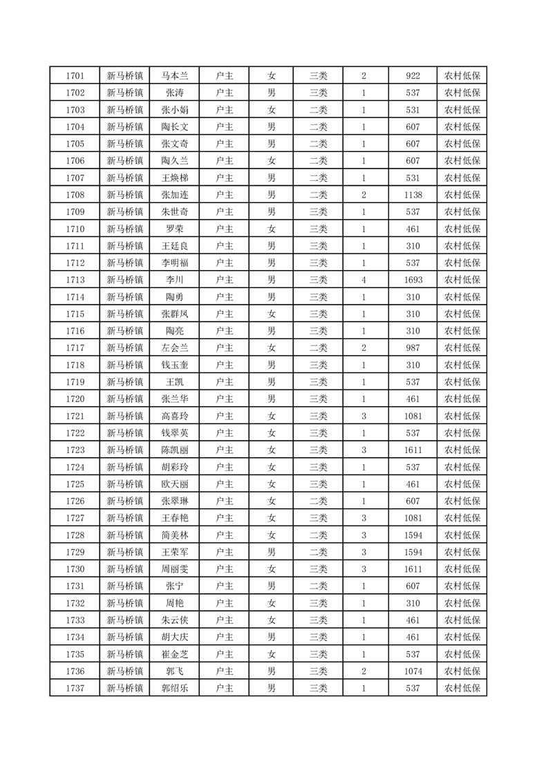
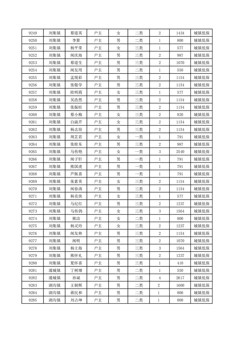
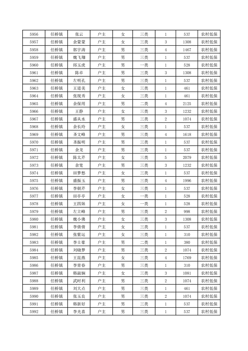
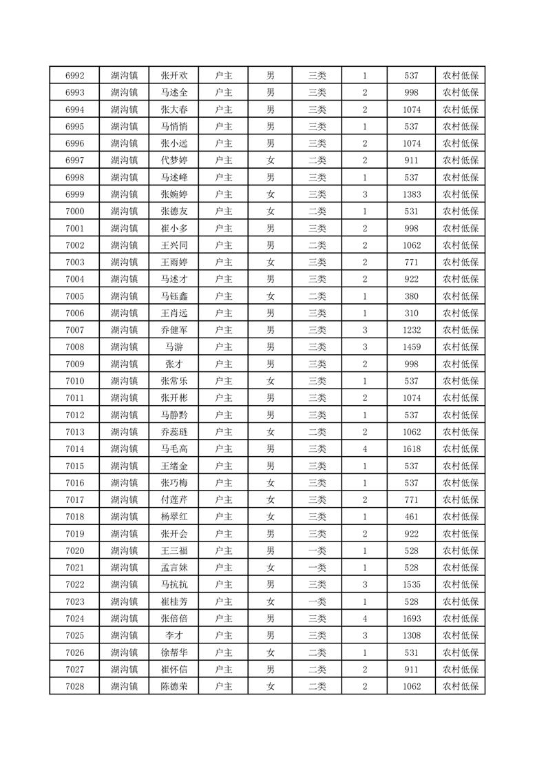
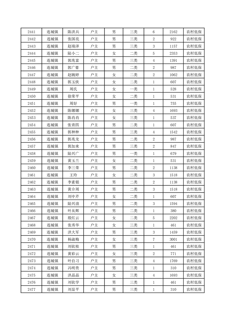
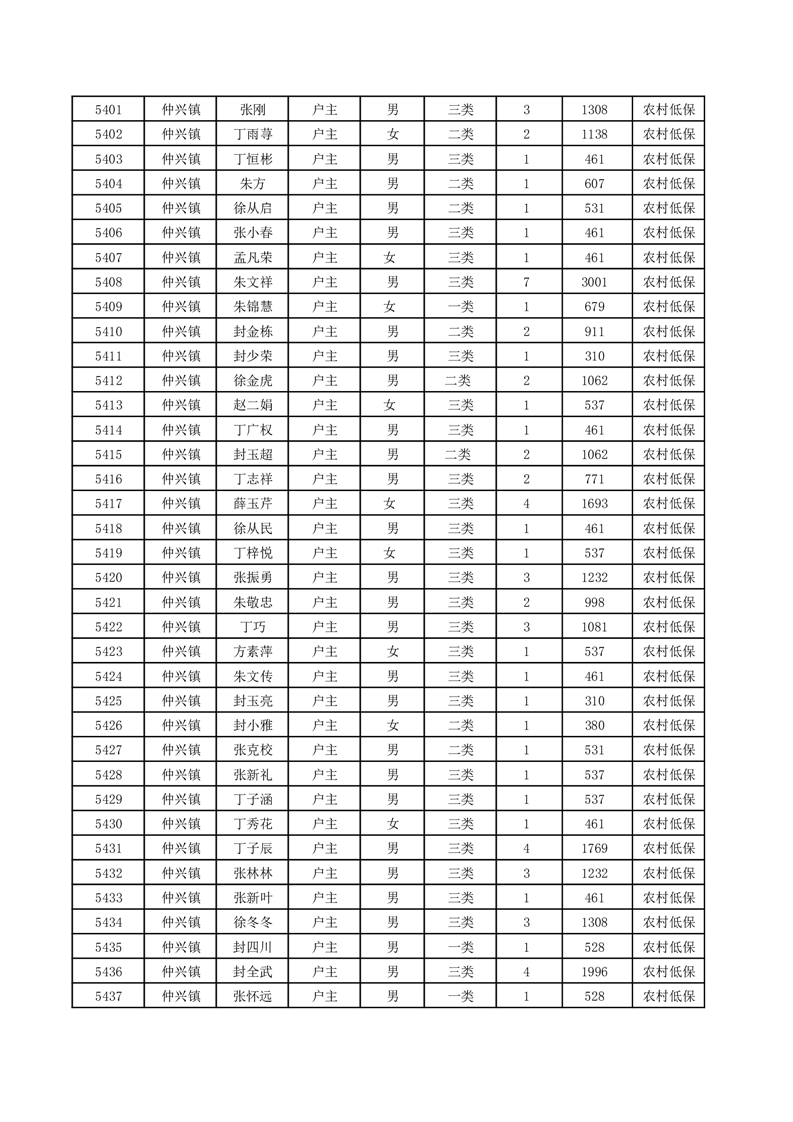
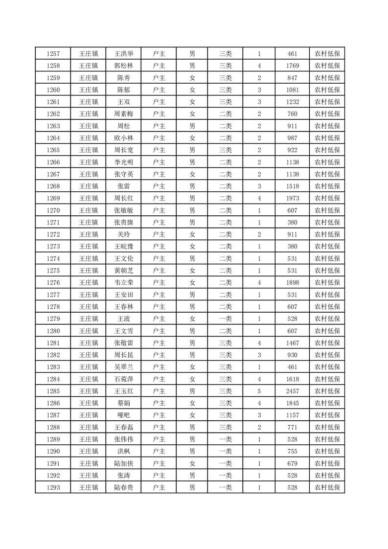
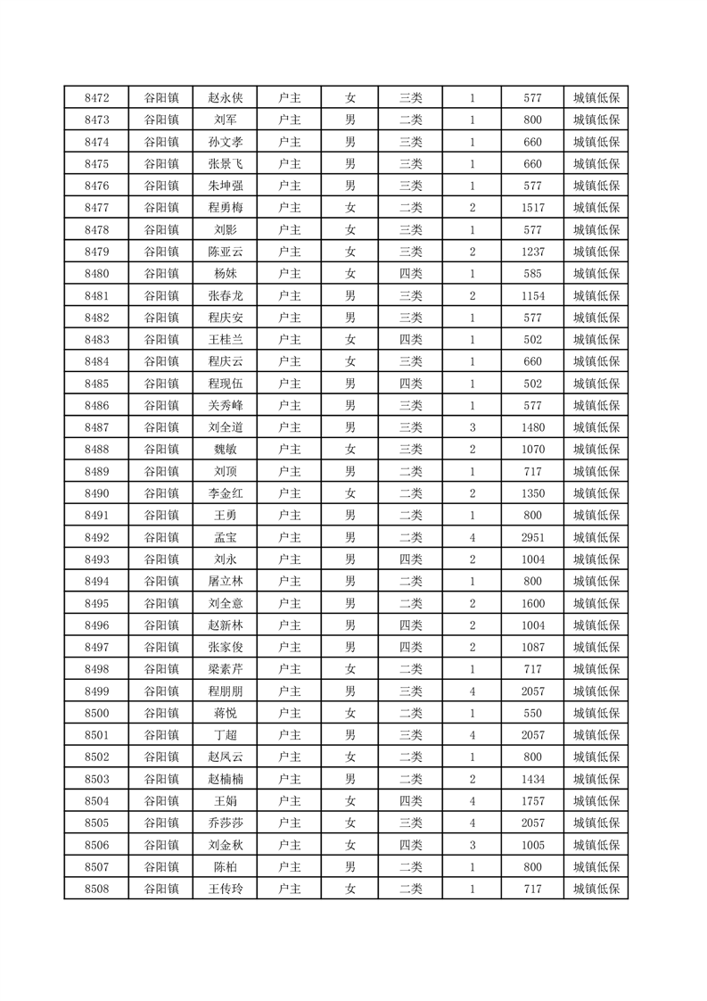
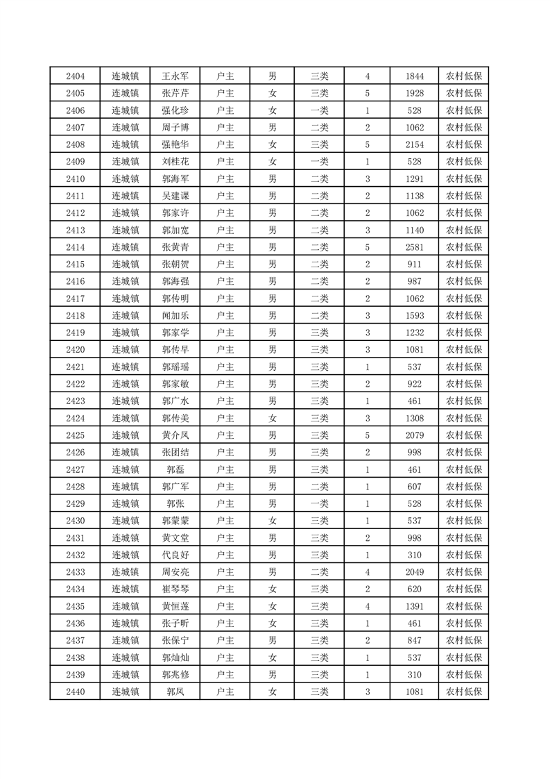
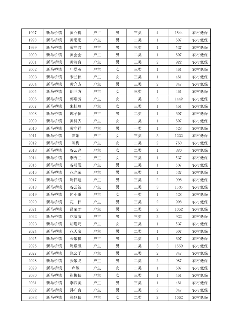
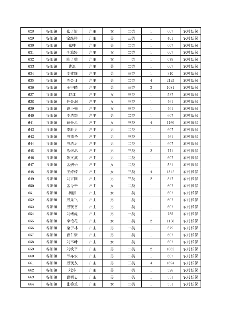
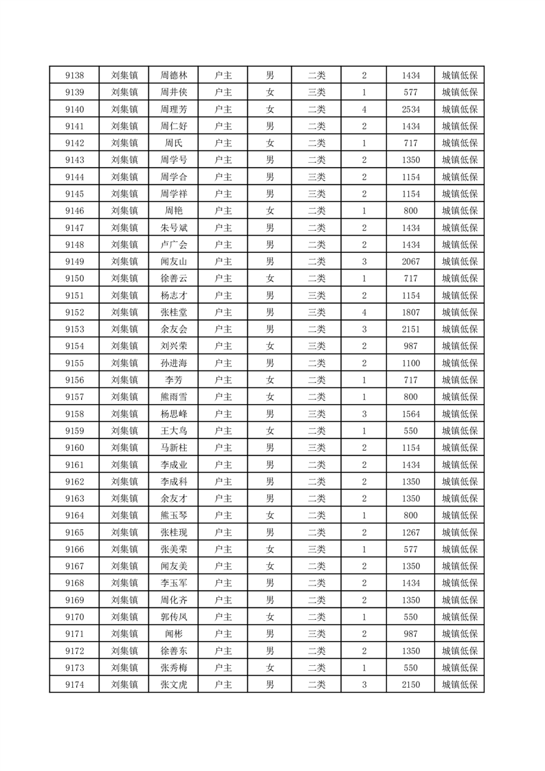
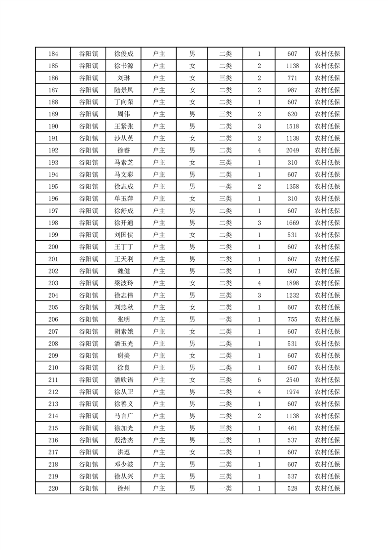
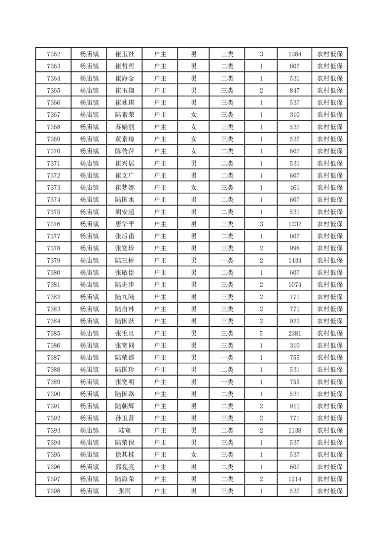
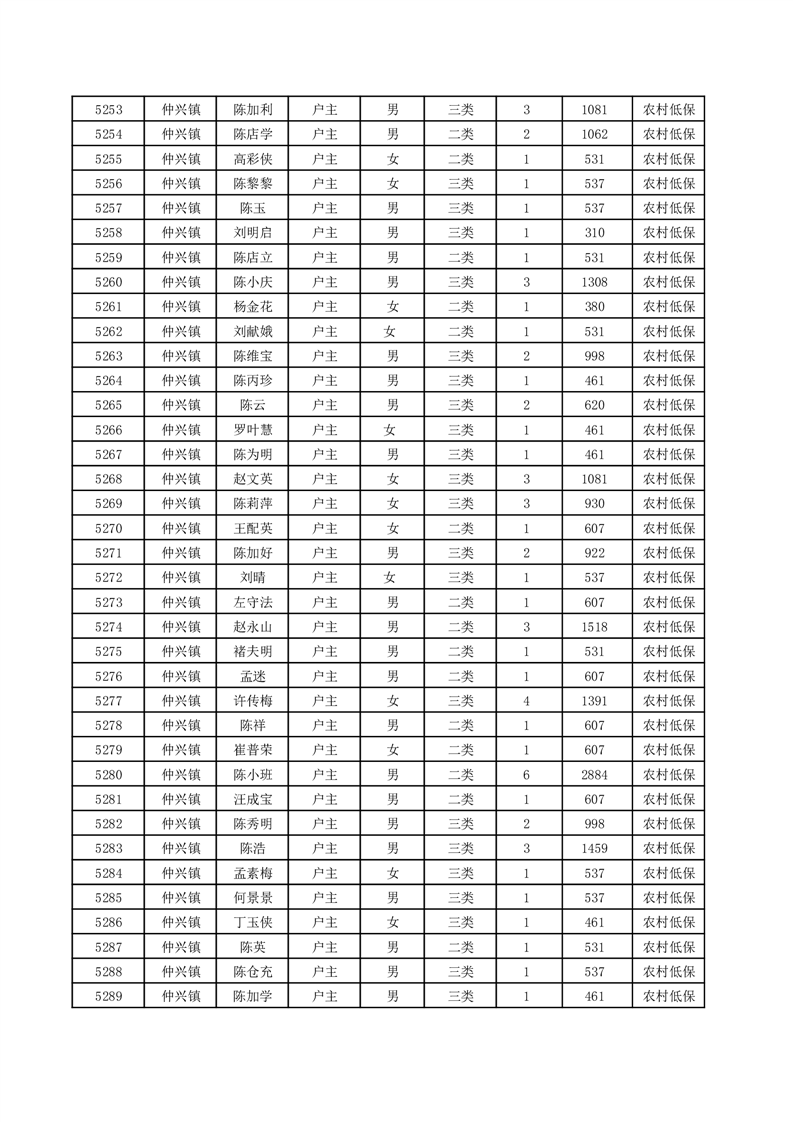
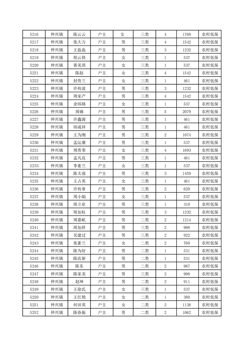
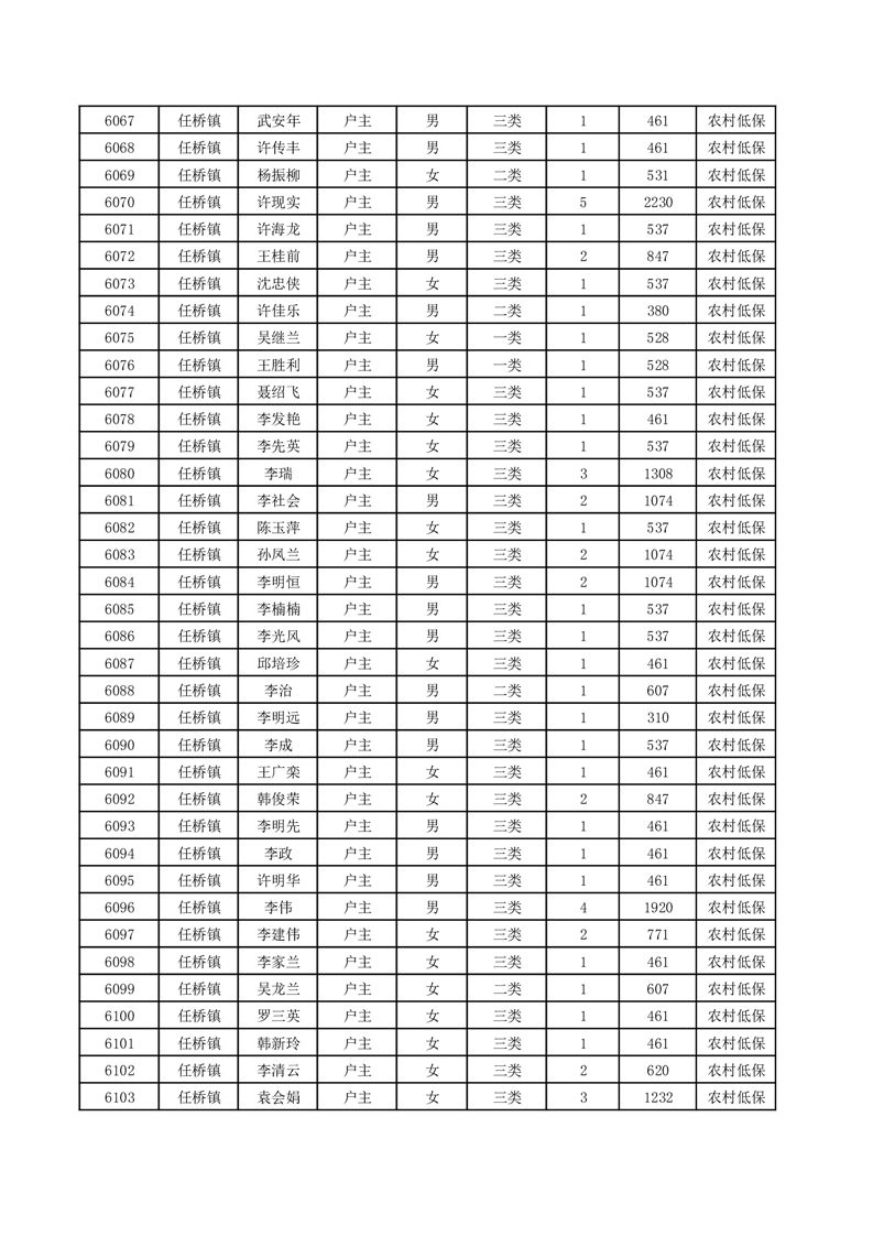
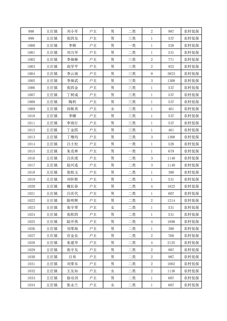
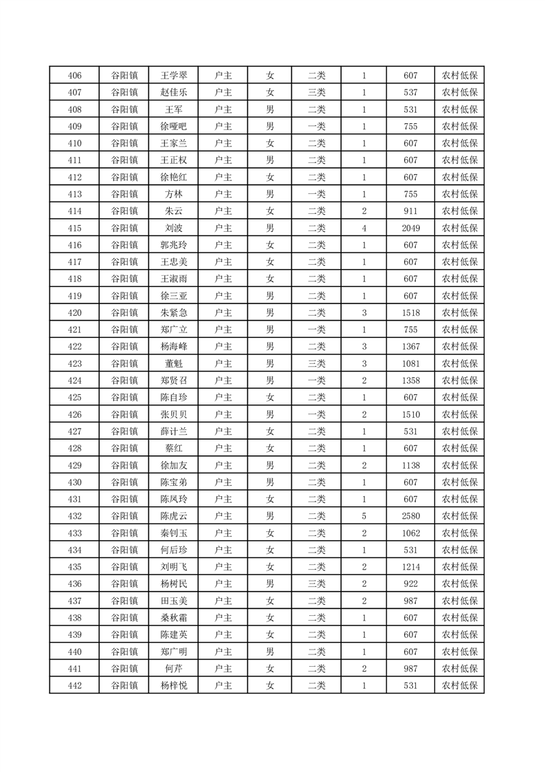
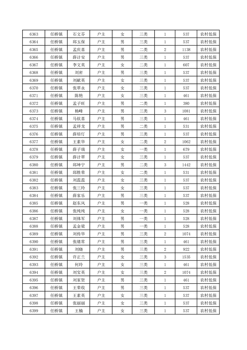
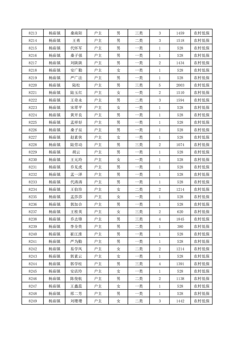
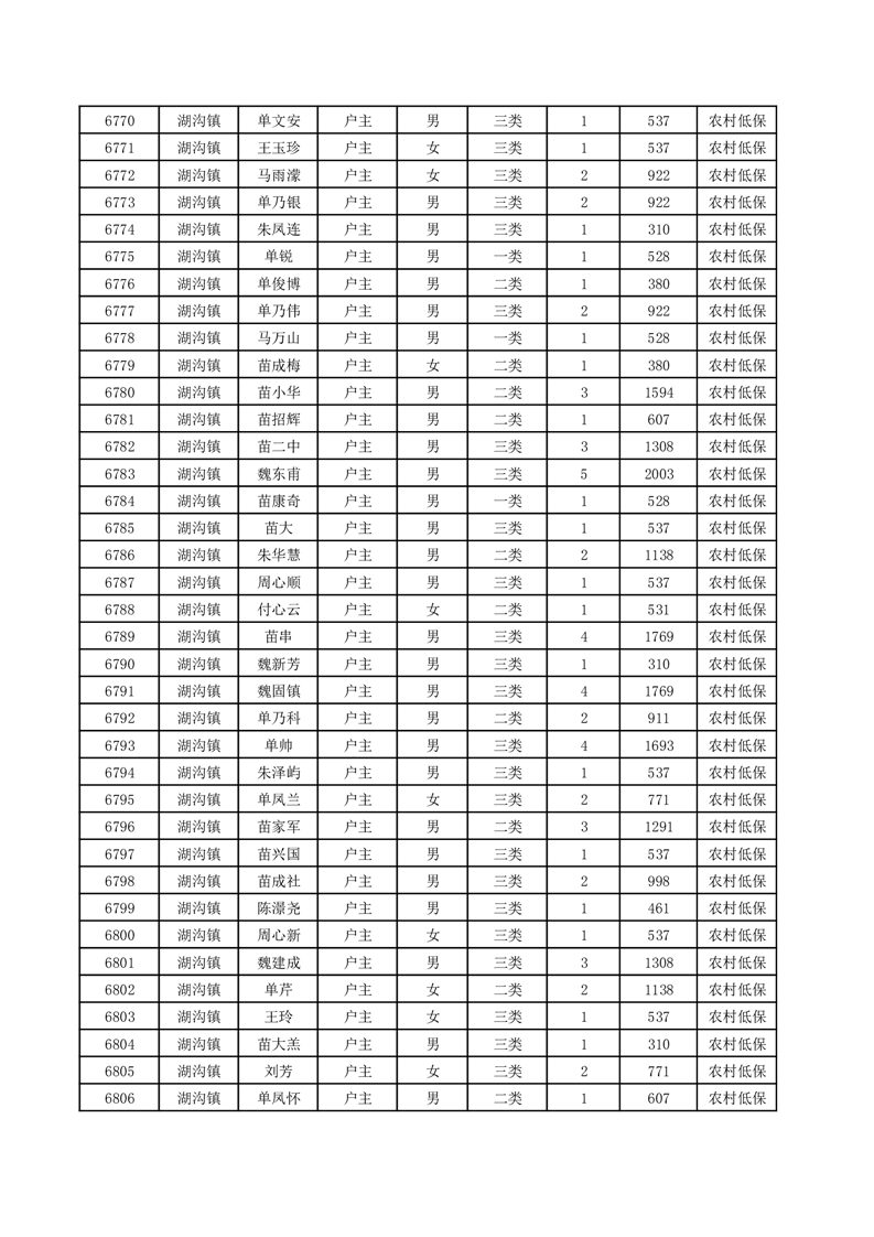
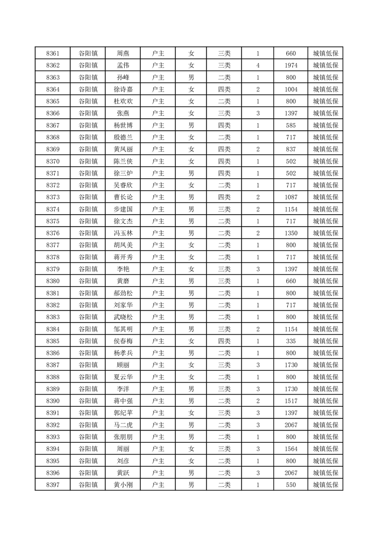
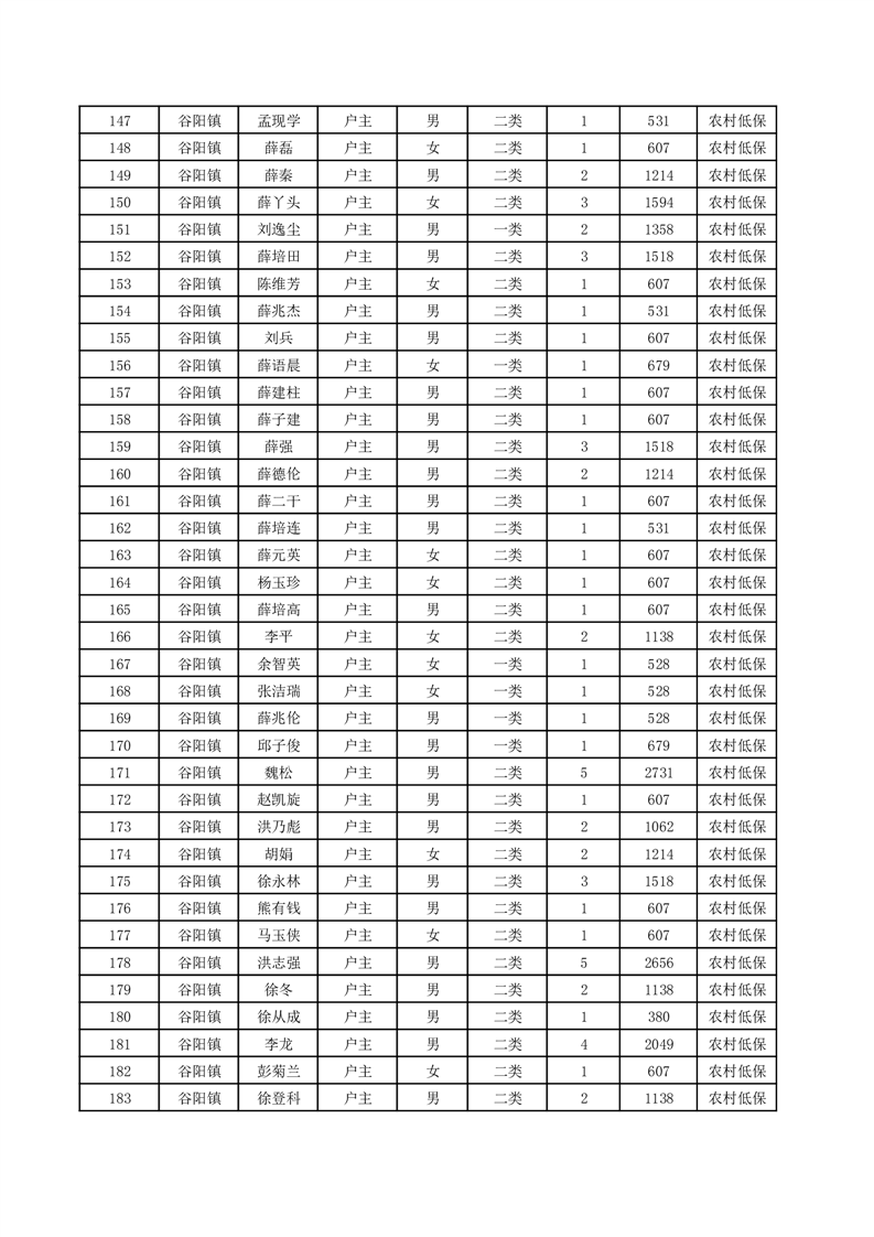
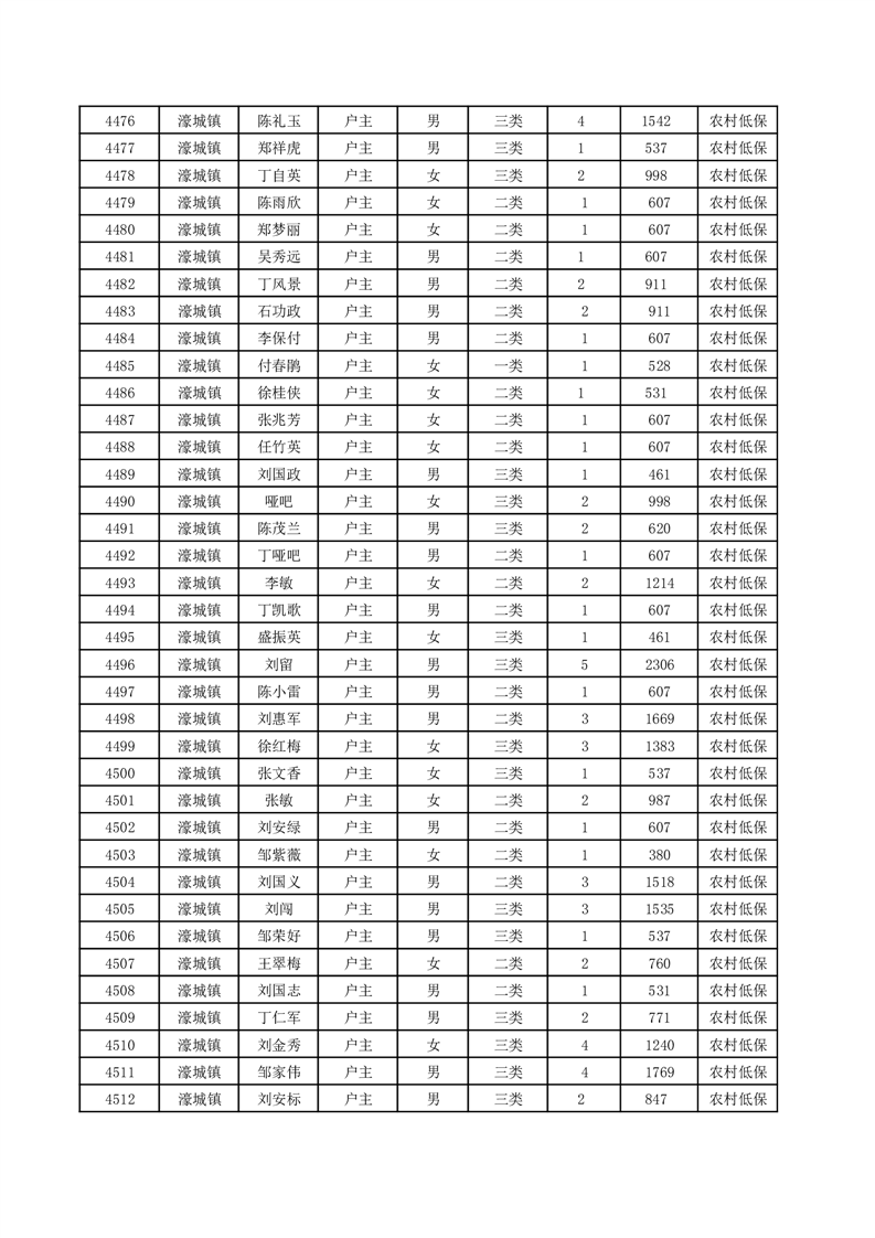
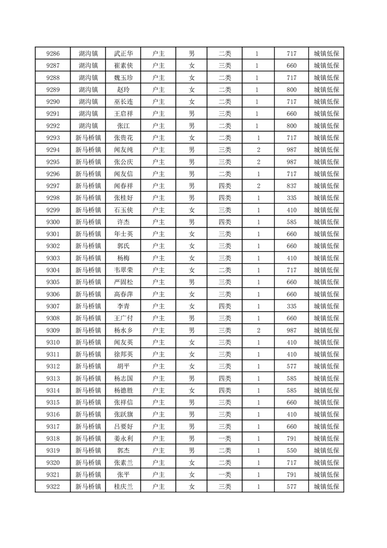
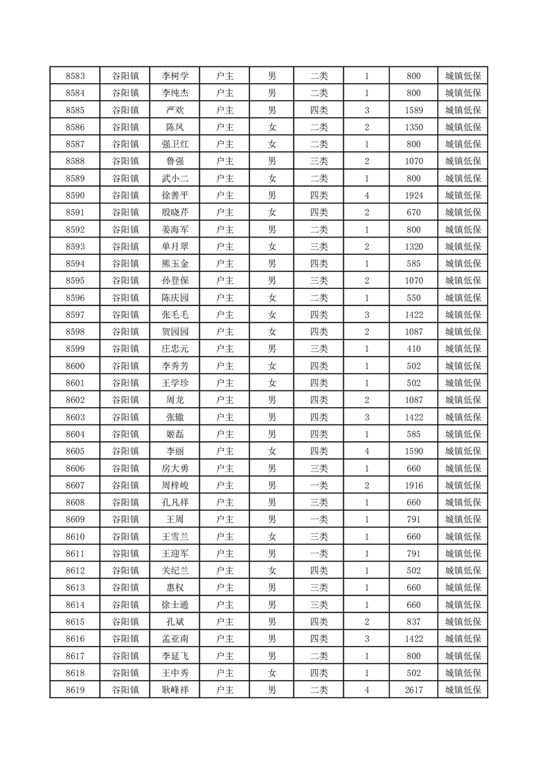
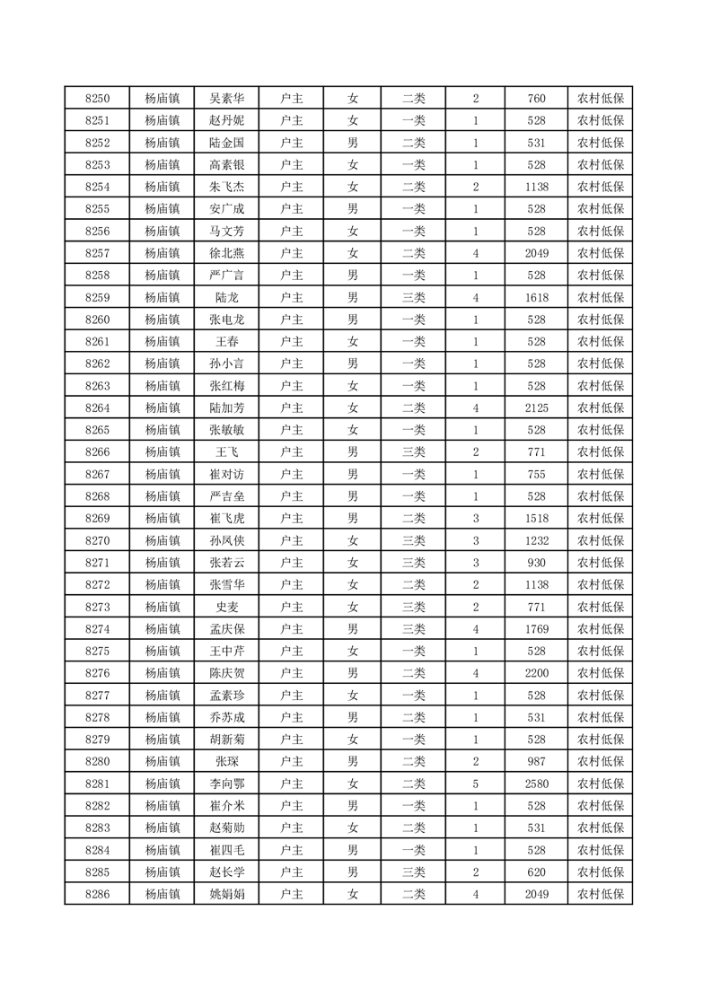
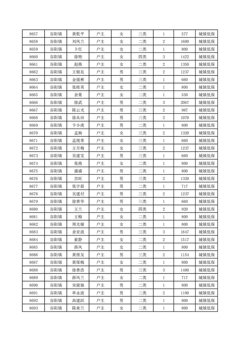
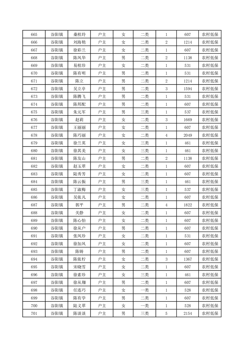
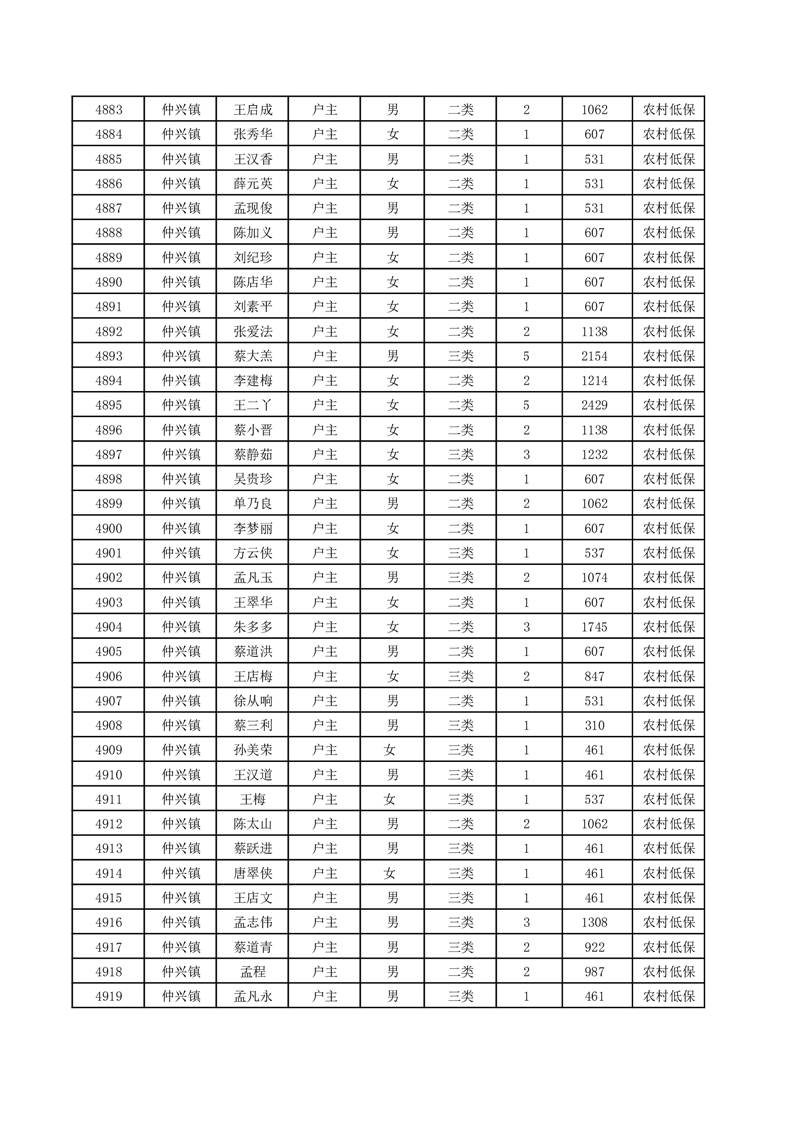
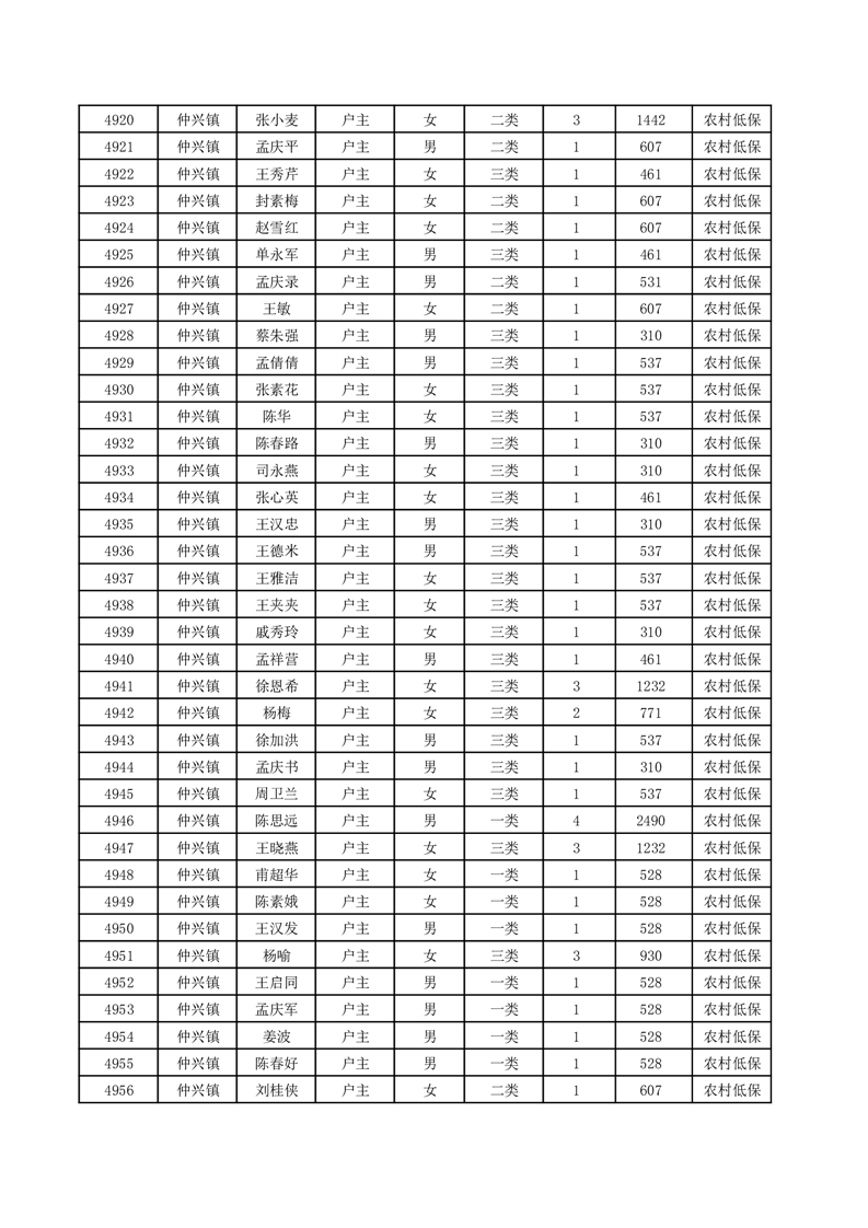
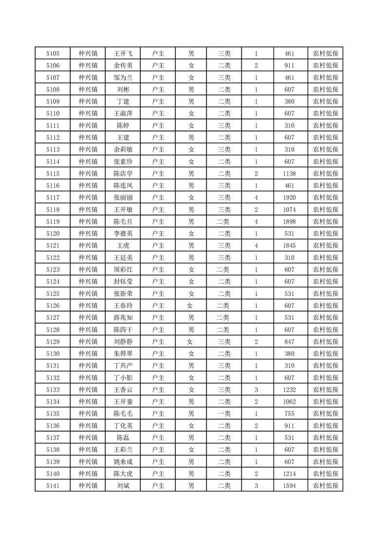
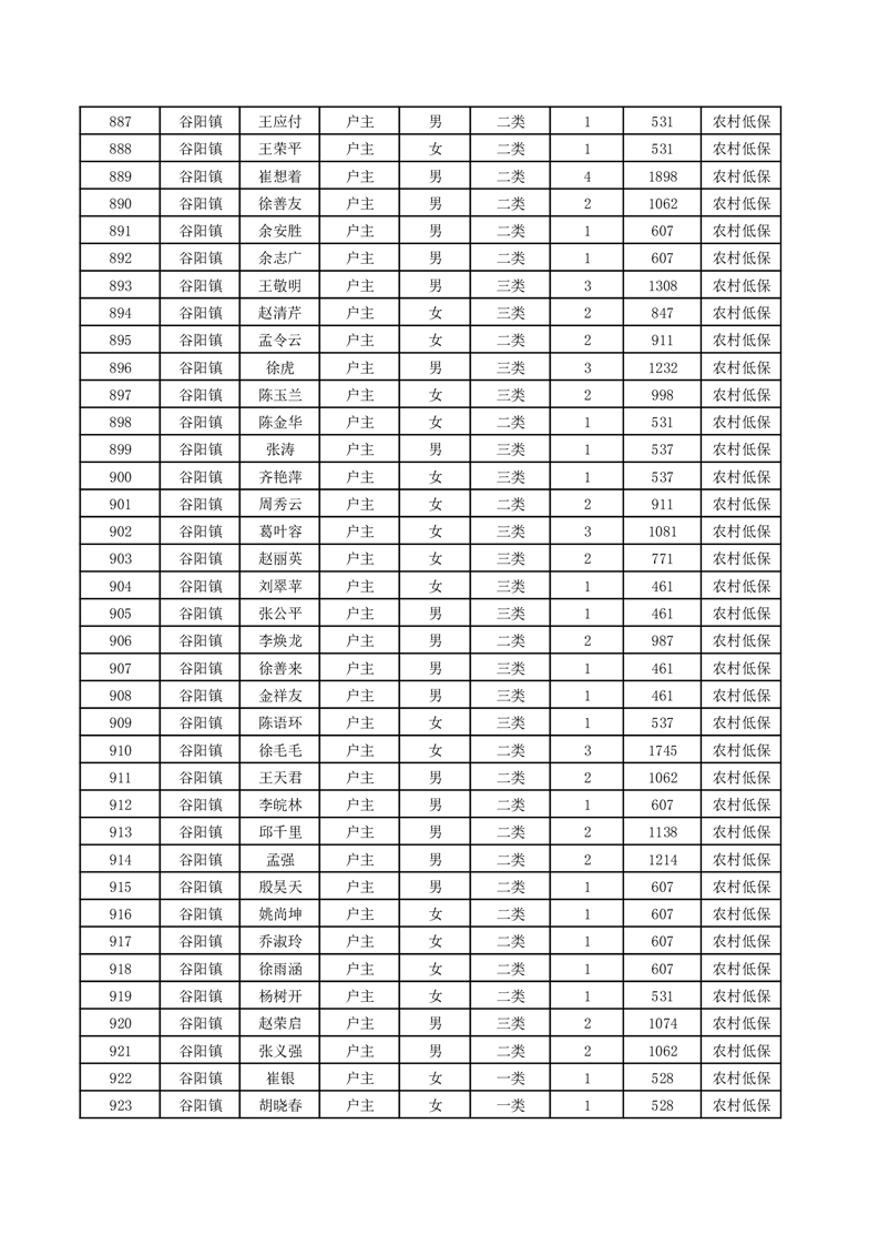
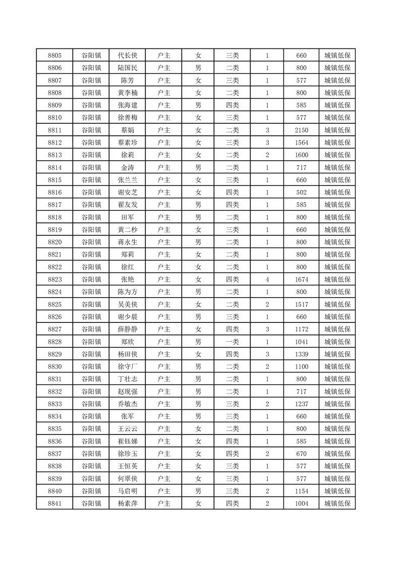
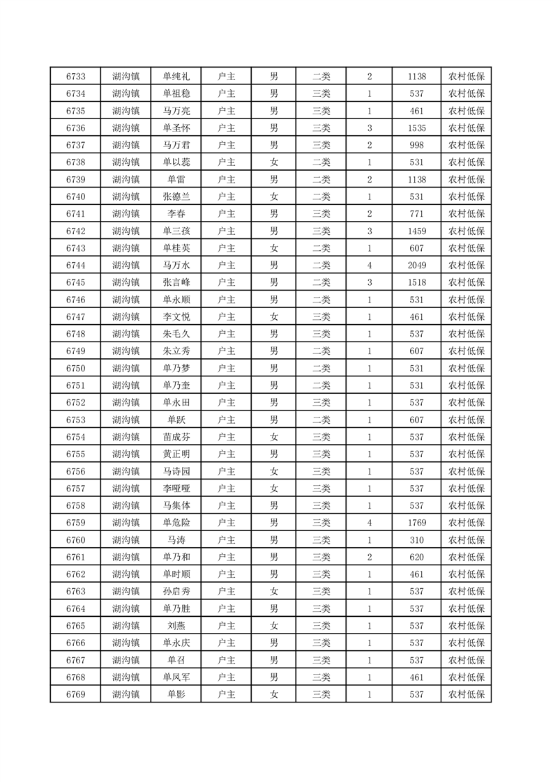
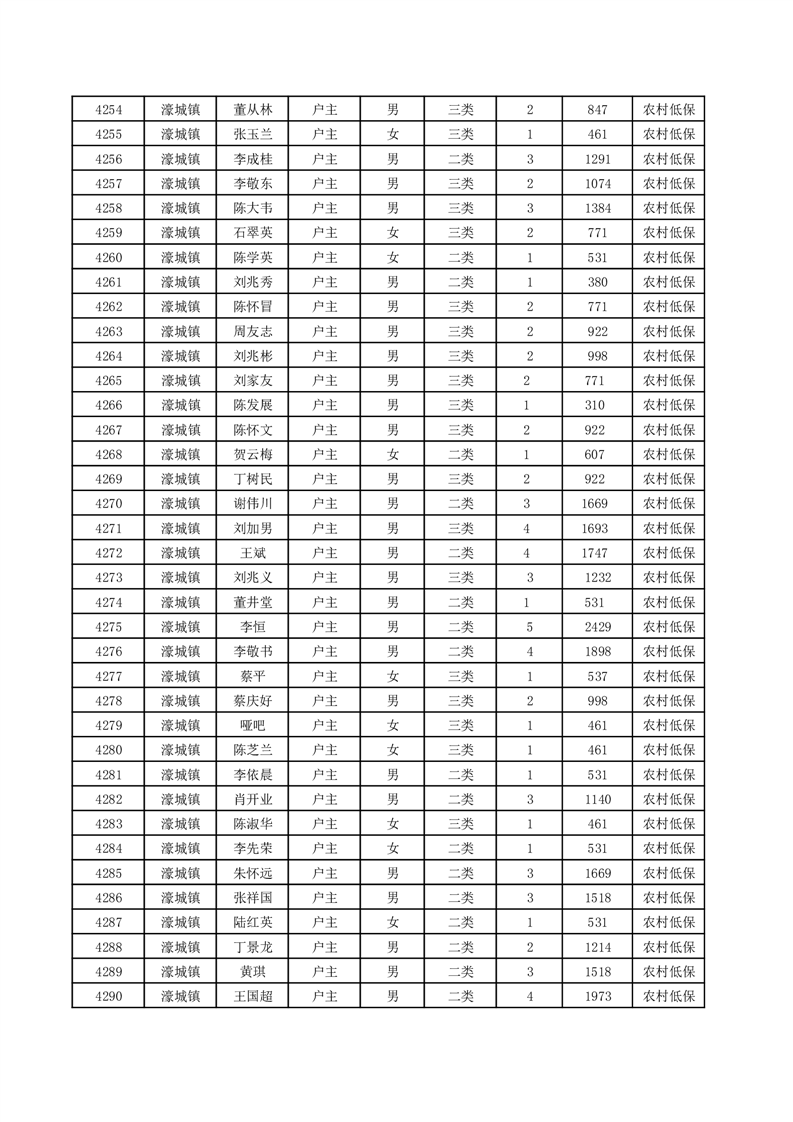
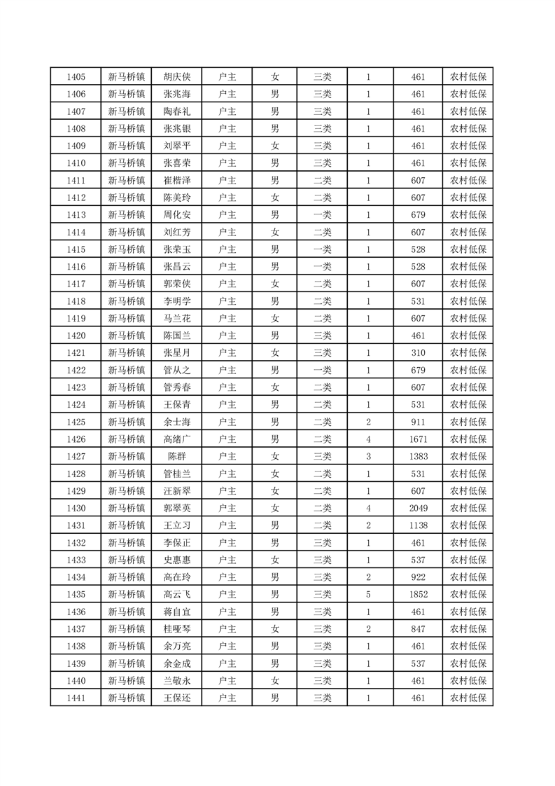
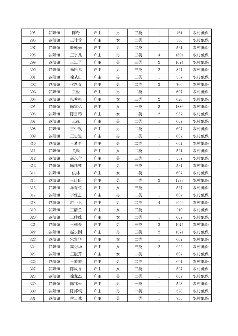
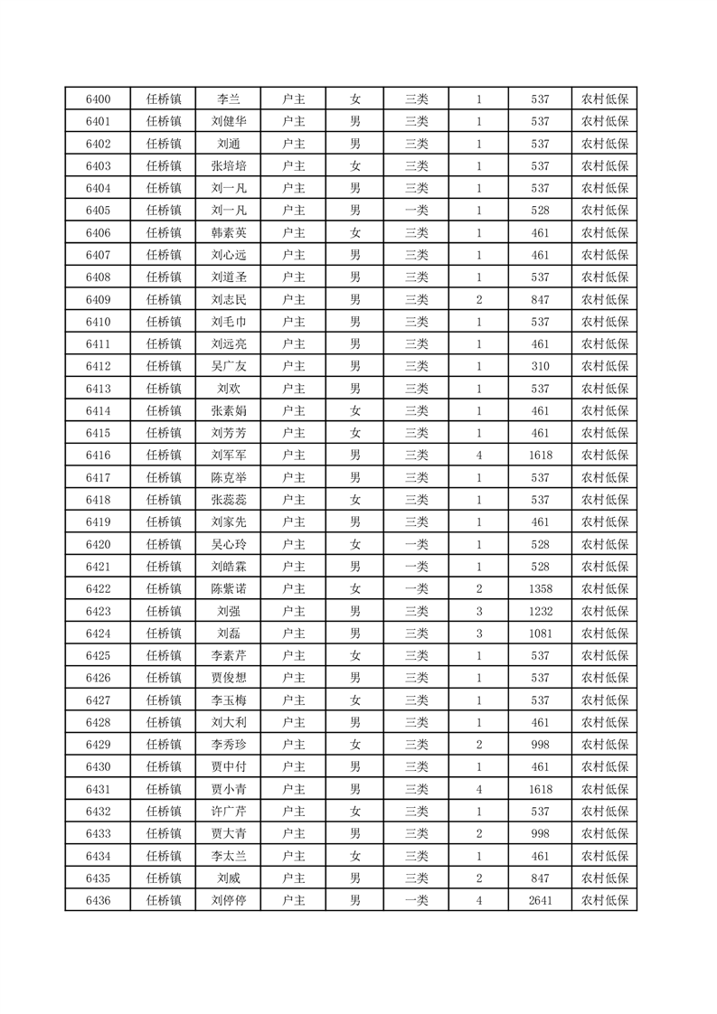
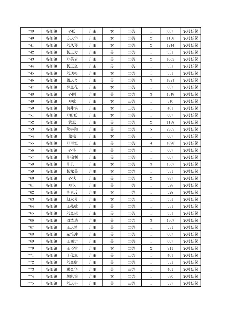
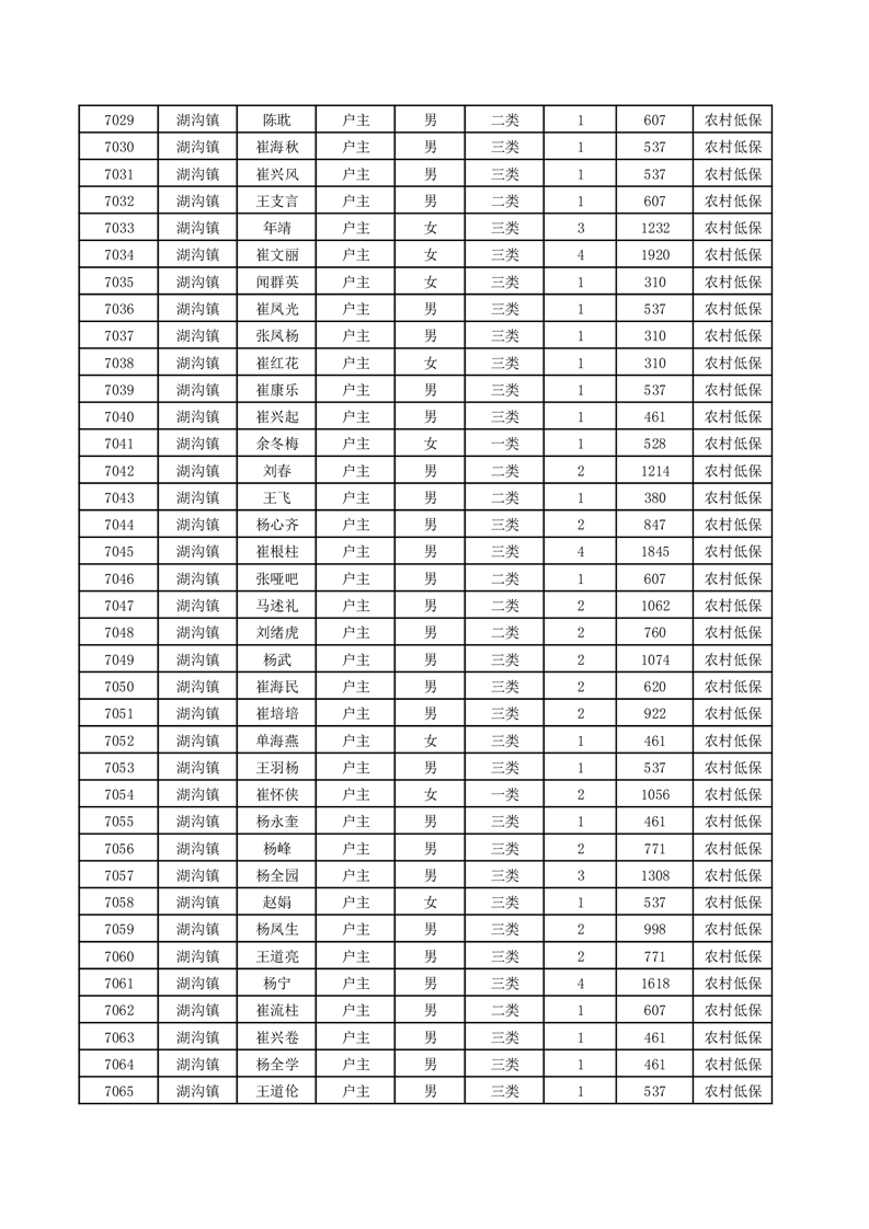
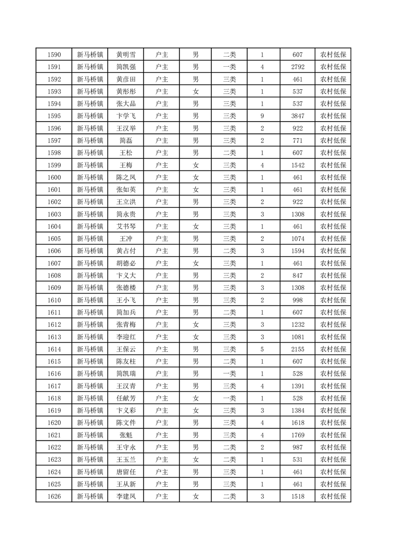
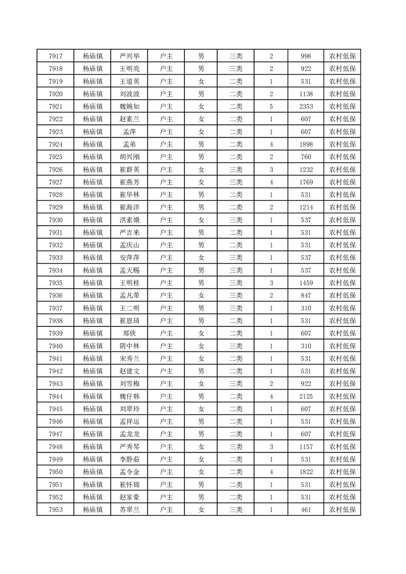
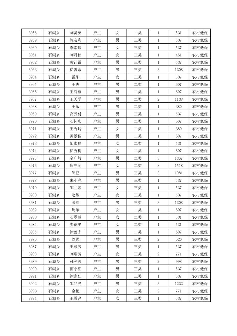
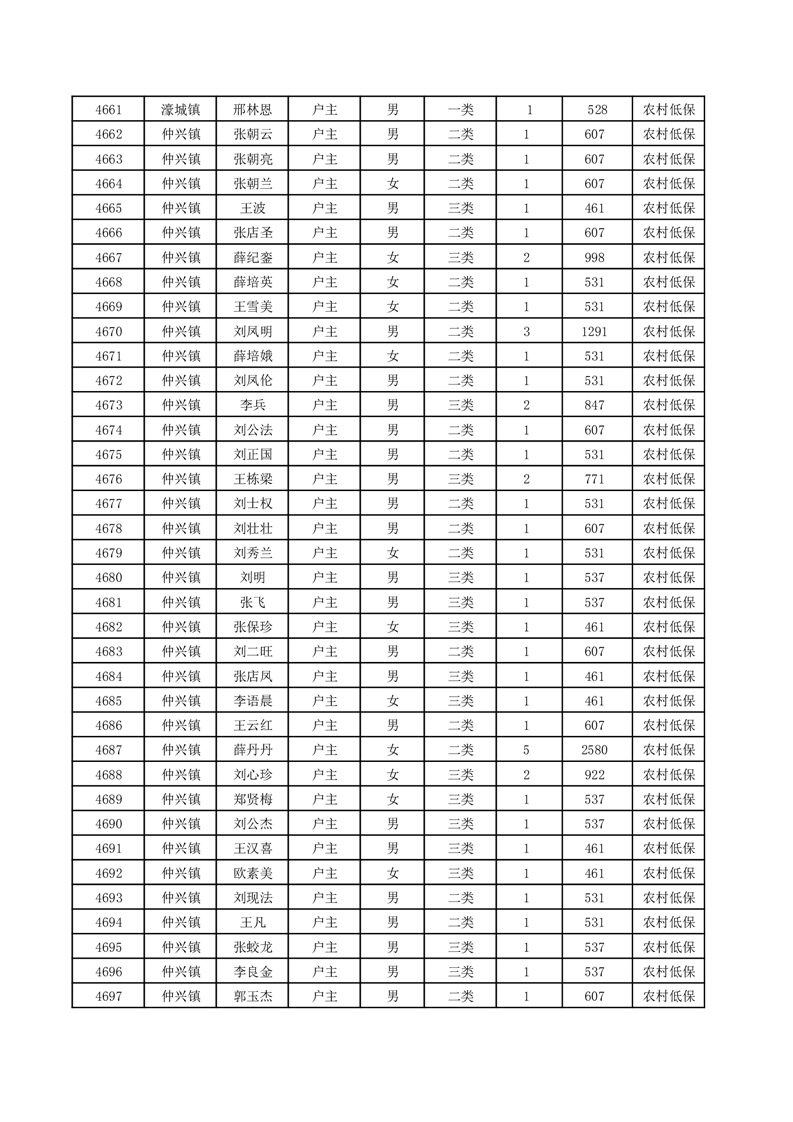
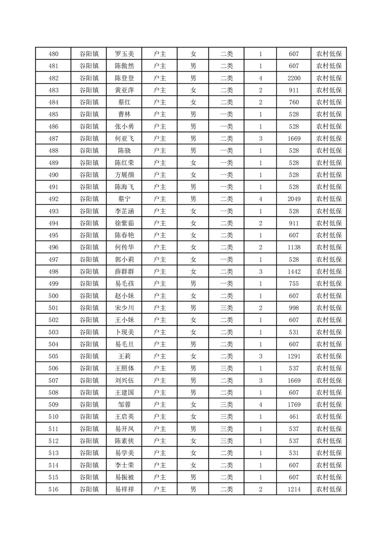
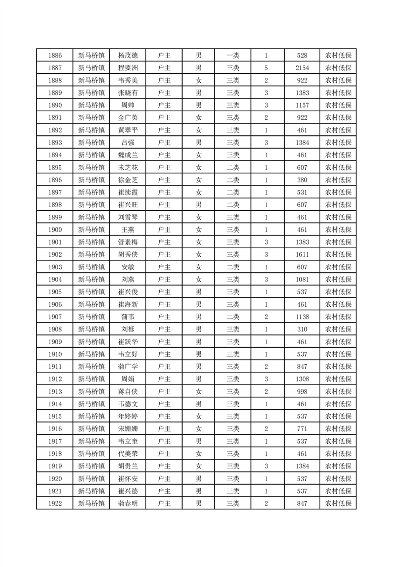
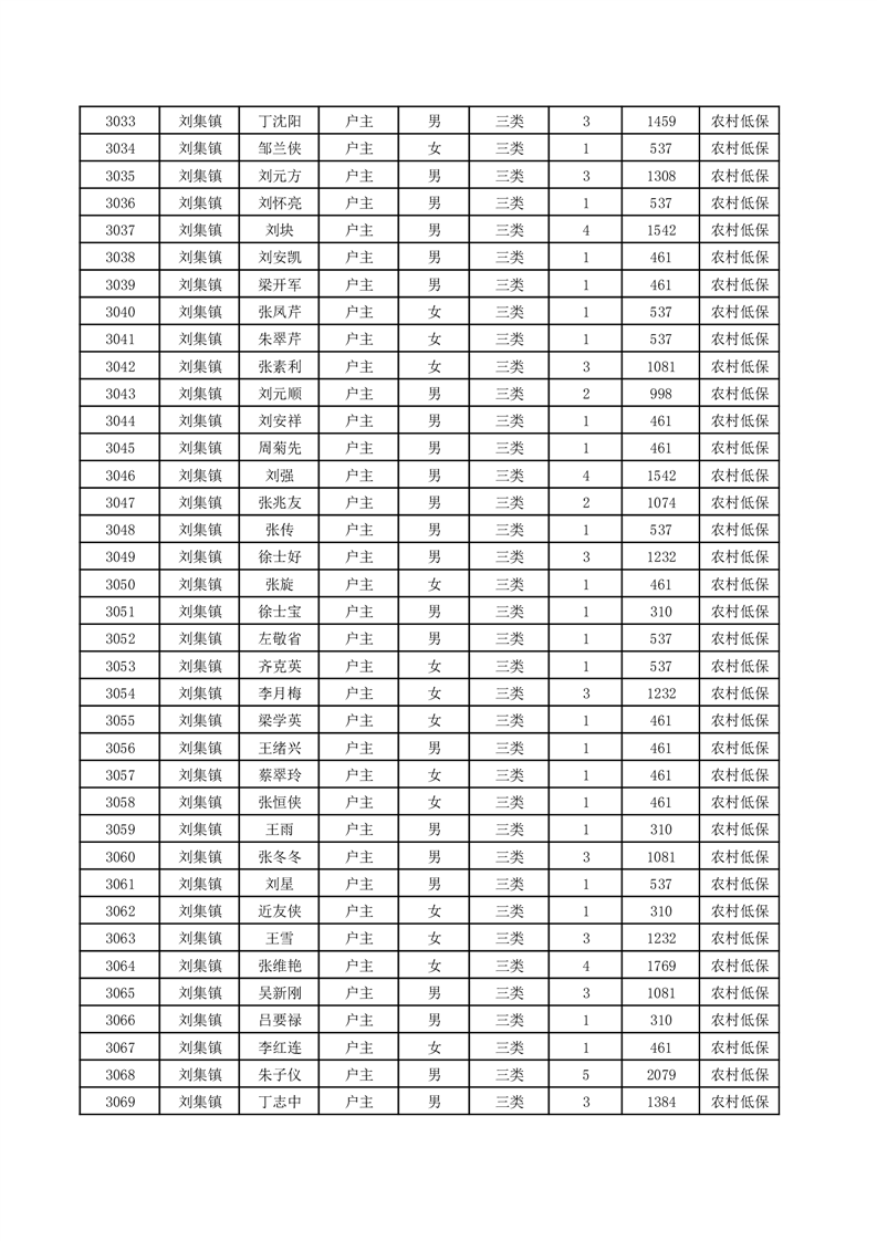
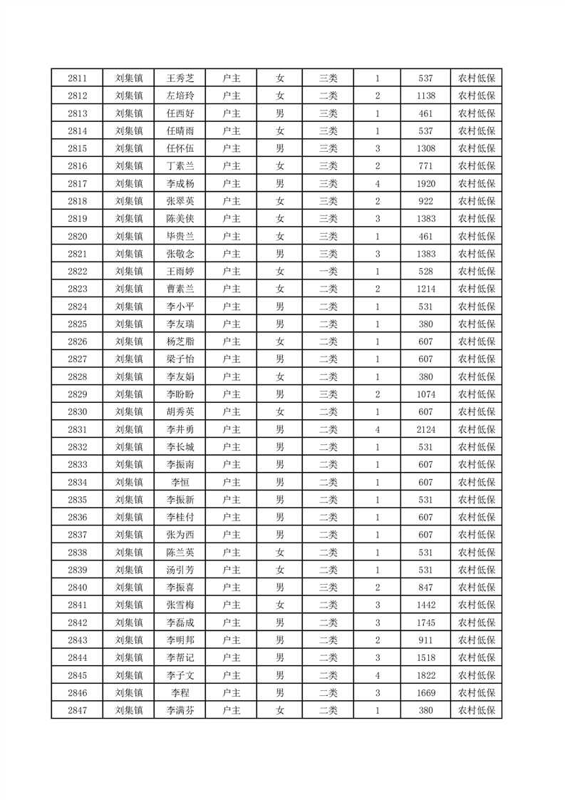
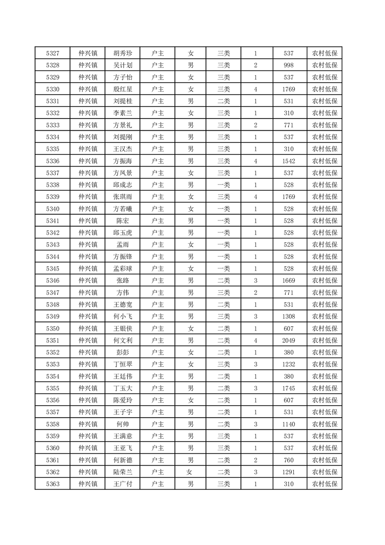
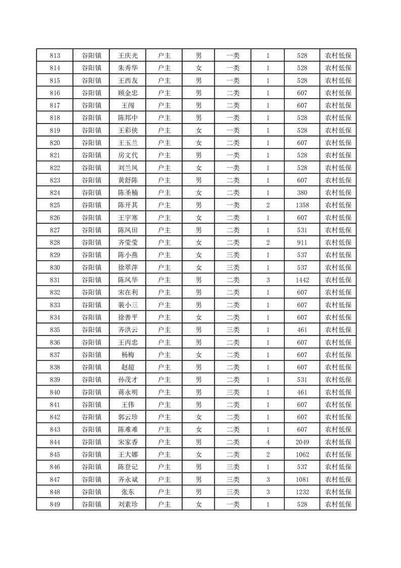
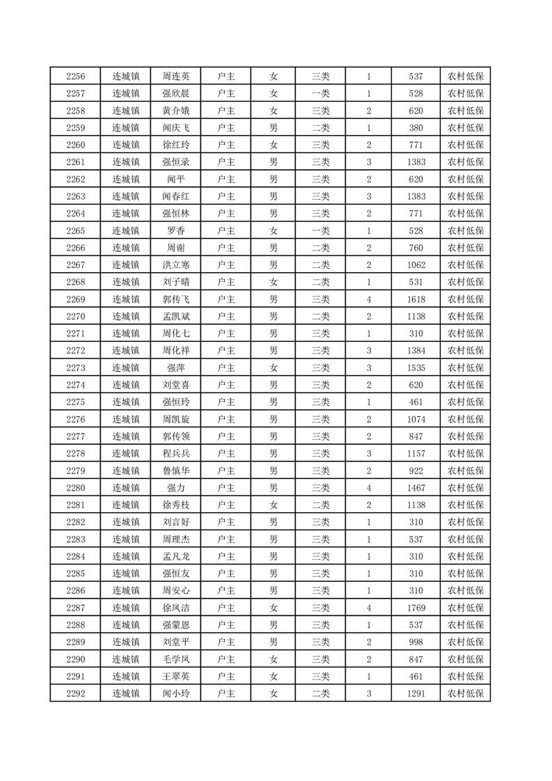
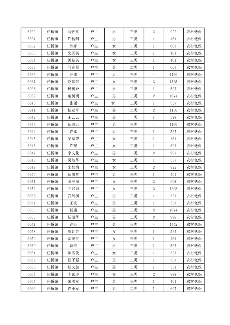
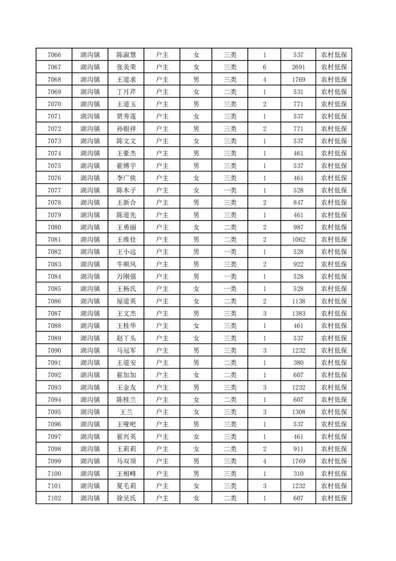
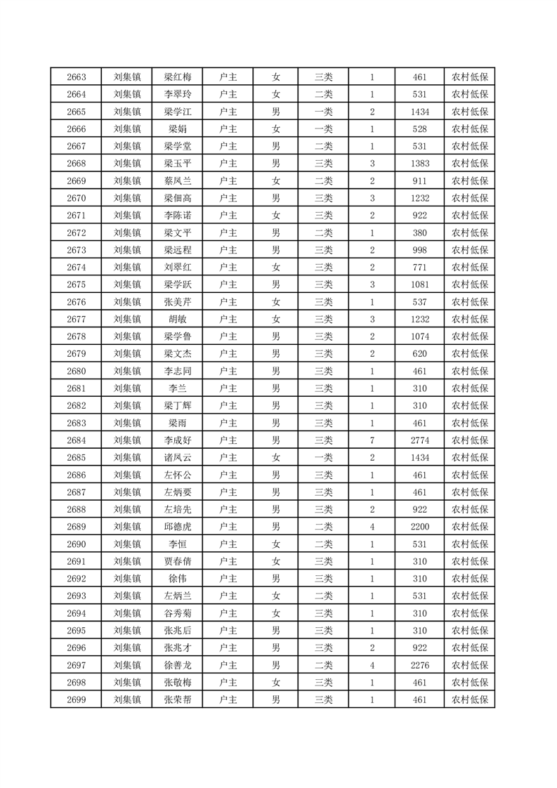
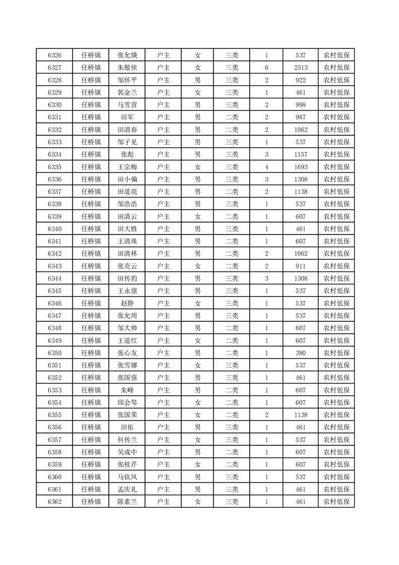
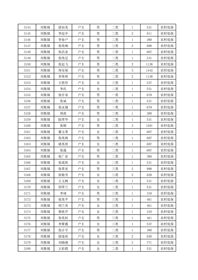
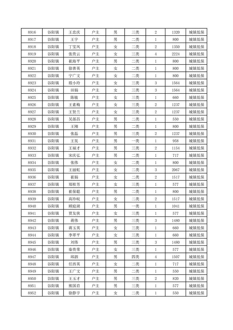
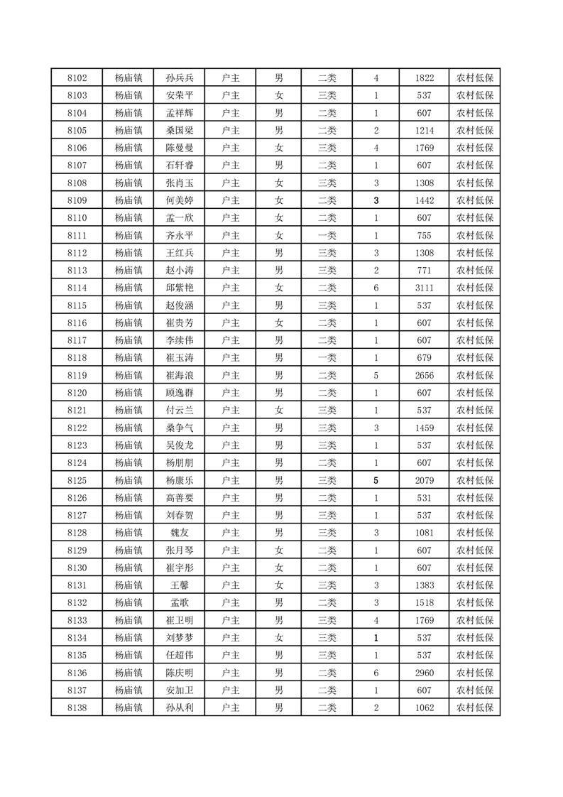
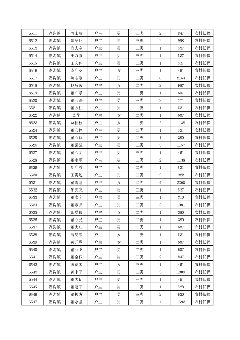
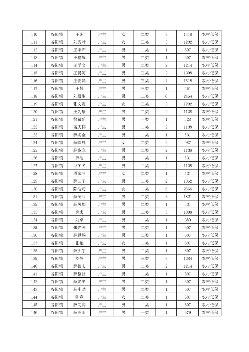
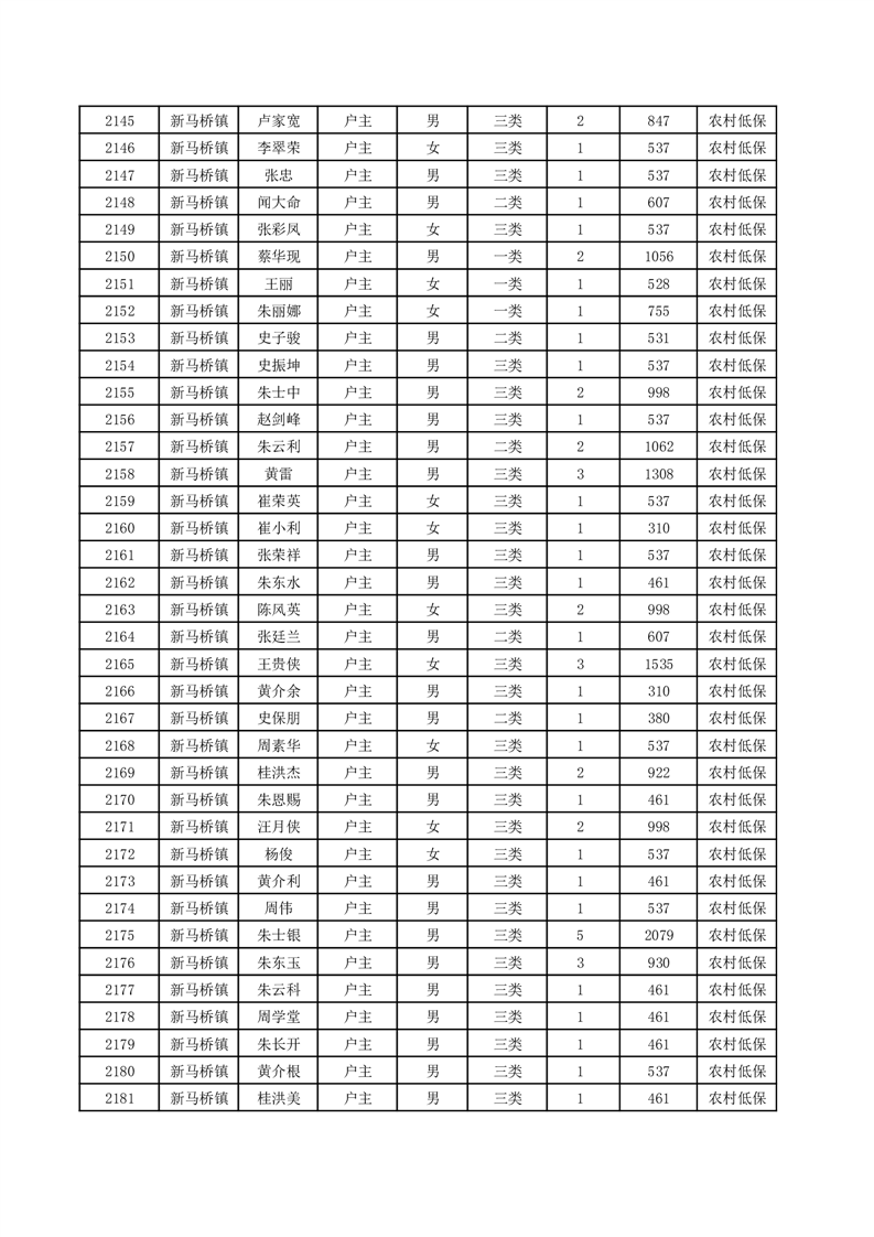
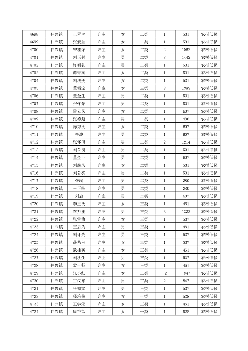
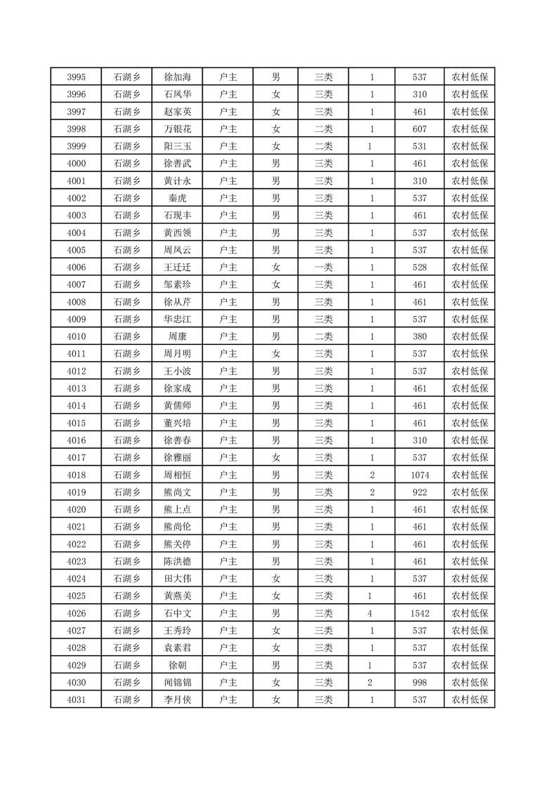
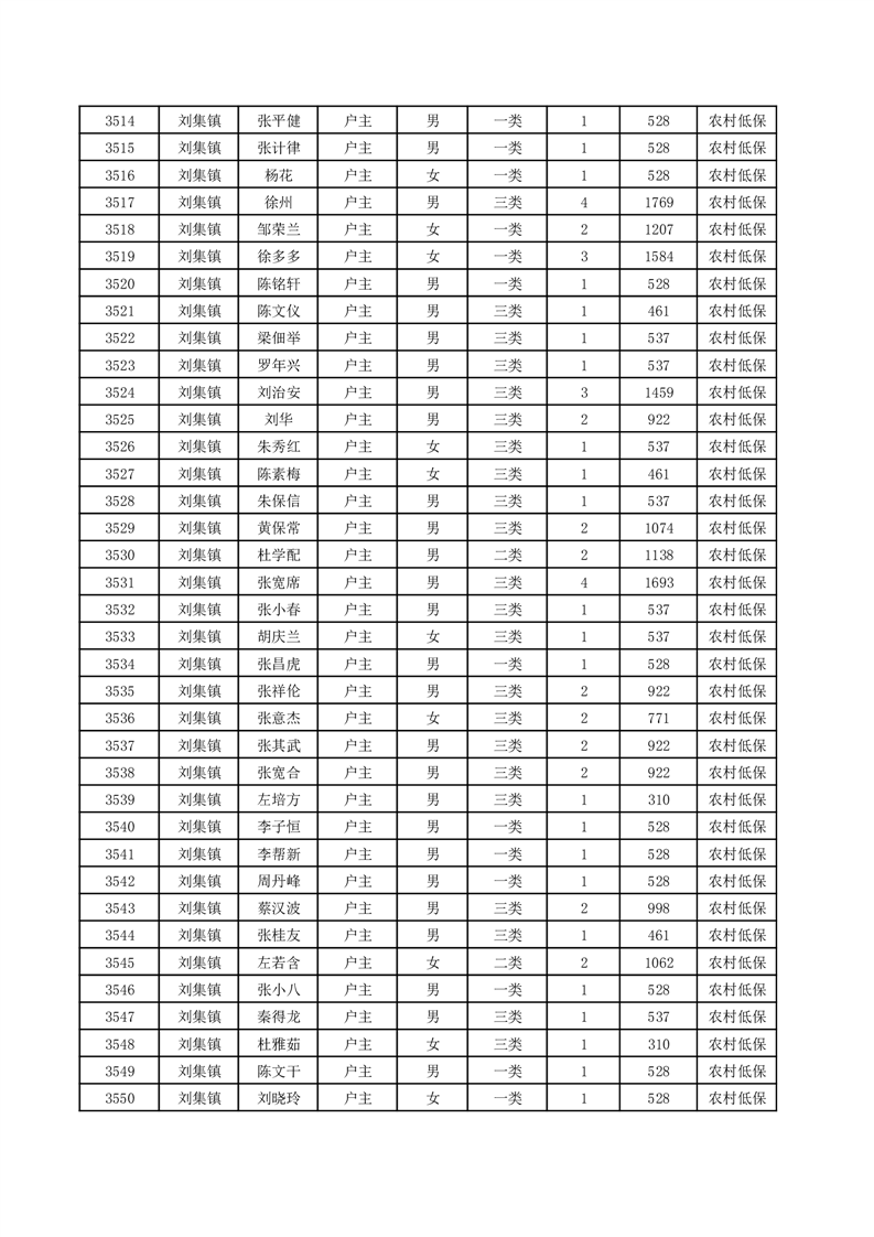
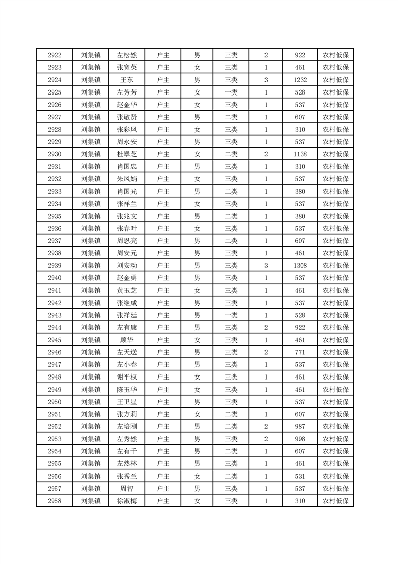
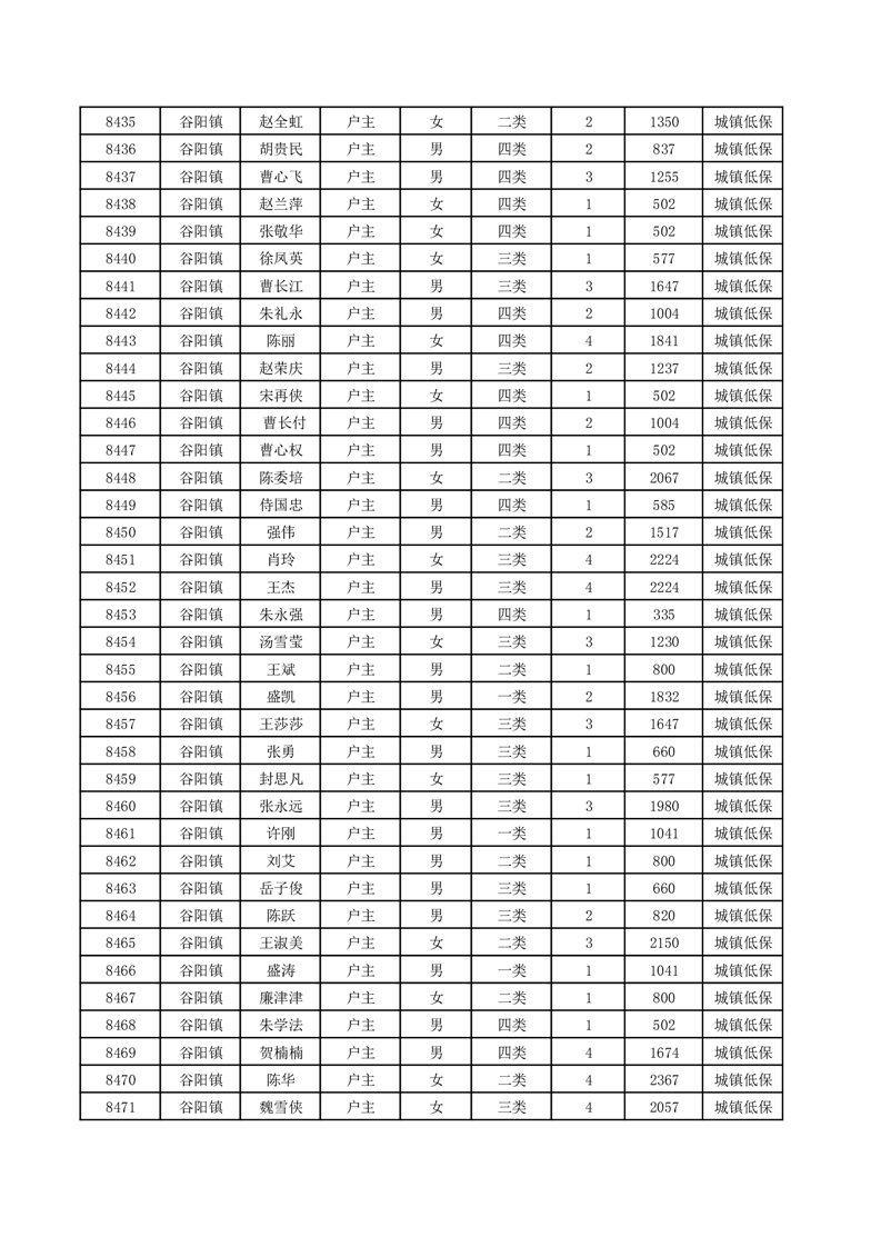
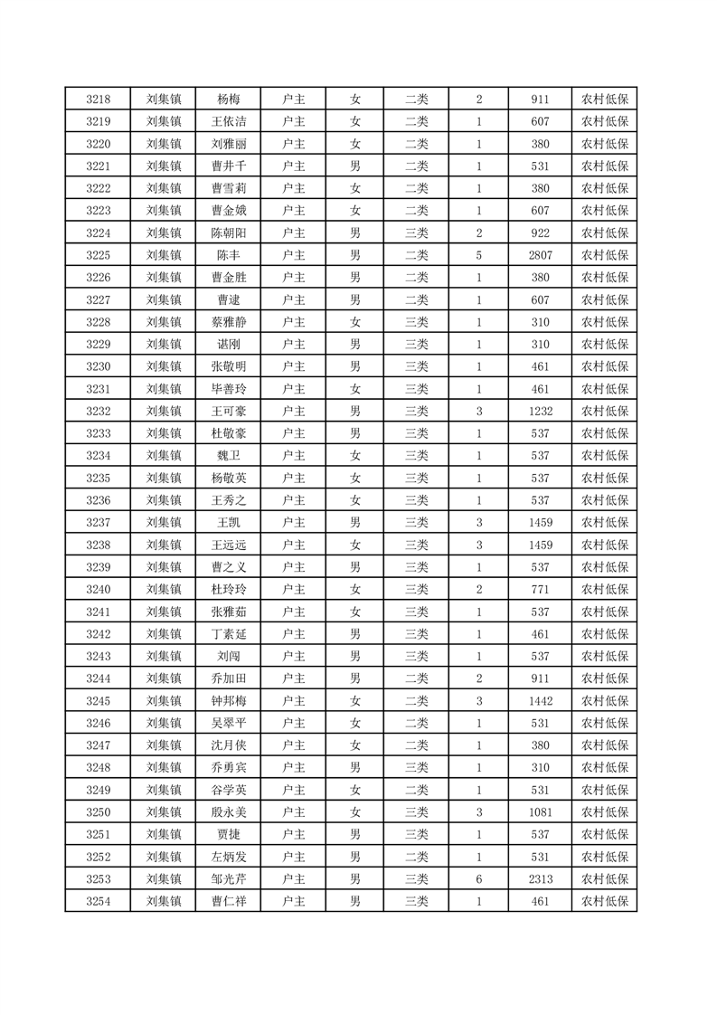
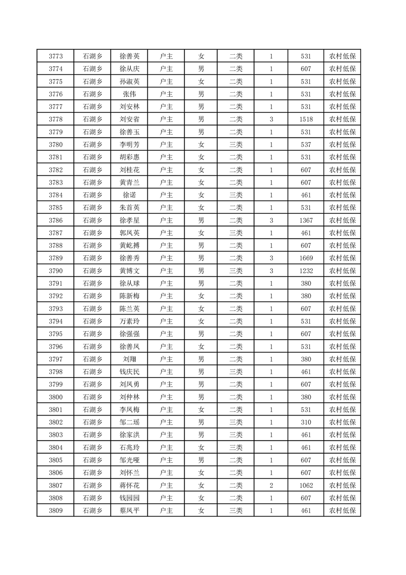
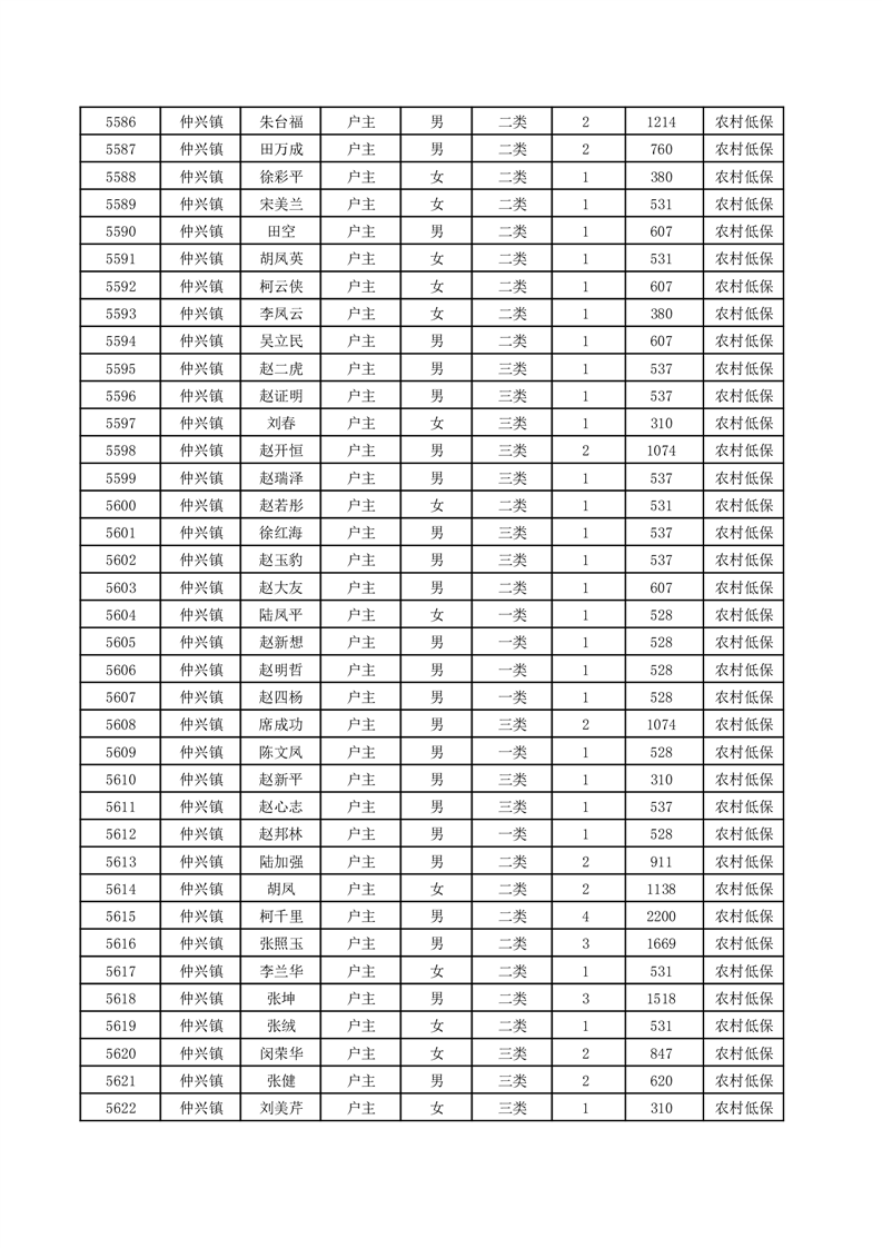
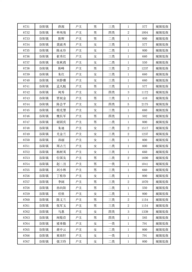
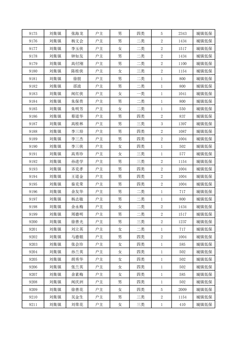
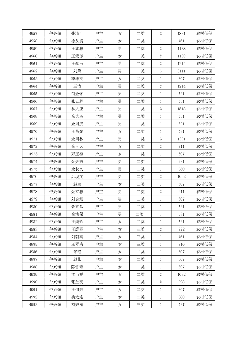
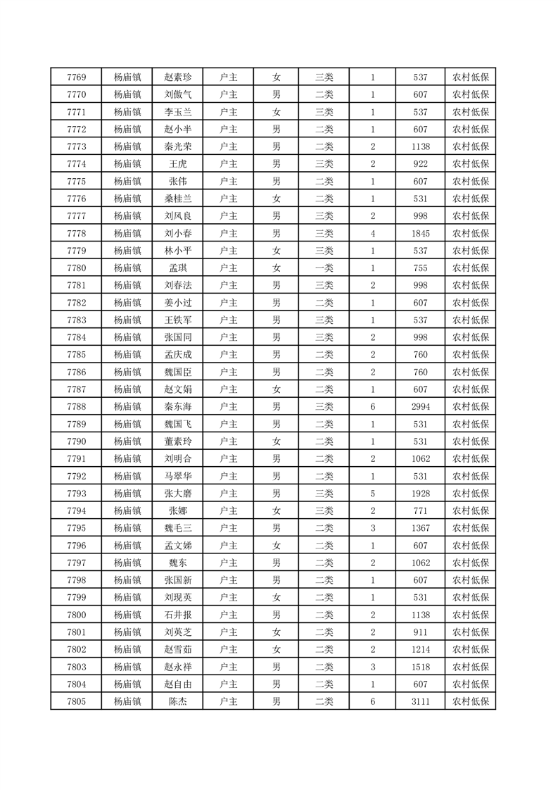
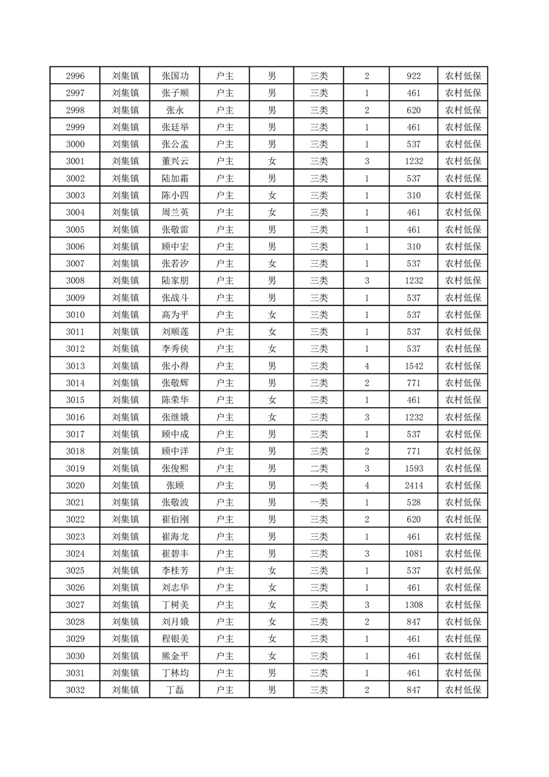
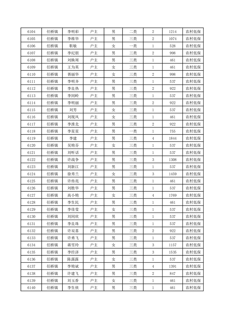
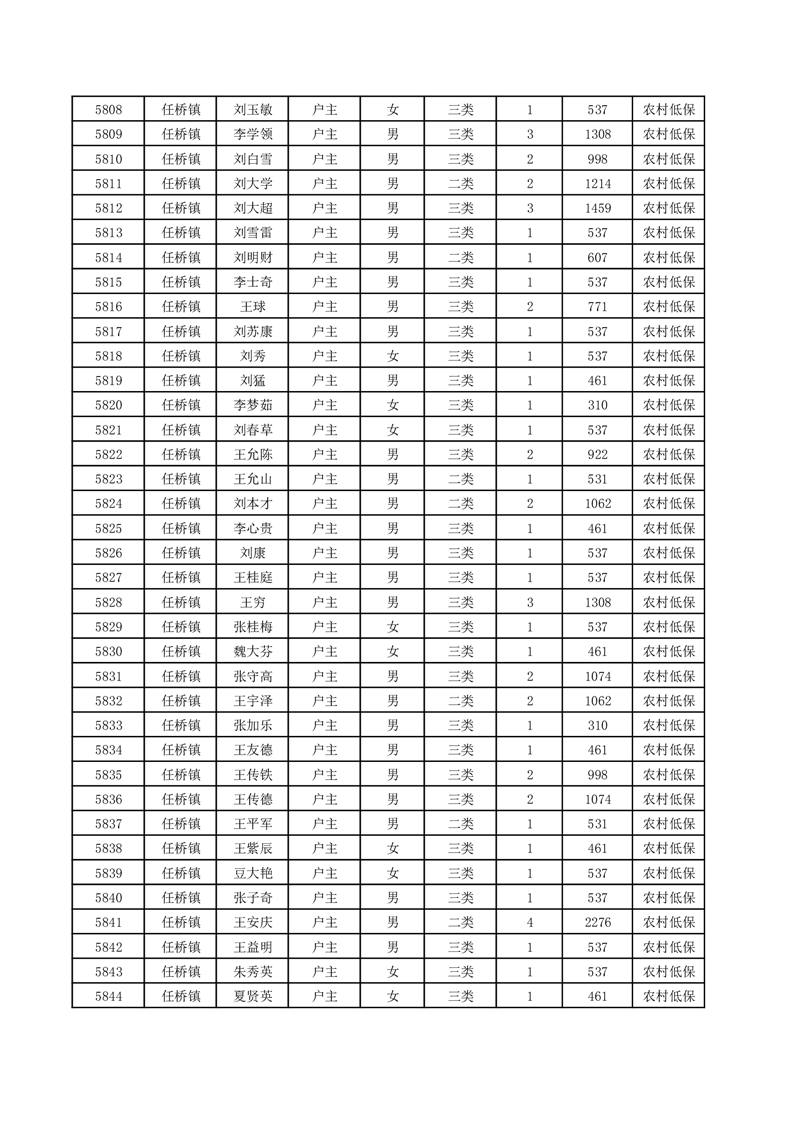
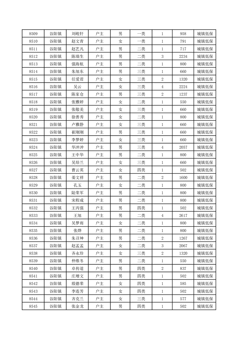
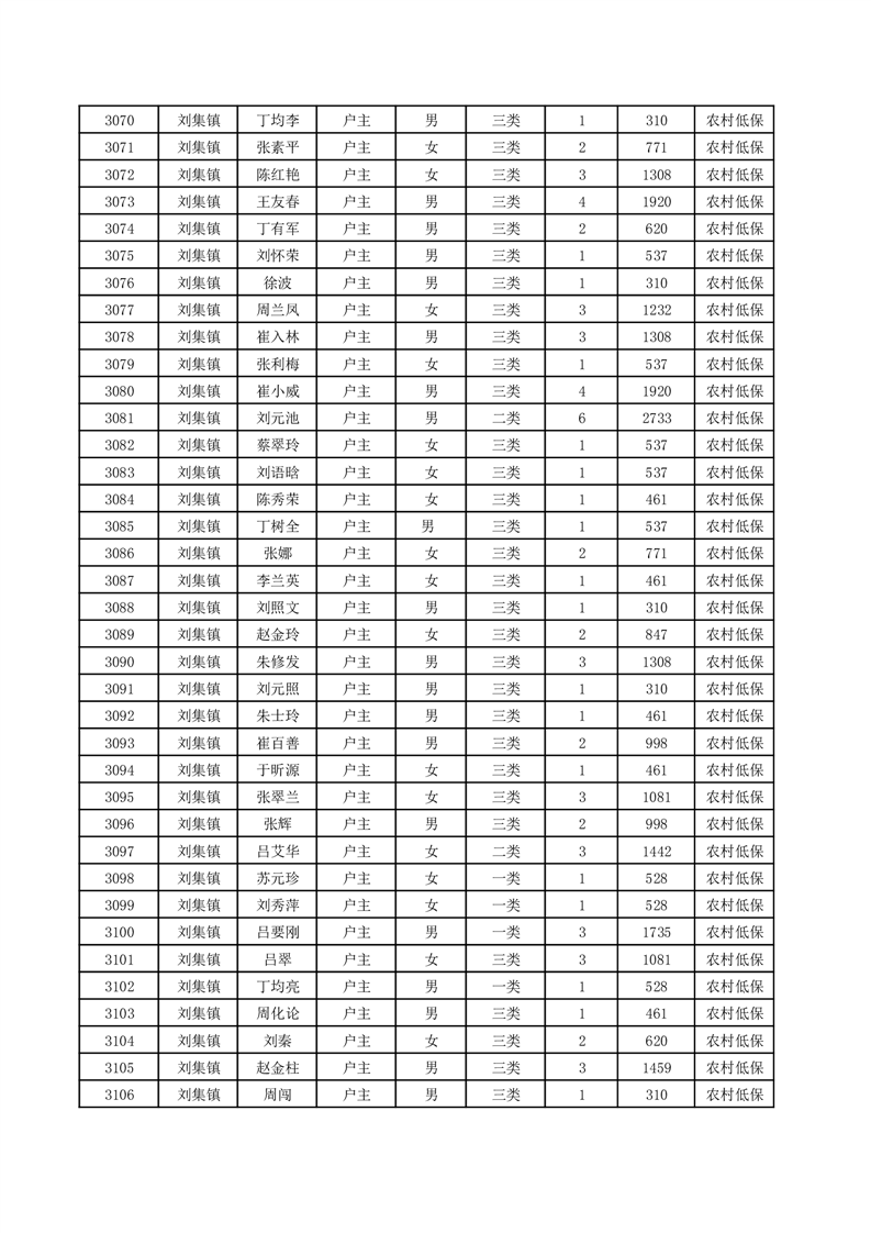
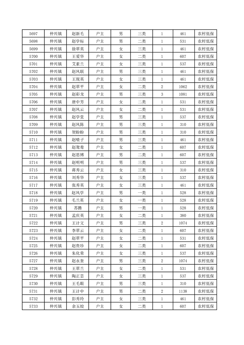
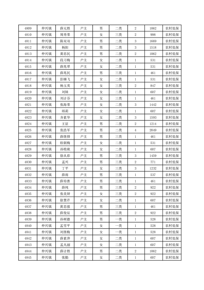
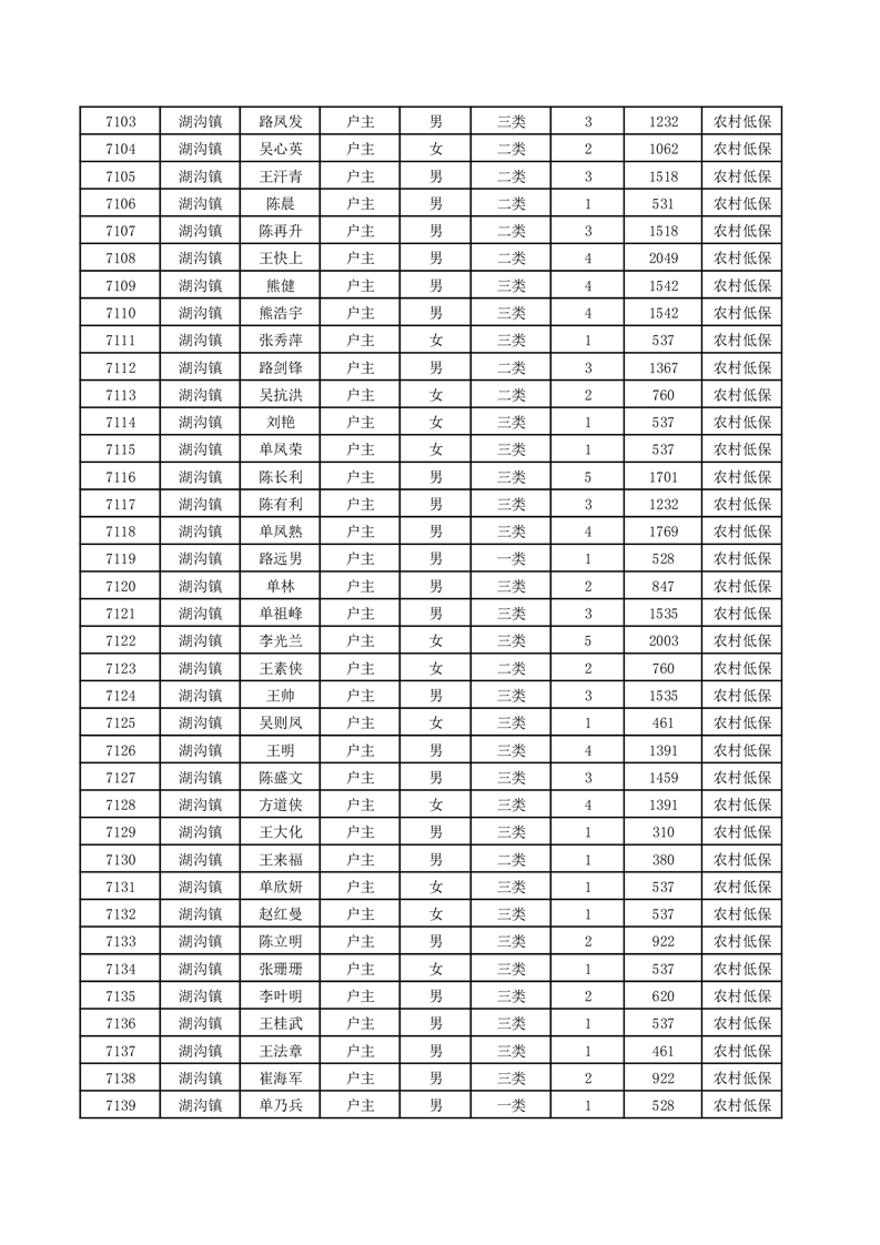
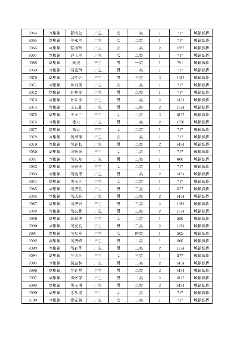
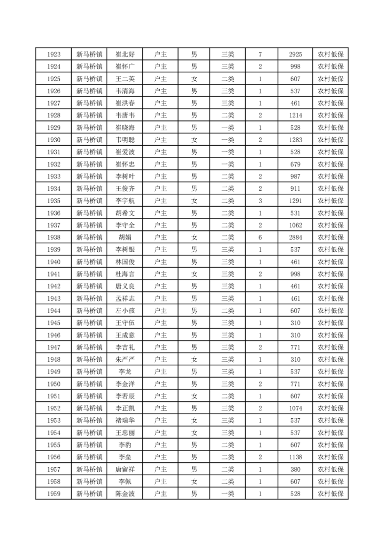
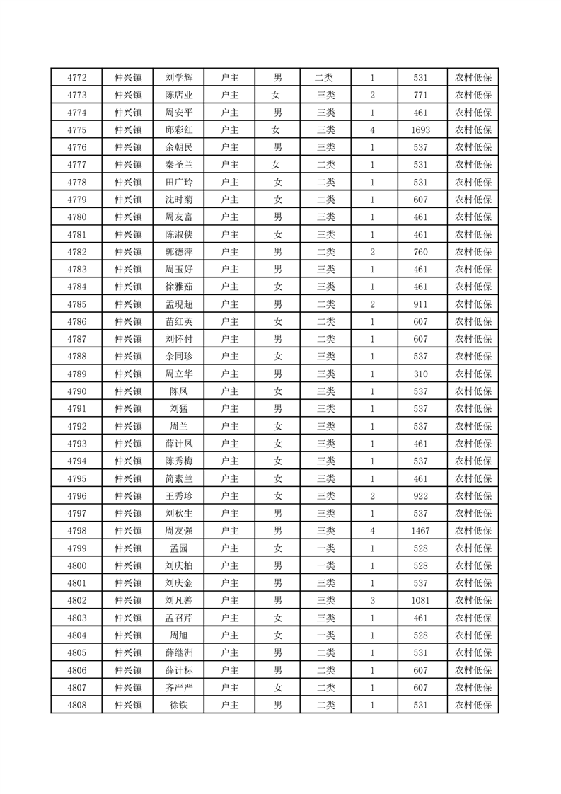
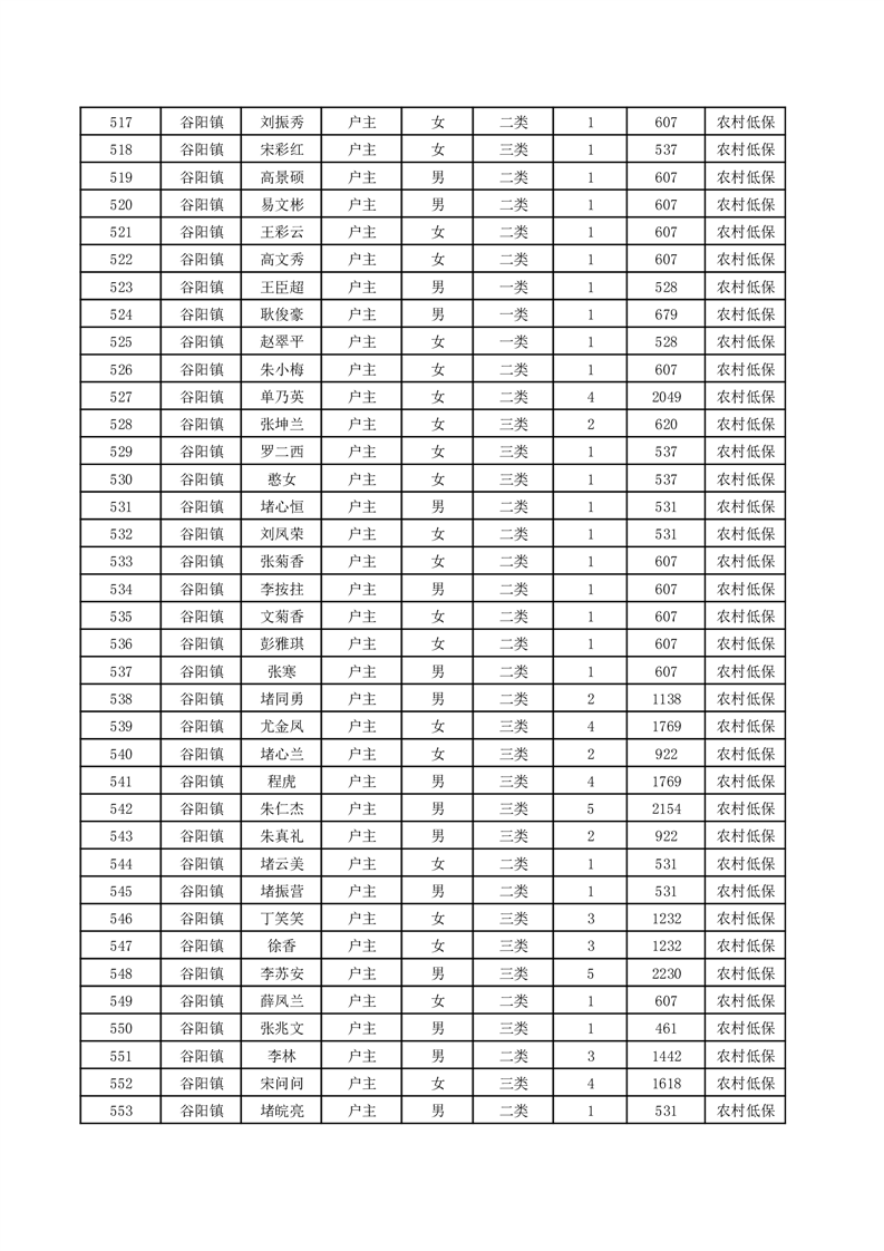
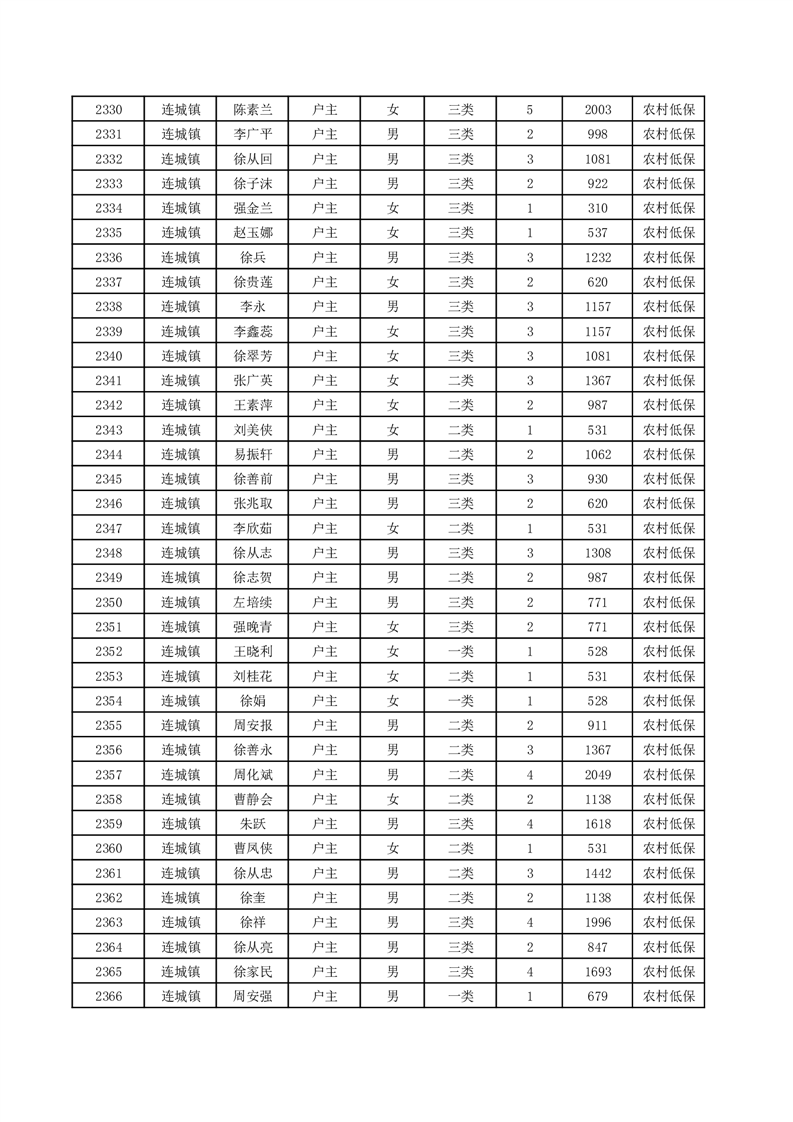
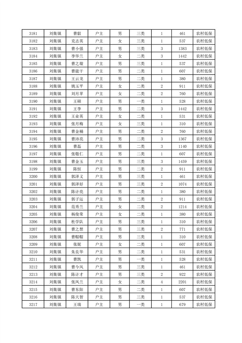
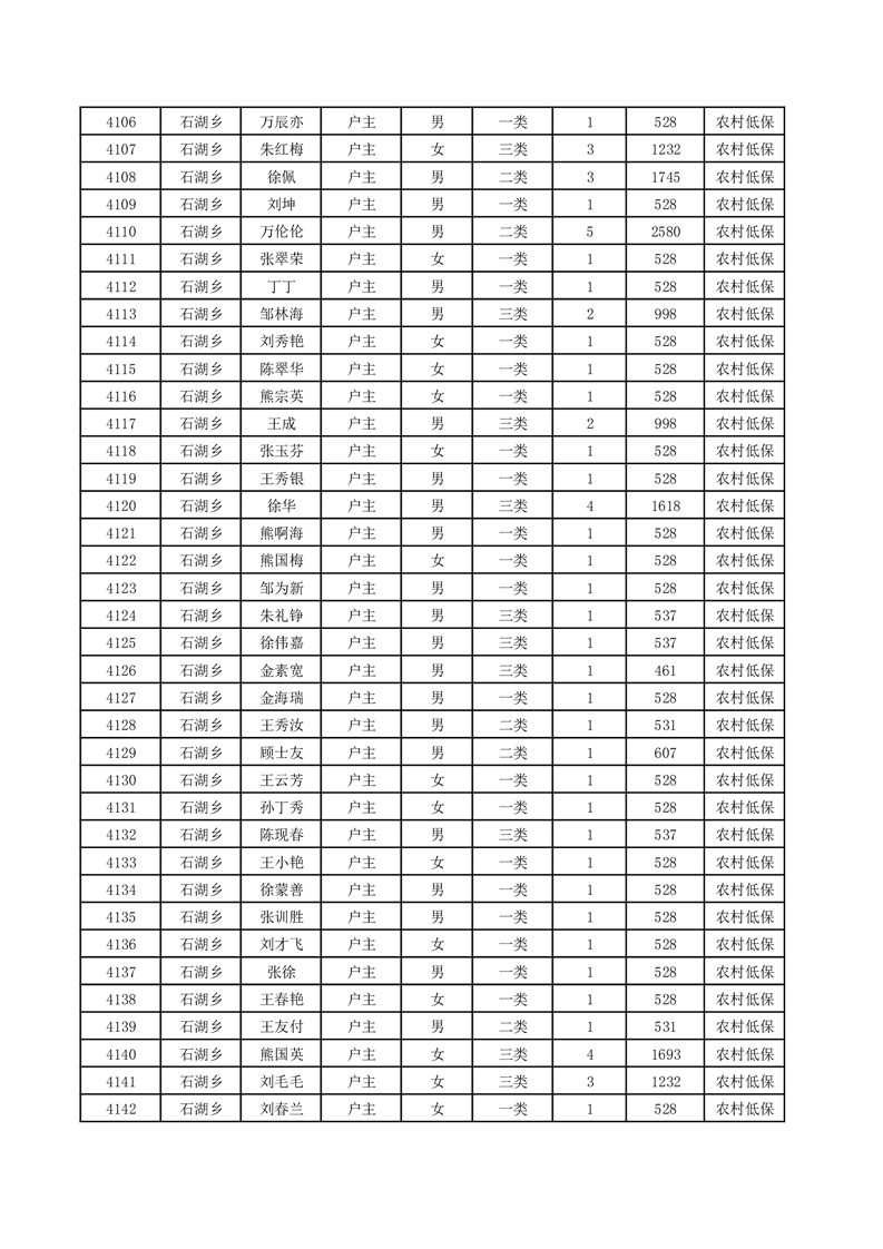
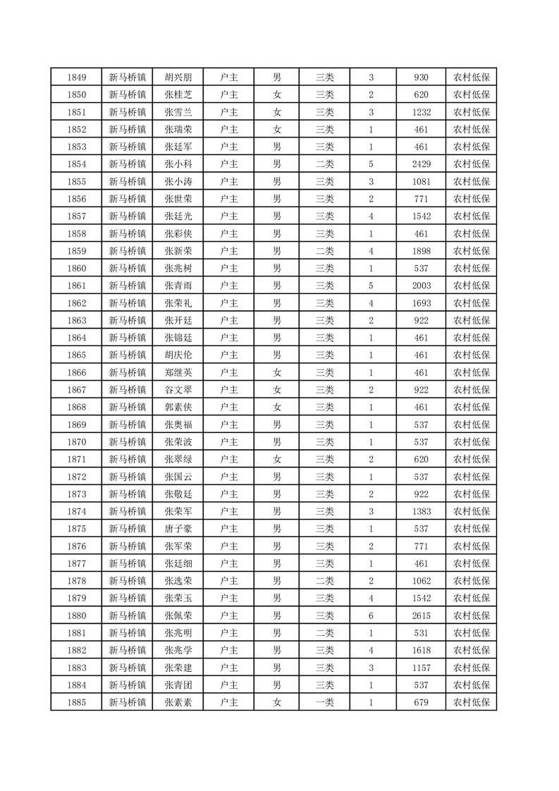
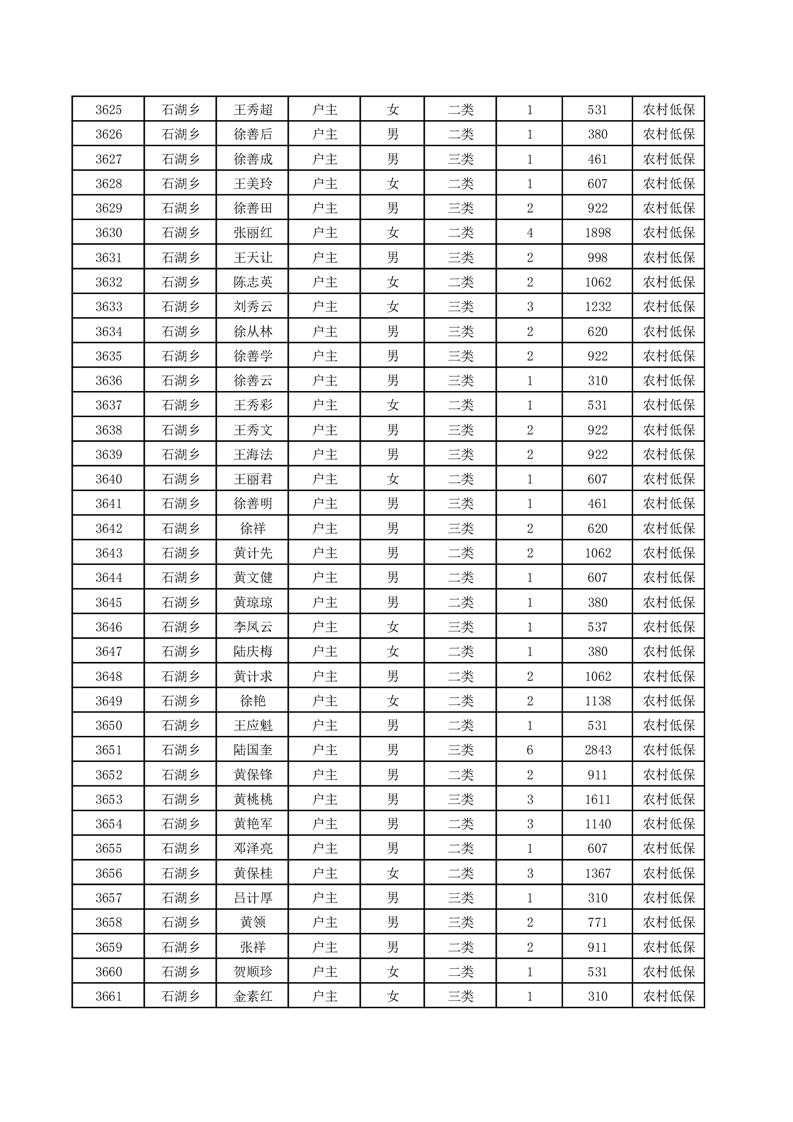
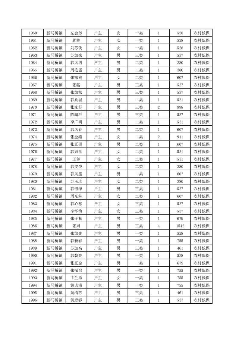
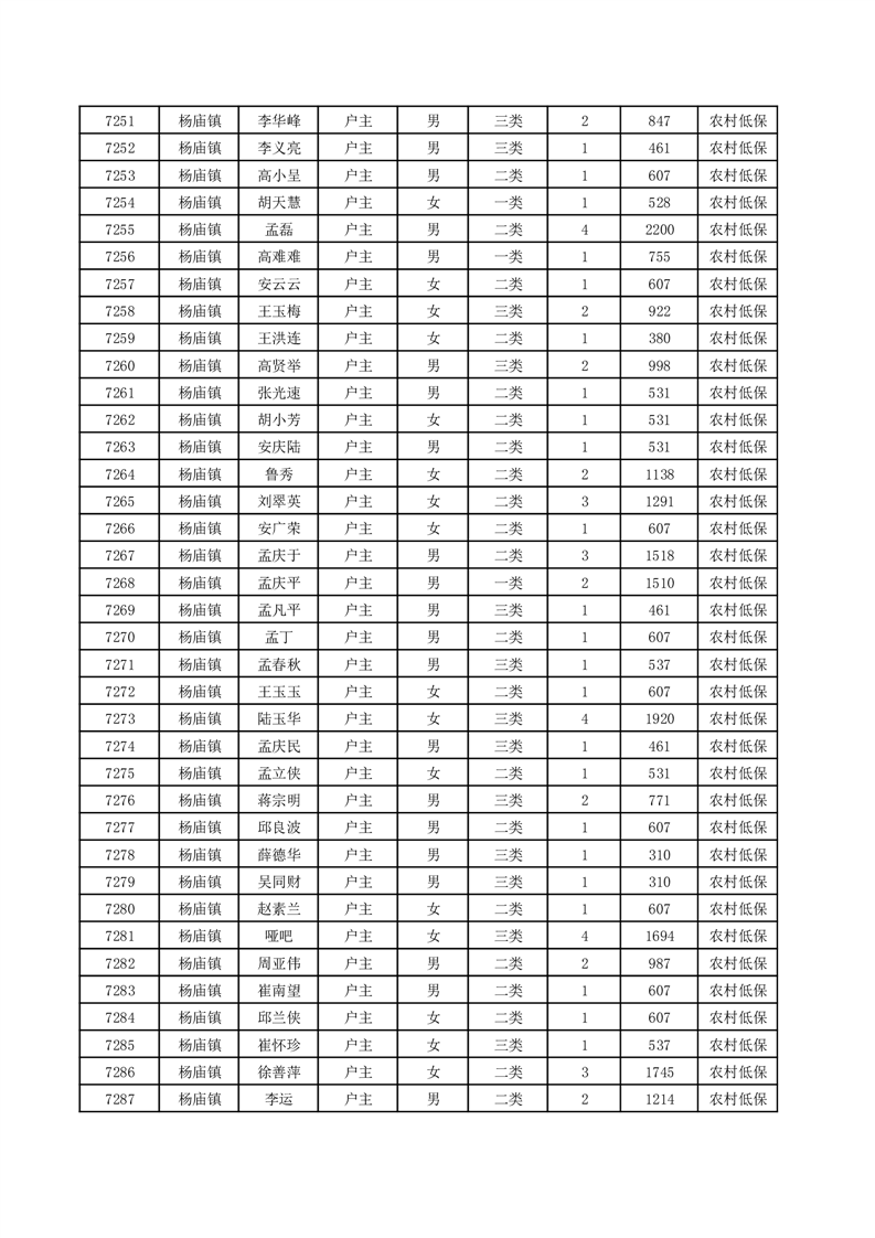
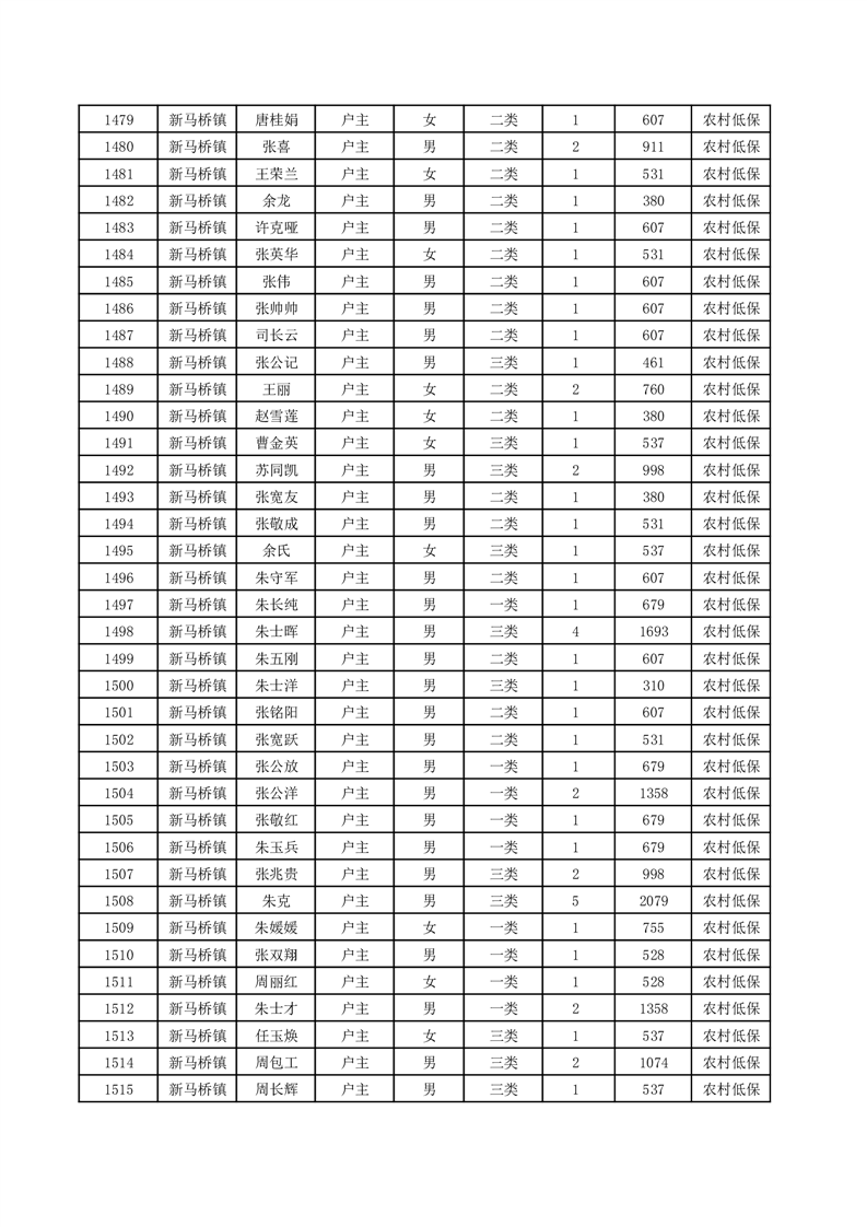
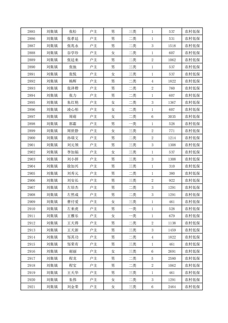
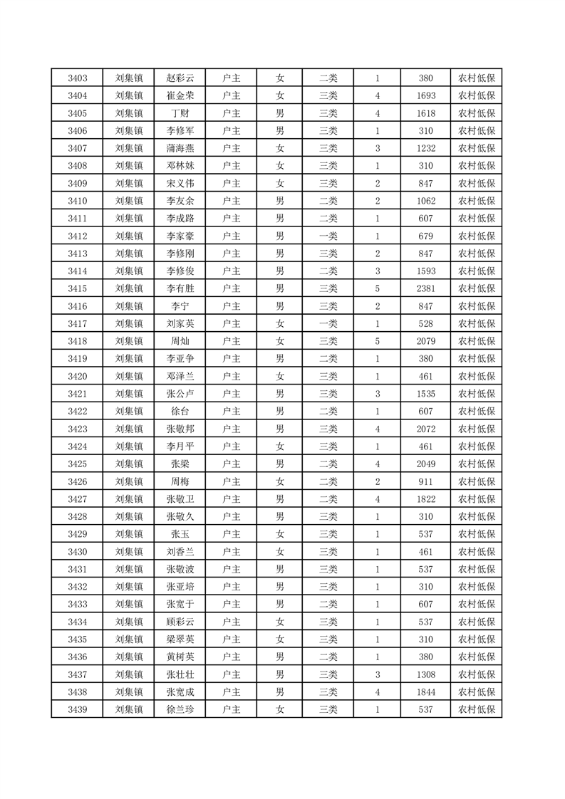
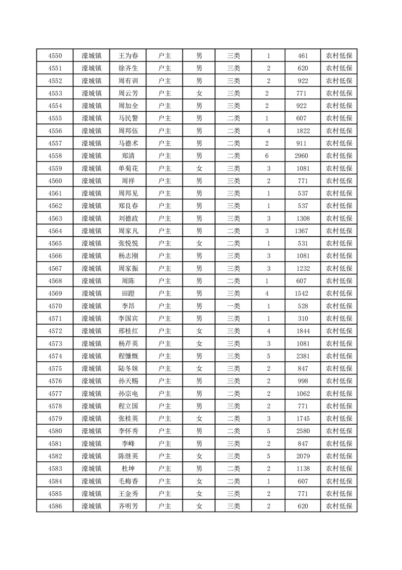
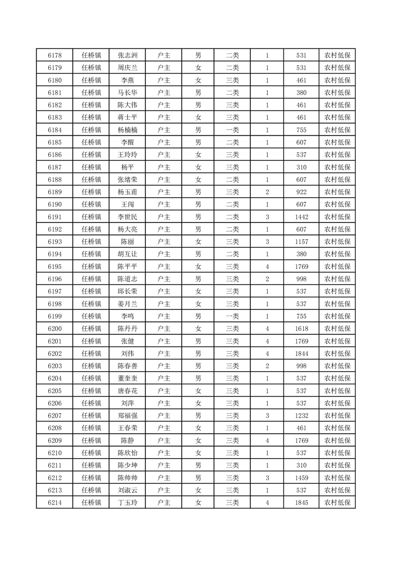
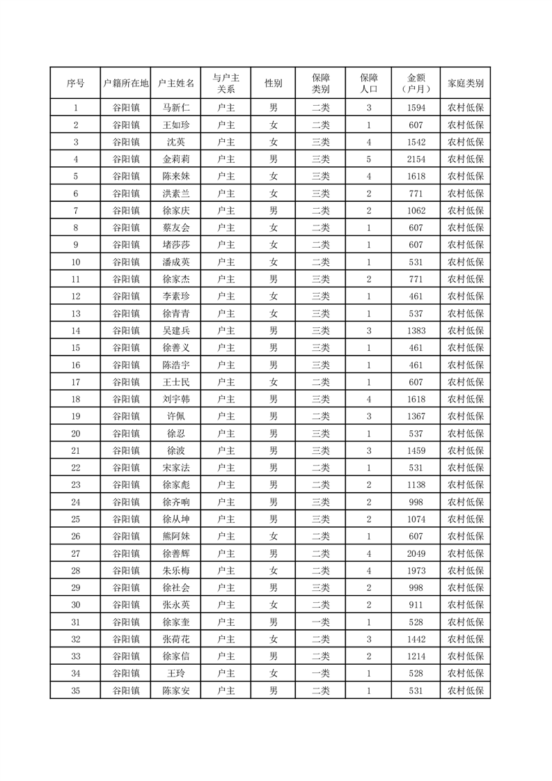
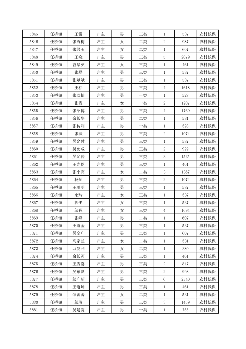
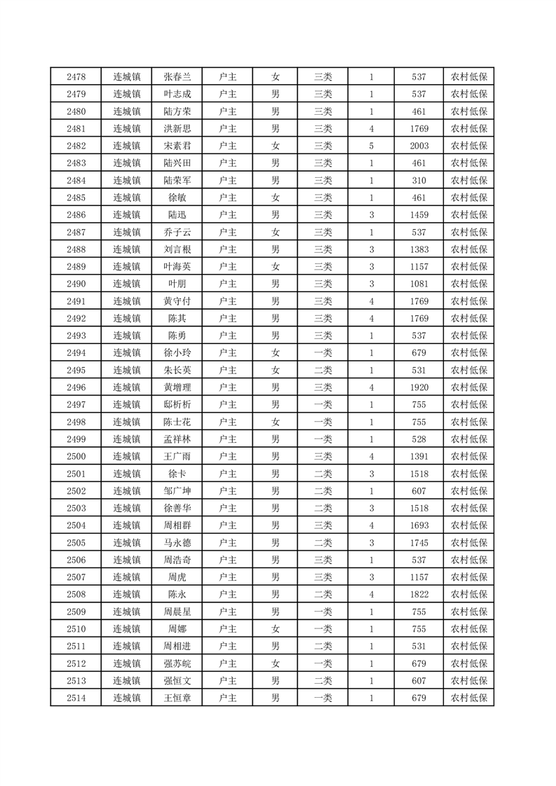
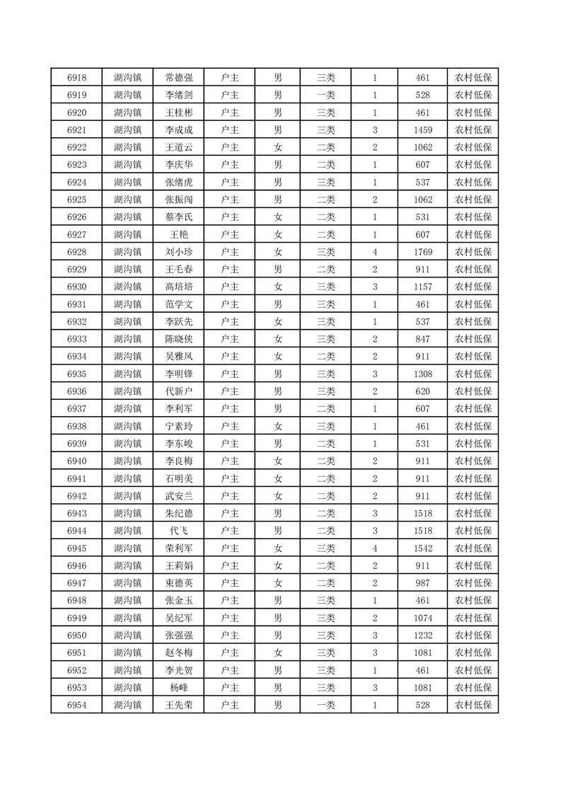
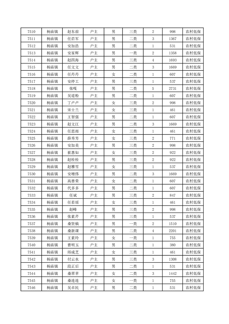
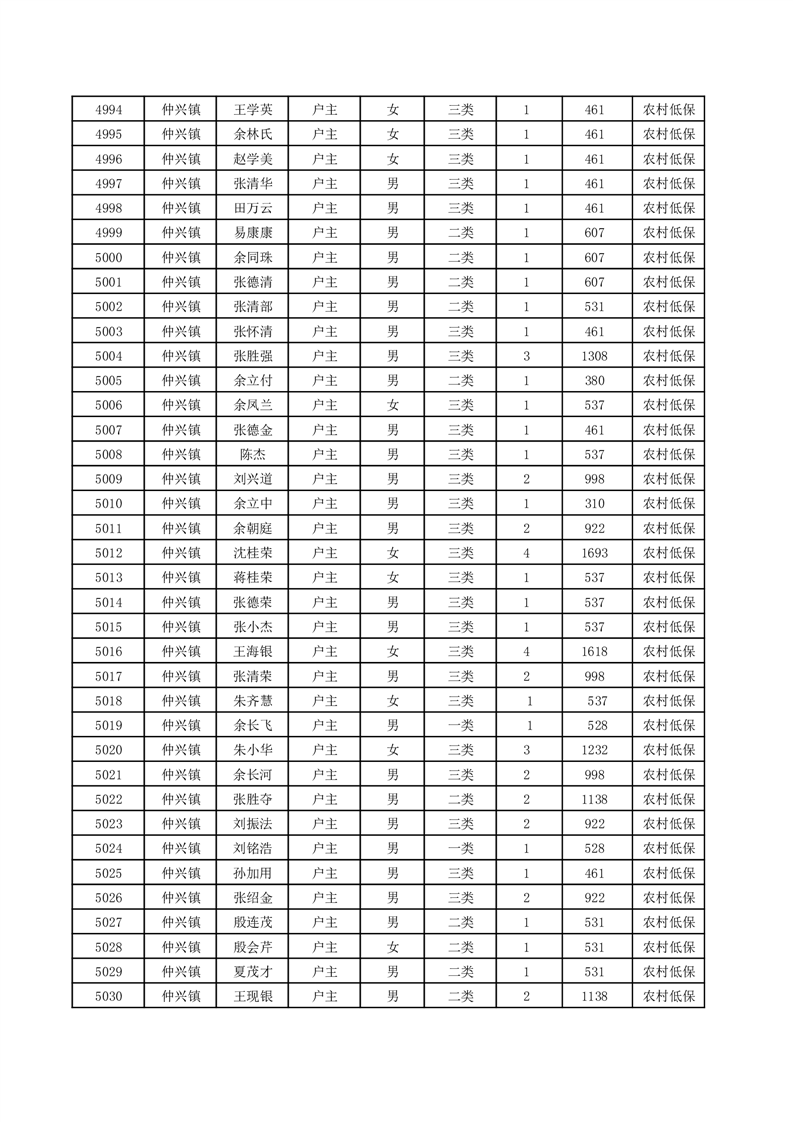
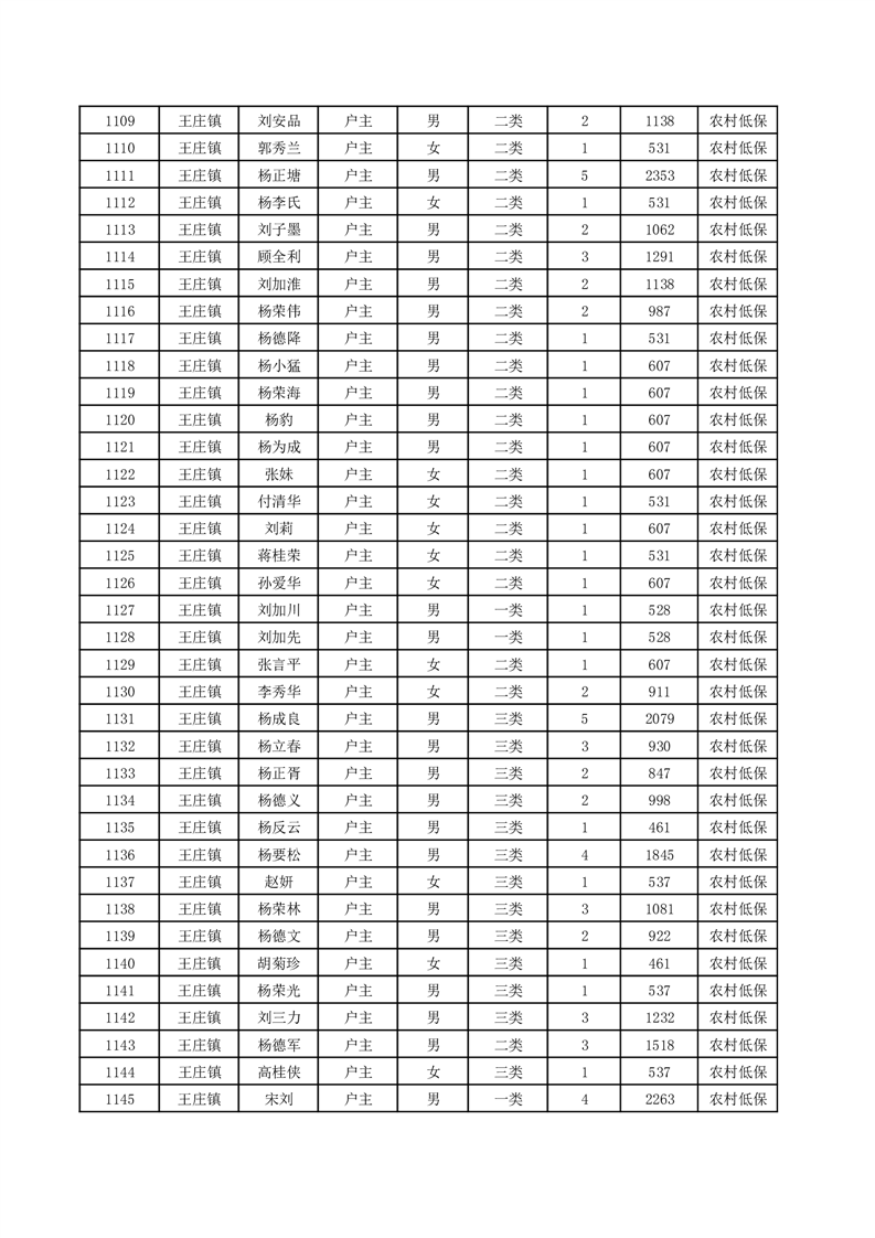
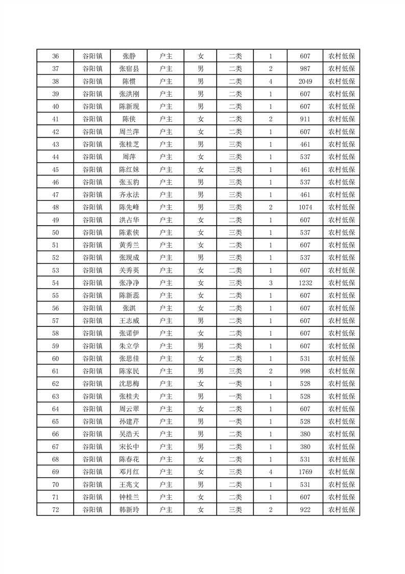
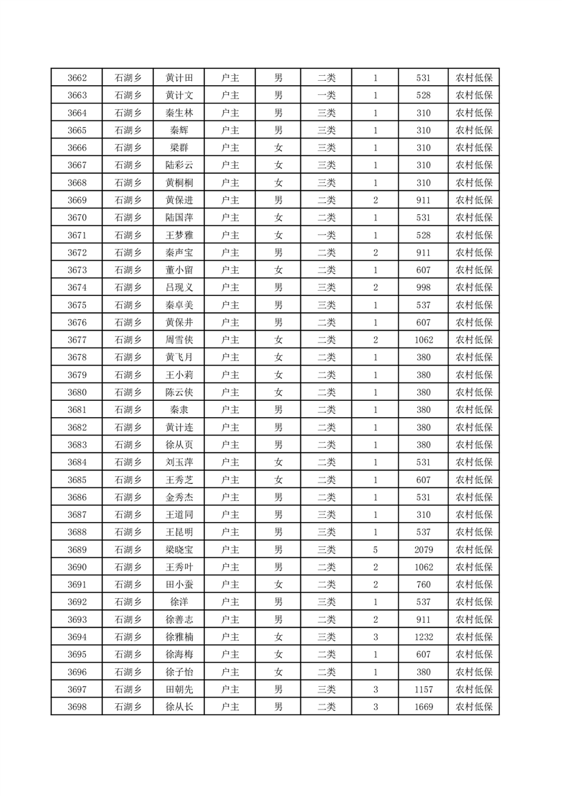
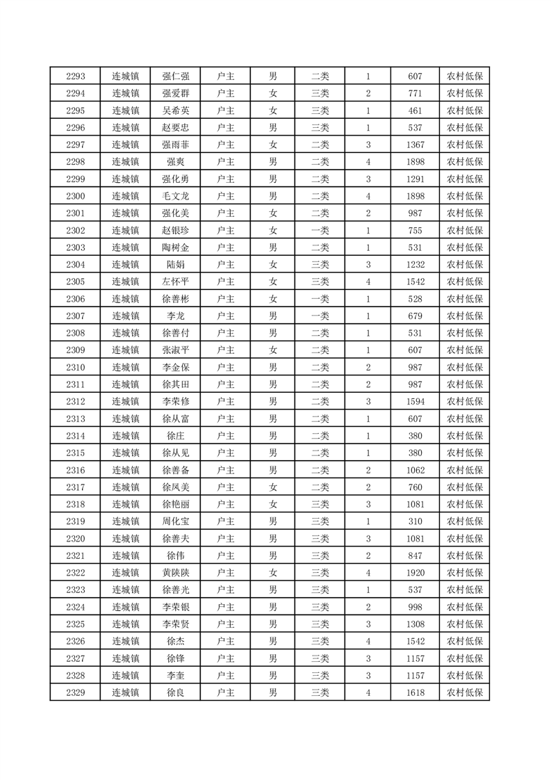
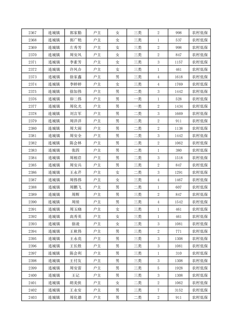
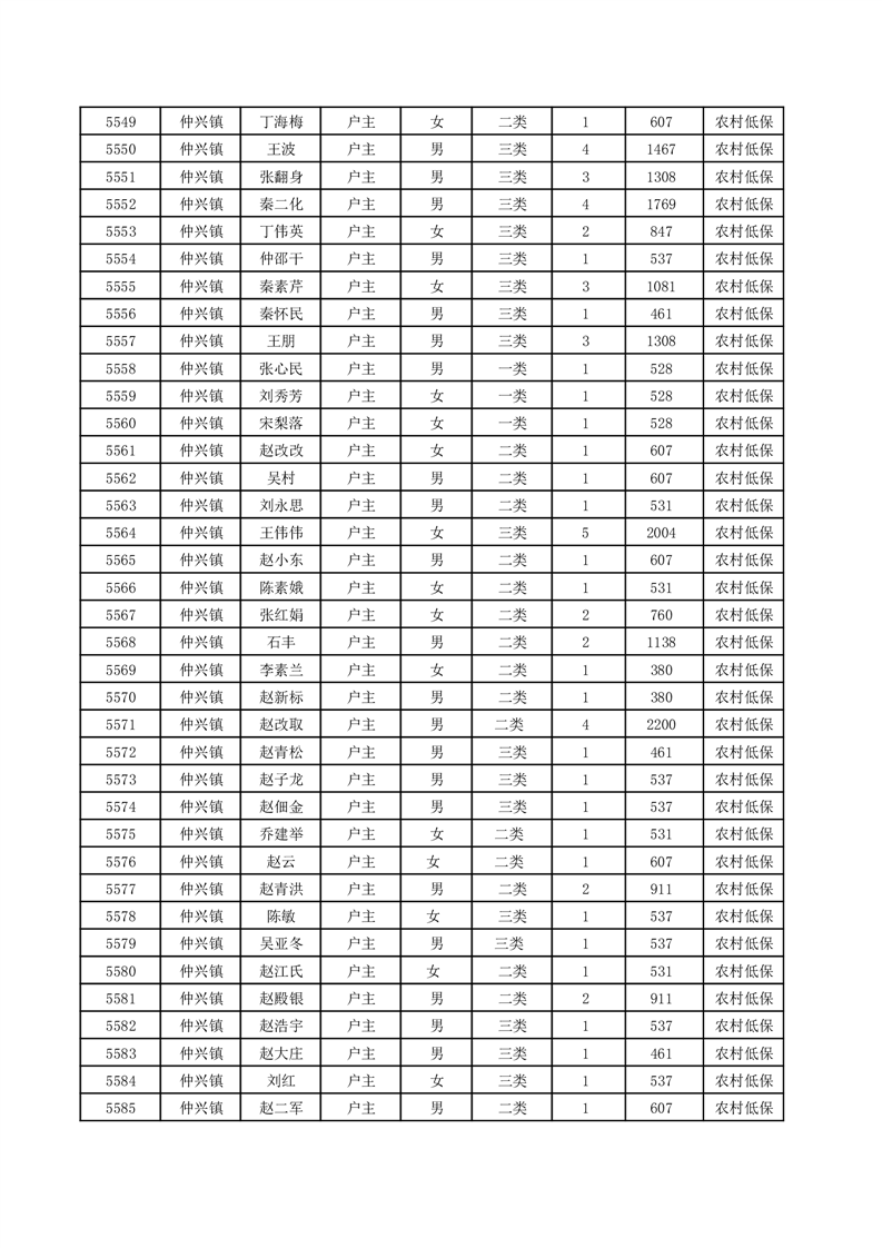
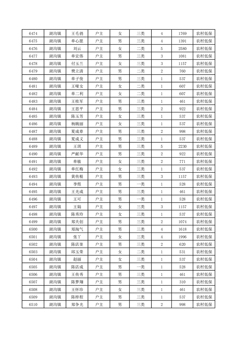
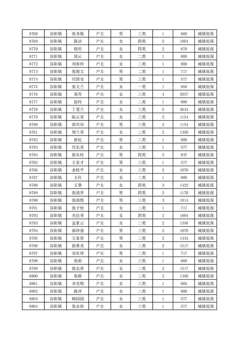
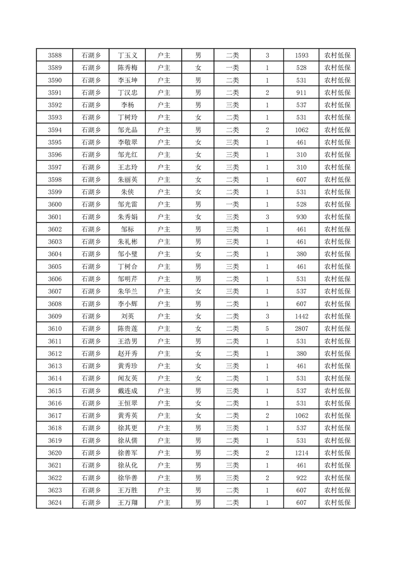
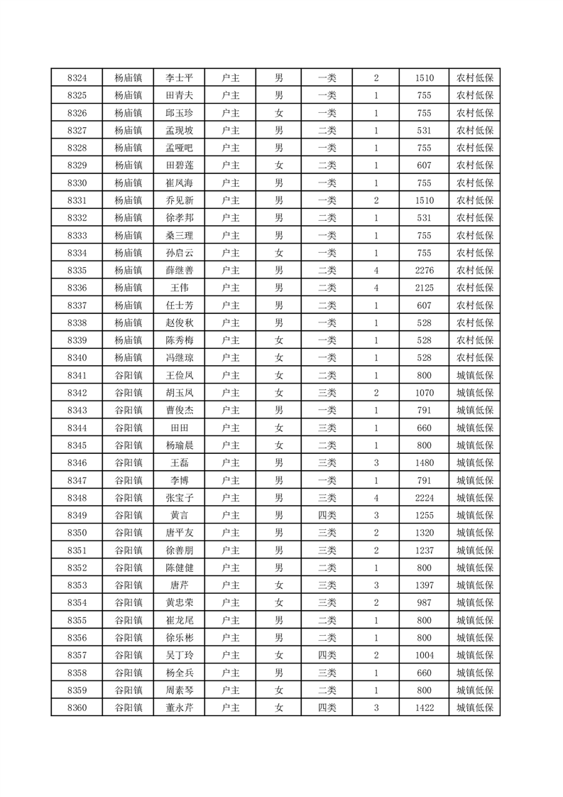
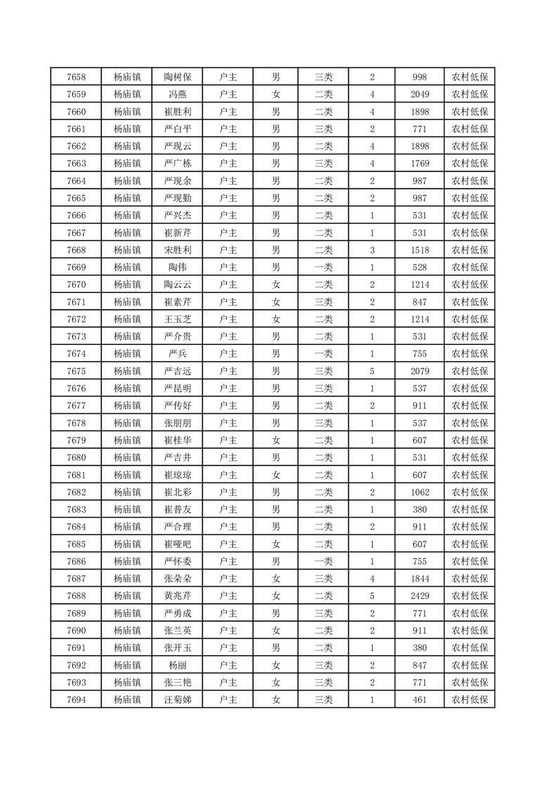
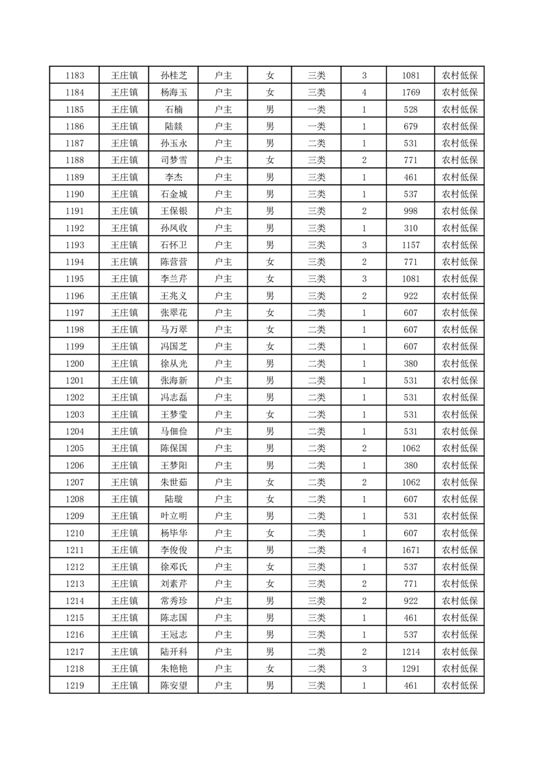
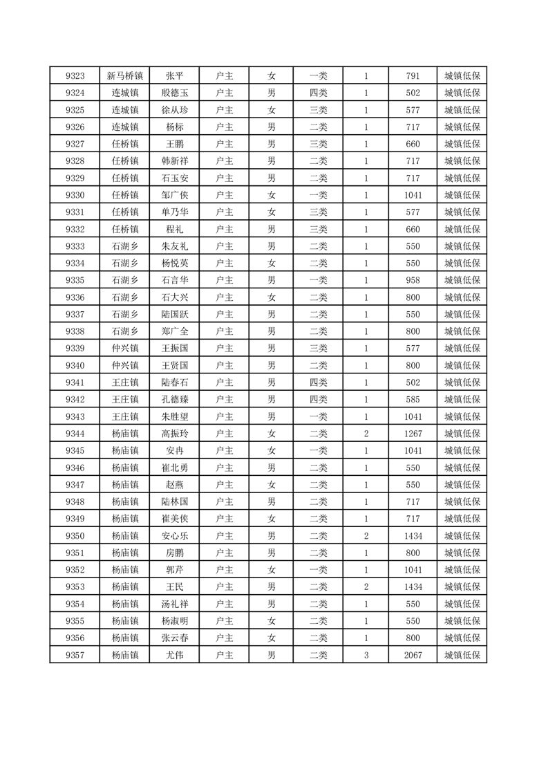
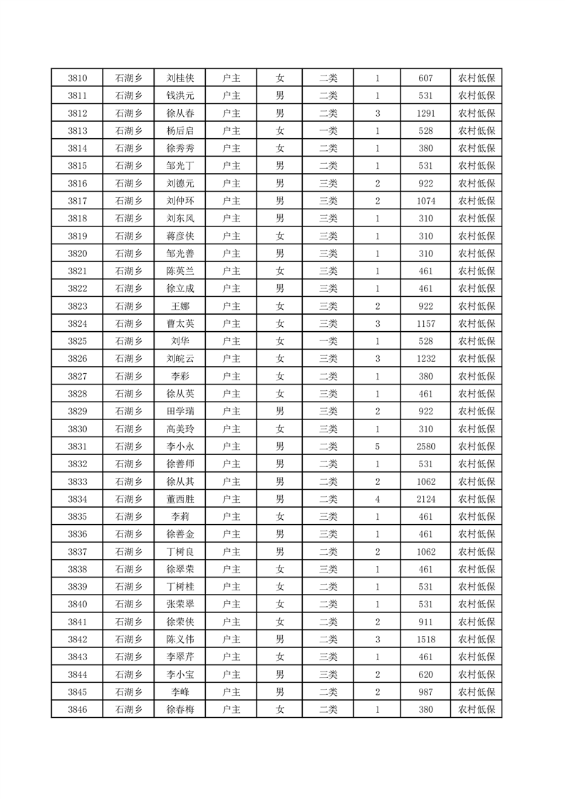
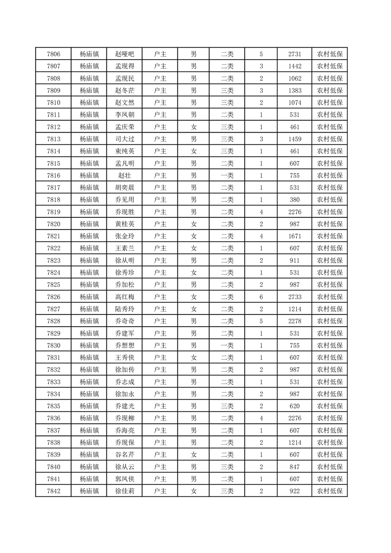
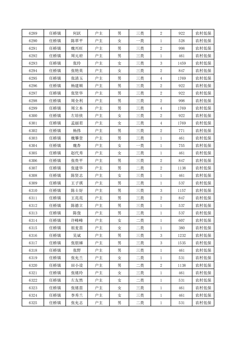
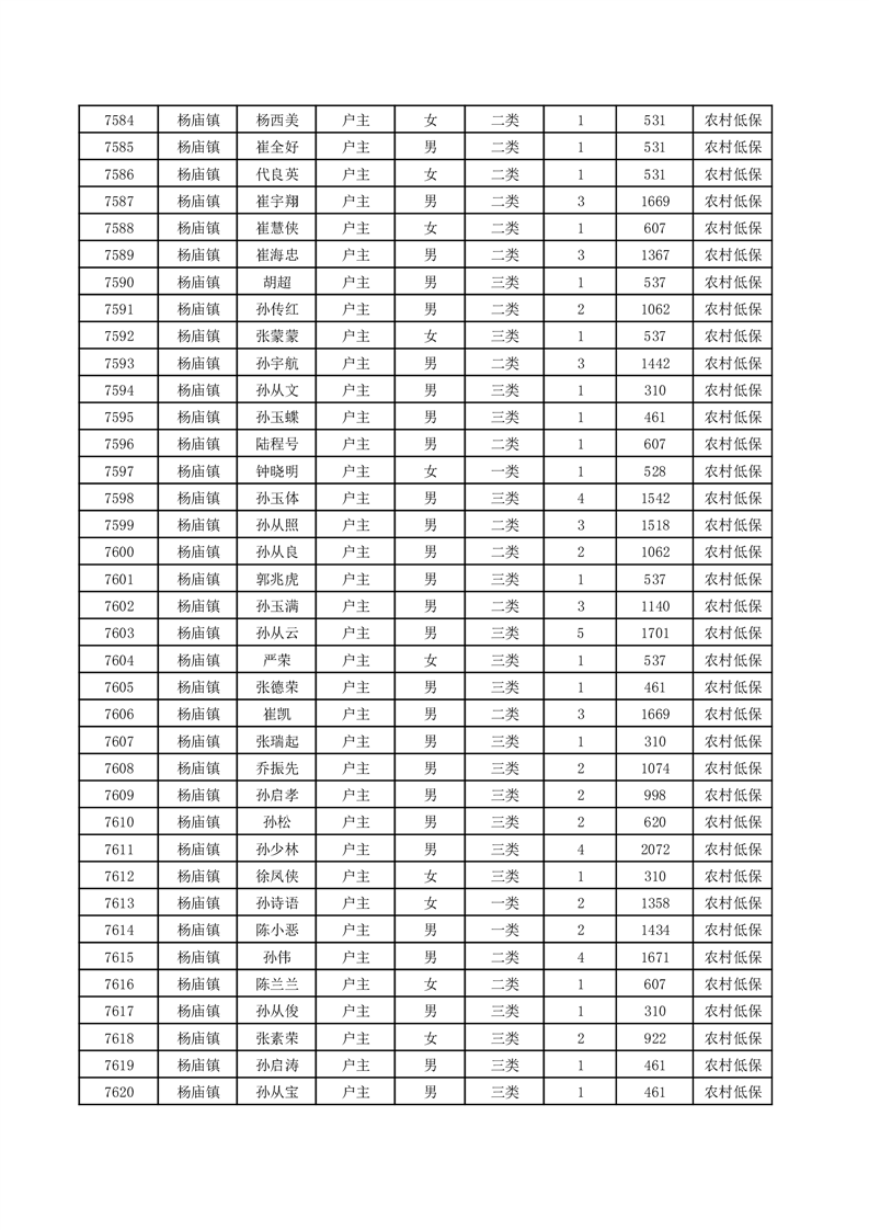
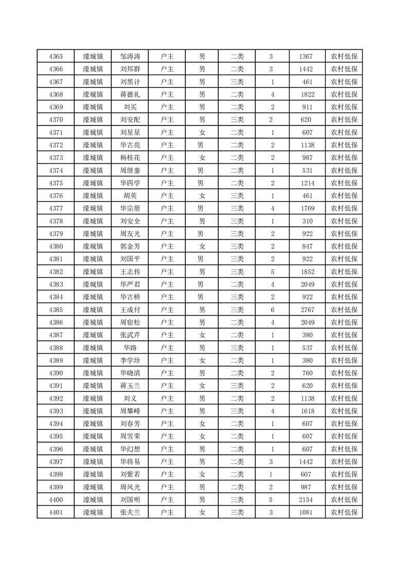
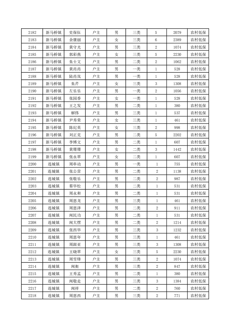
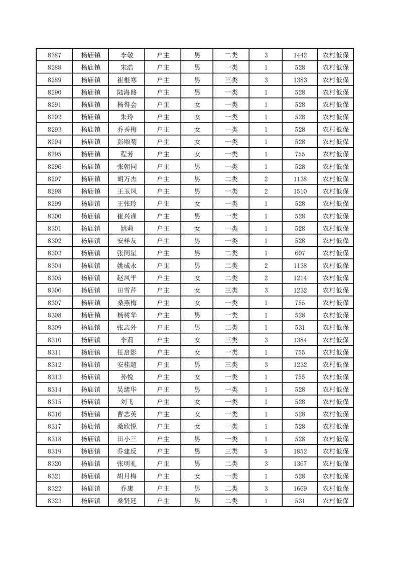
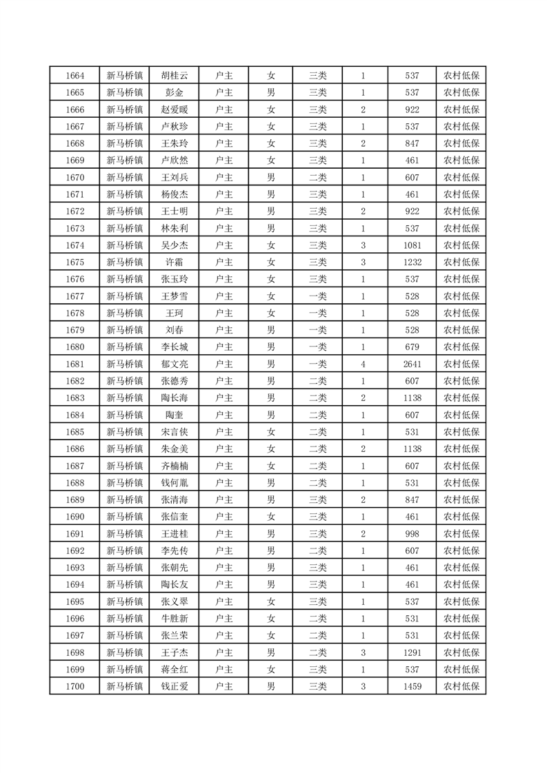
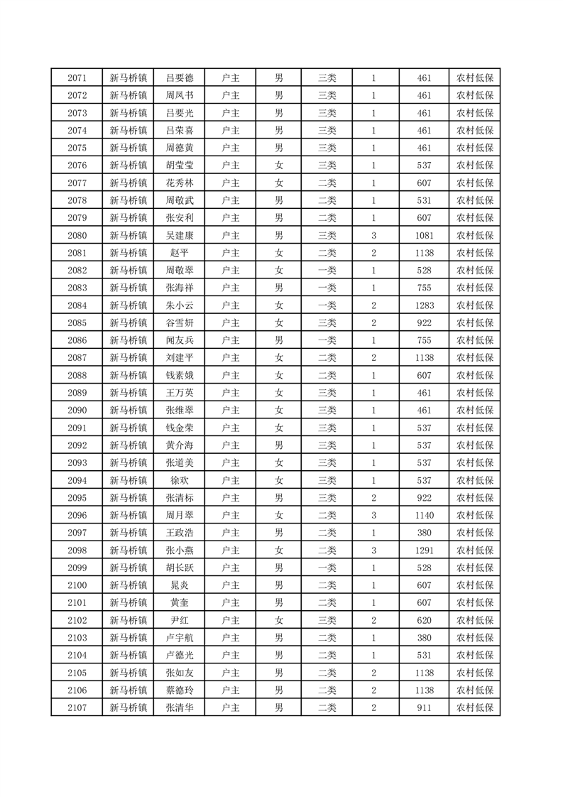
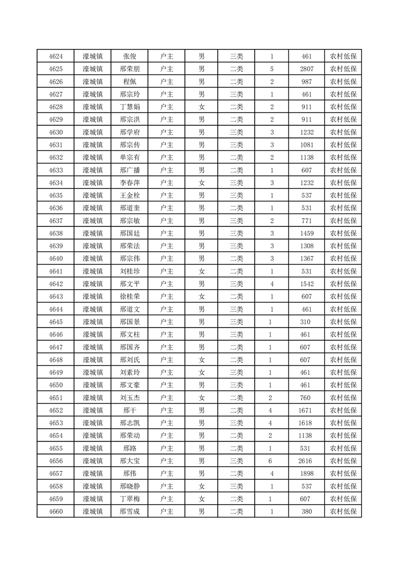
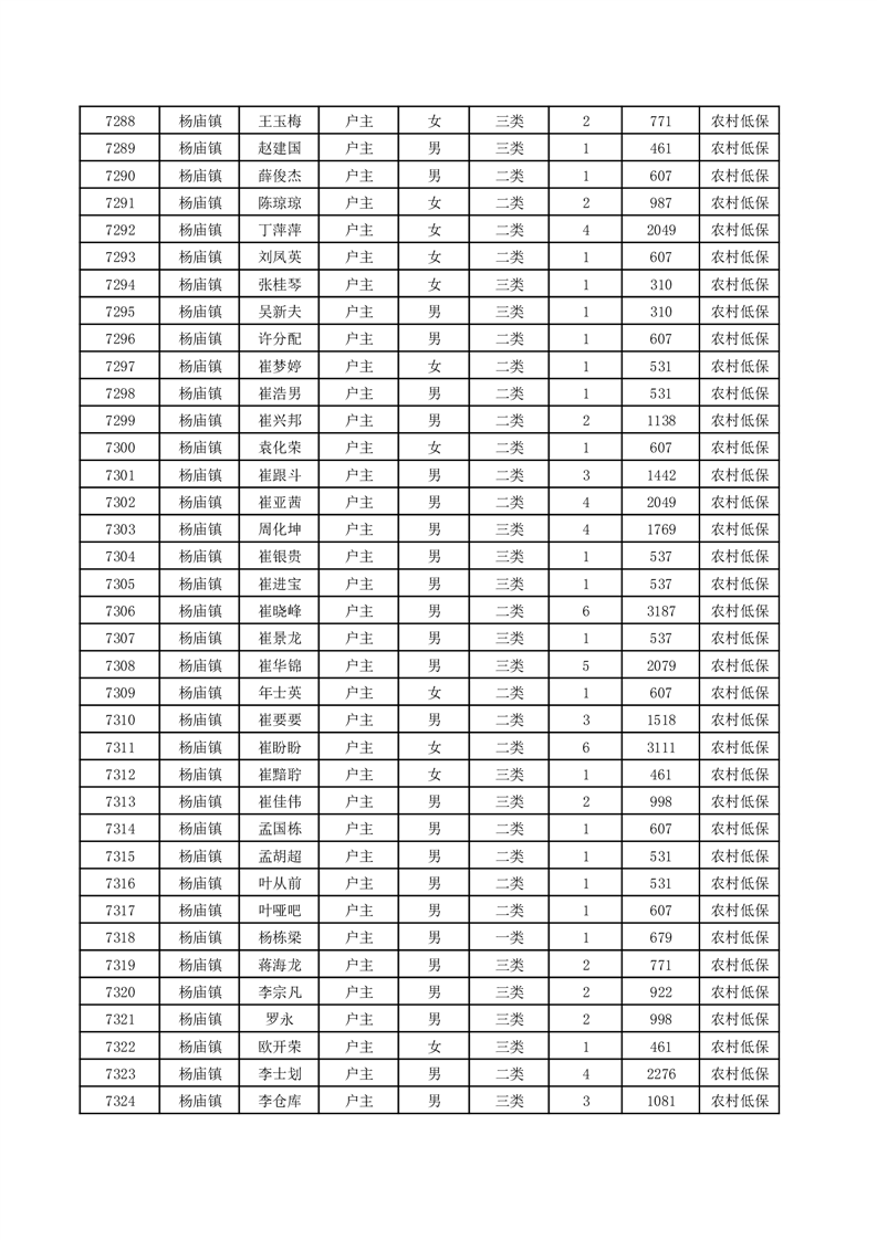
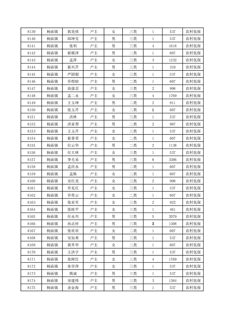
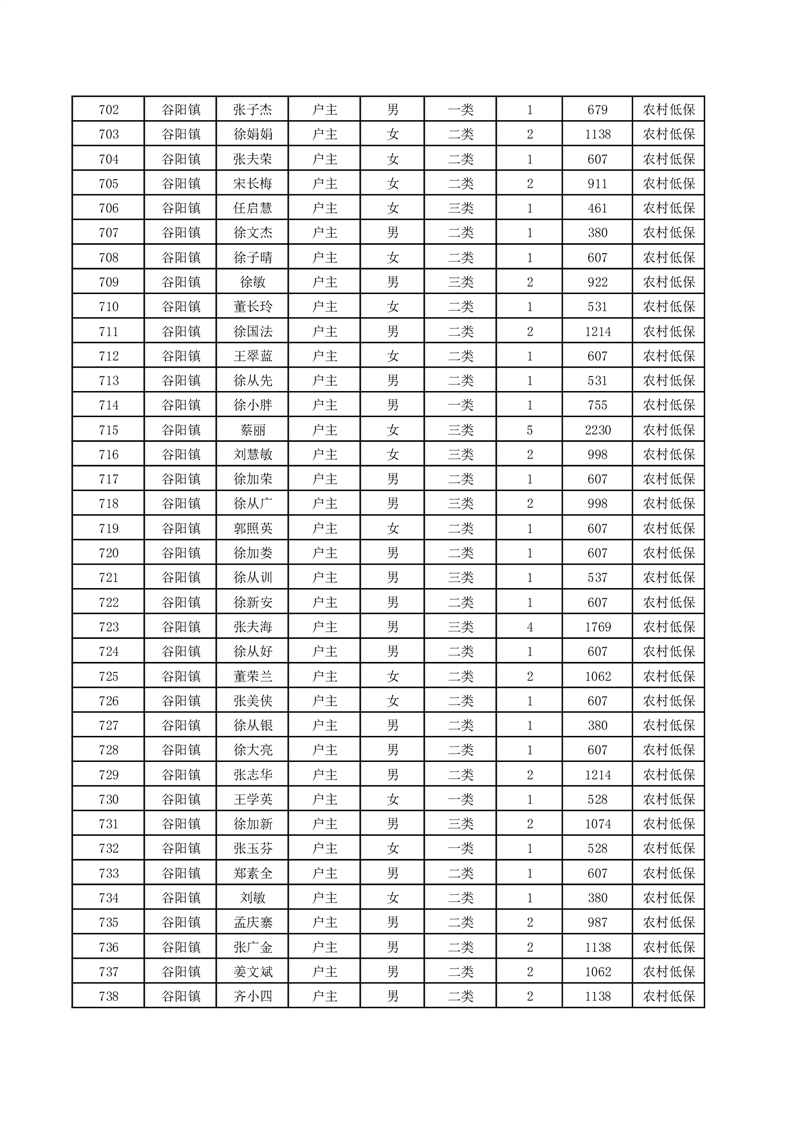
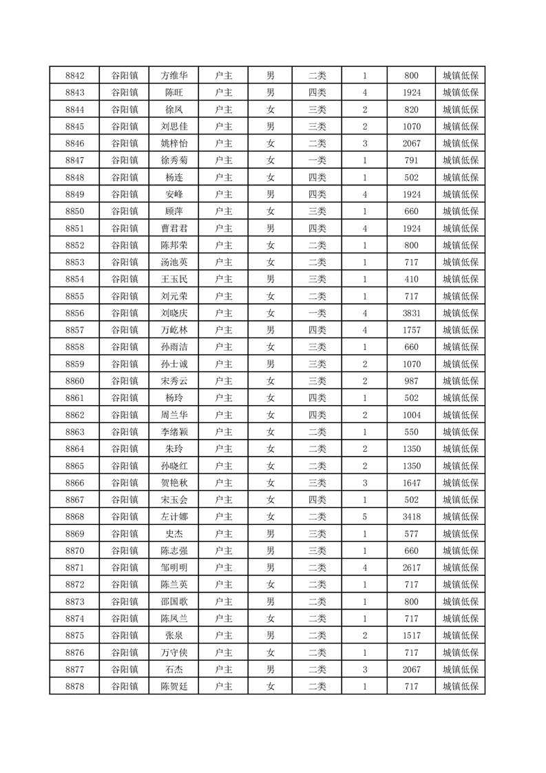
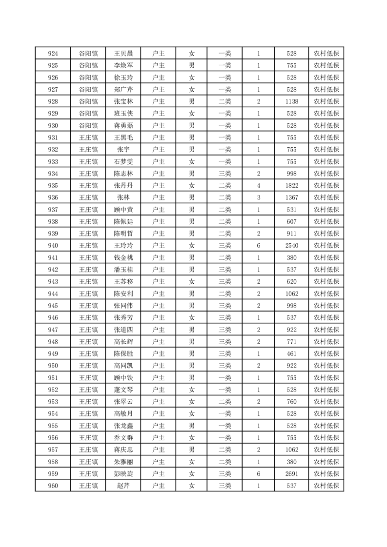
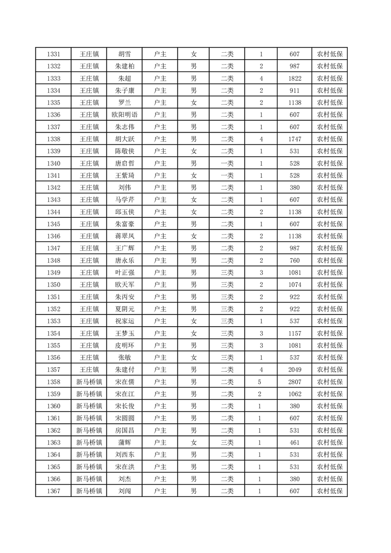
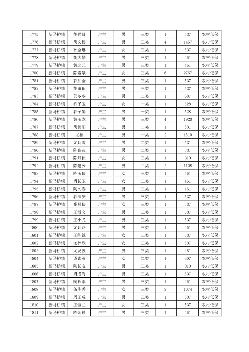
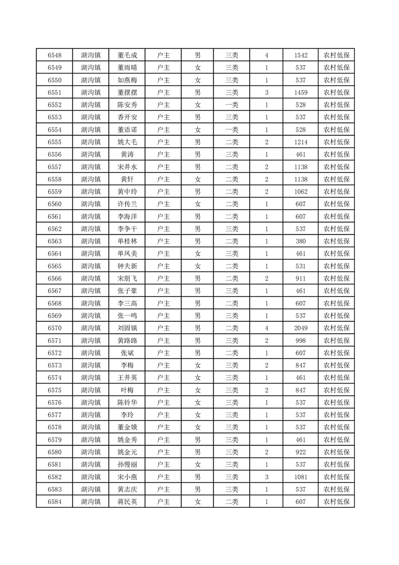
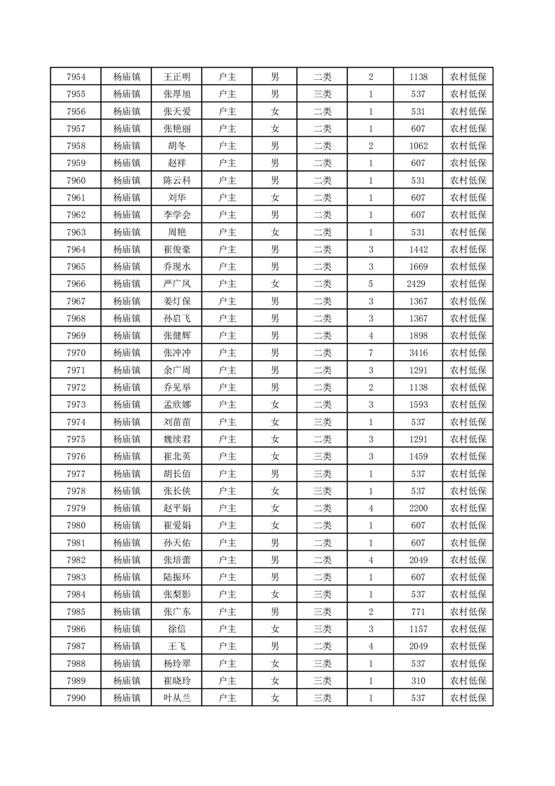
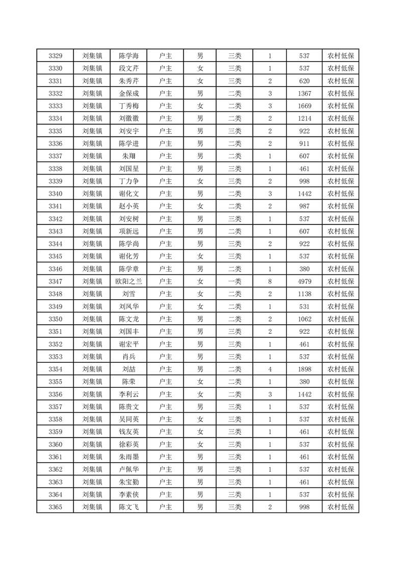
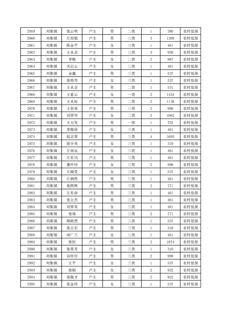
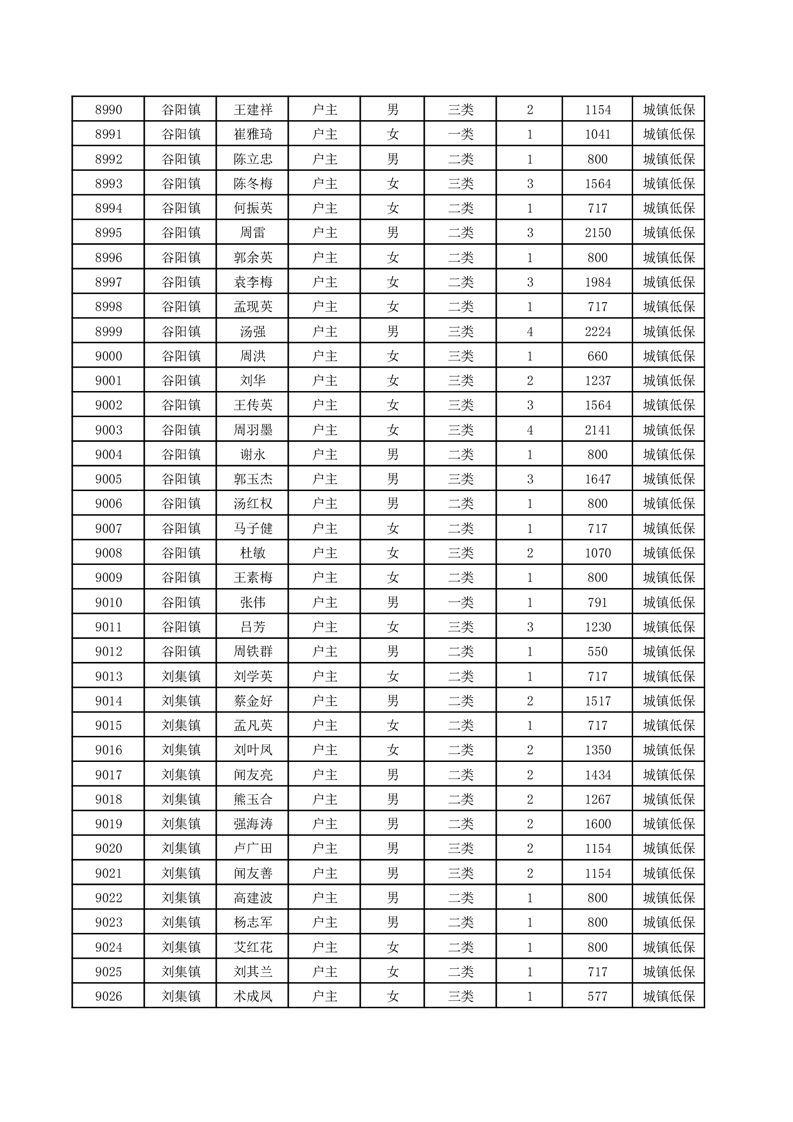
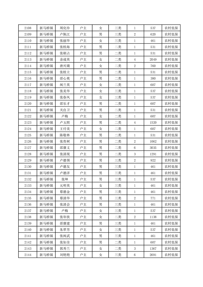
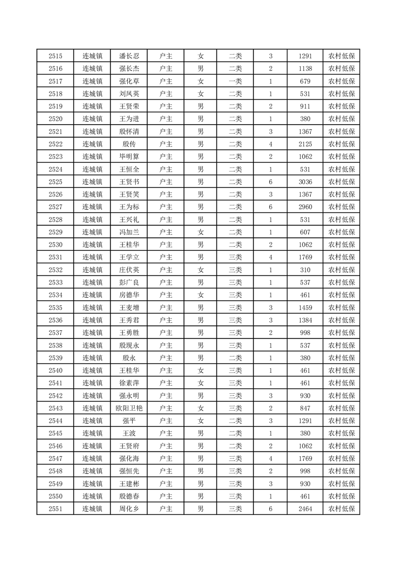
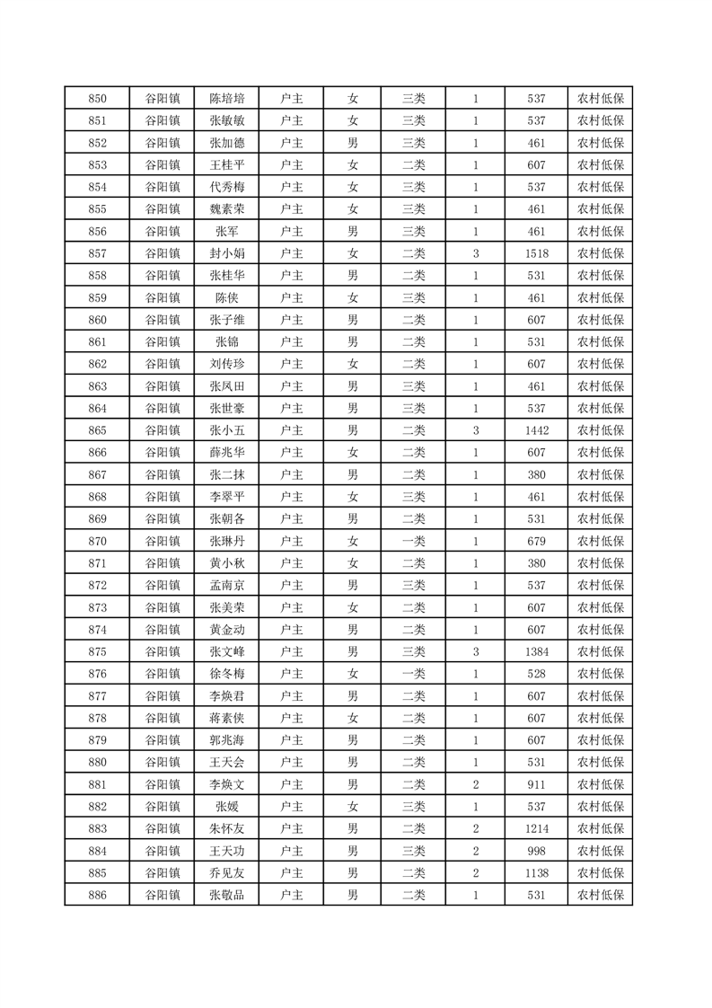
2025年12月城乡低保人员花名册和资金统计 |
| 关键词:
|
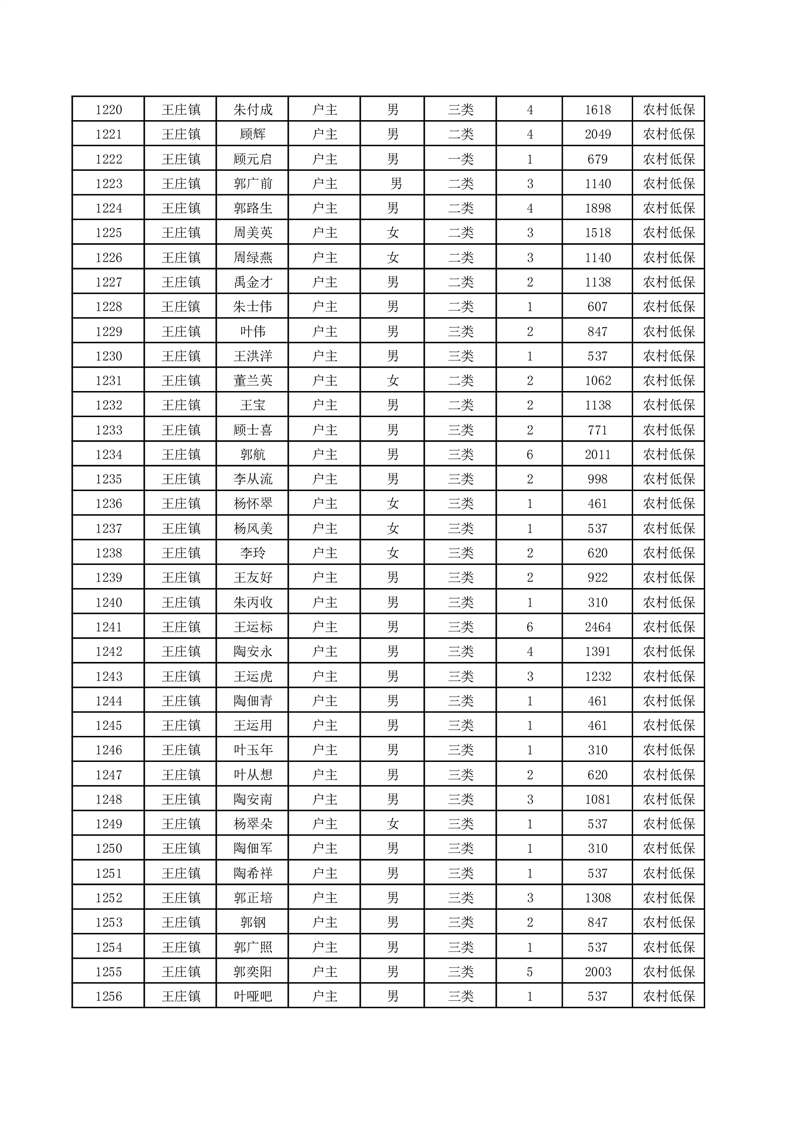
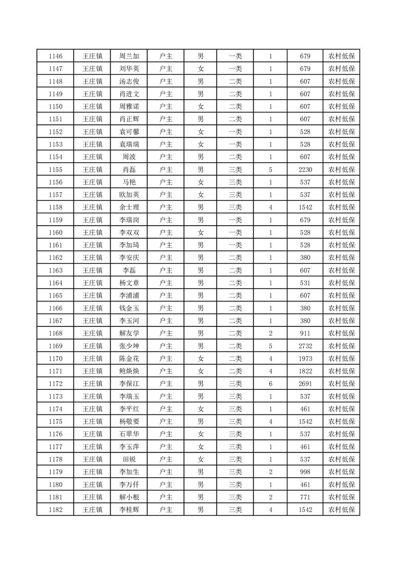
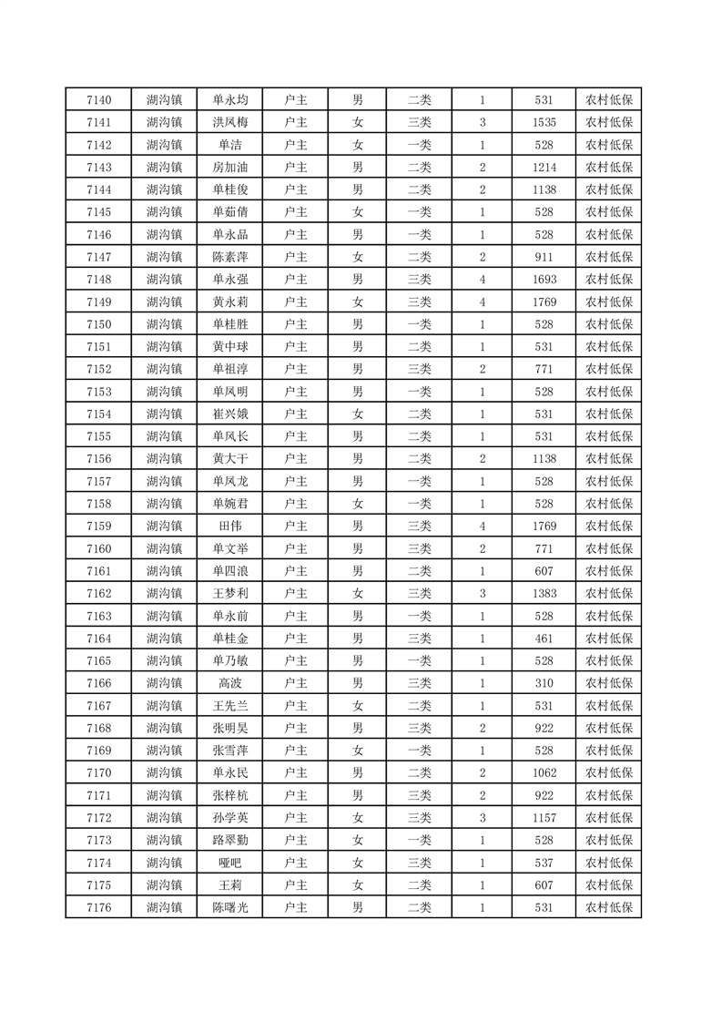
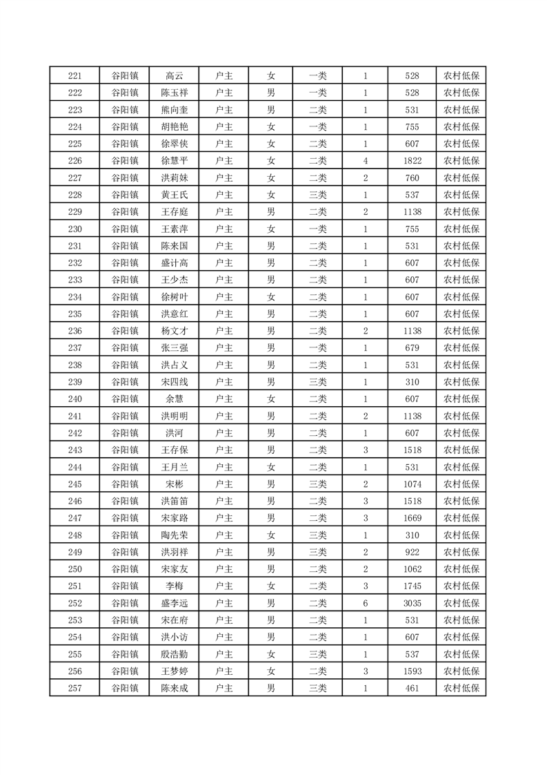
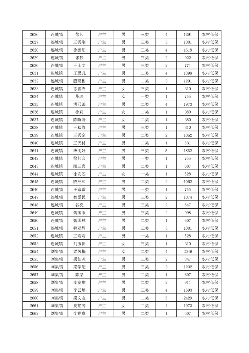
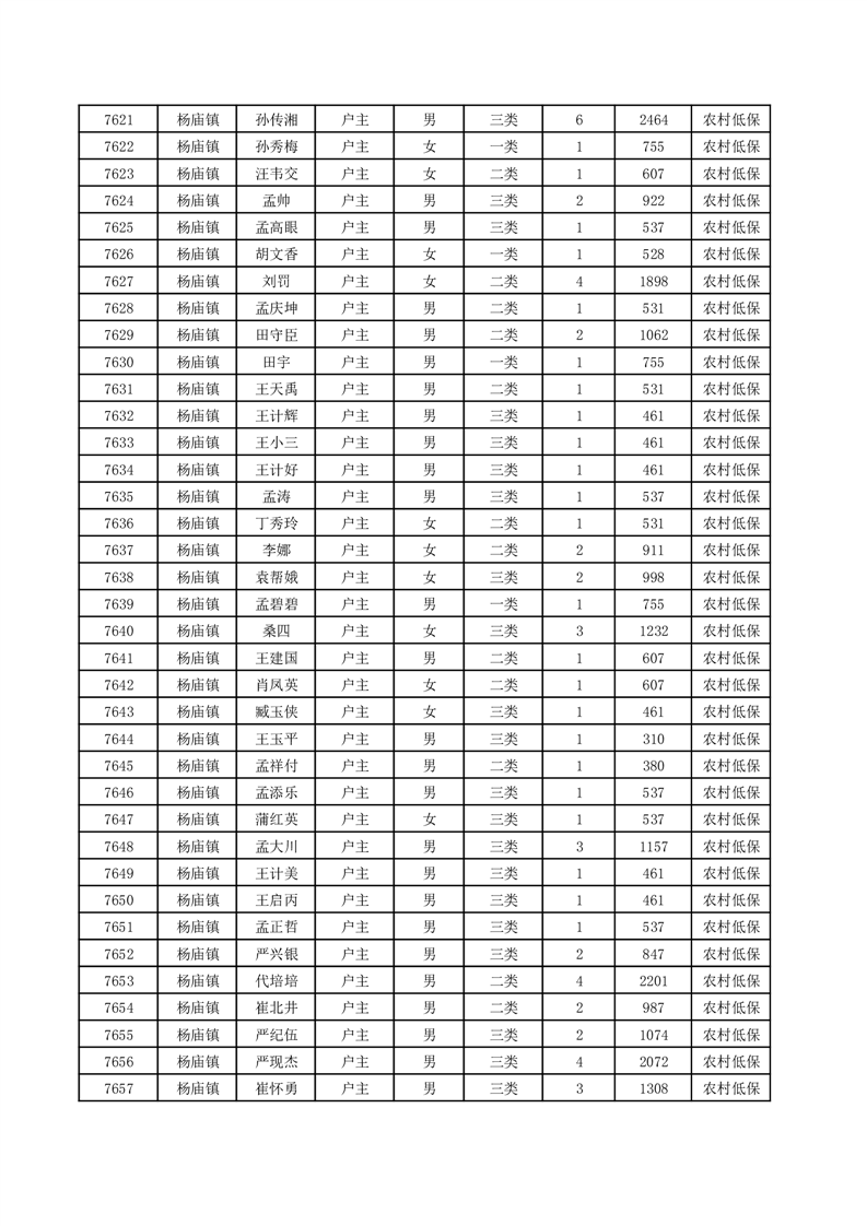
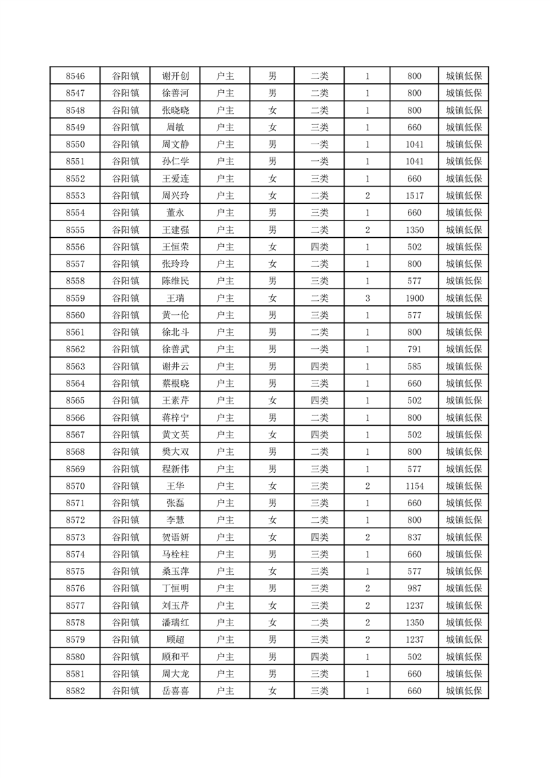
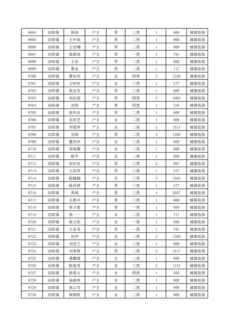
2025年12月城乡低保人员花名册和资金统计 |
| 索引号:
|
003047955/202601-00011 |
| 信息分类: |
城乡低保 |
| 发布机构: |
固镇县民政局 |
| 发布日期: |
2026-01-19 10:56 |
| 名 称: |
2025年12月城乡低保人员花名册和资金统计 |
| 有效性:
|
有效 |
| 成文日期: |
2026-01-19 |
| 文 号: |
|
| 关键词:
|
2025年12月城乡低保人员花名册和资金统计 |
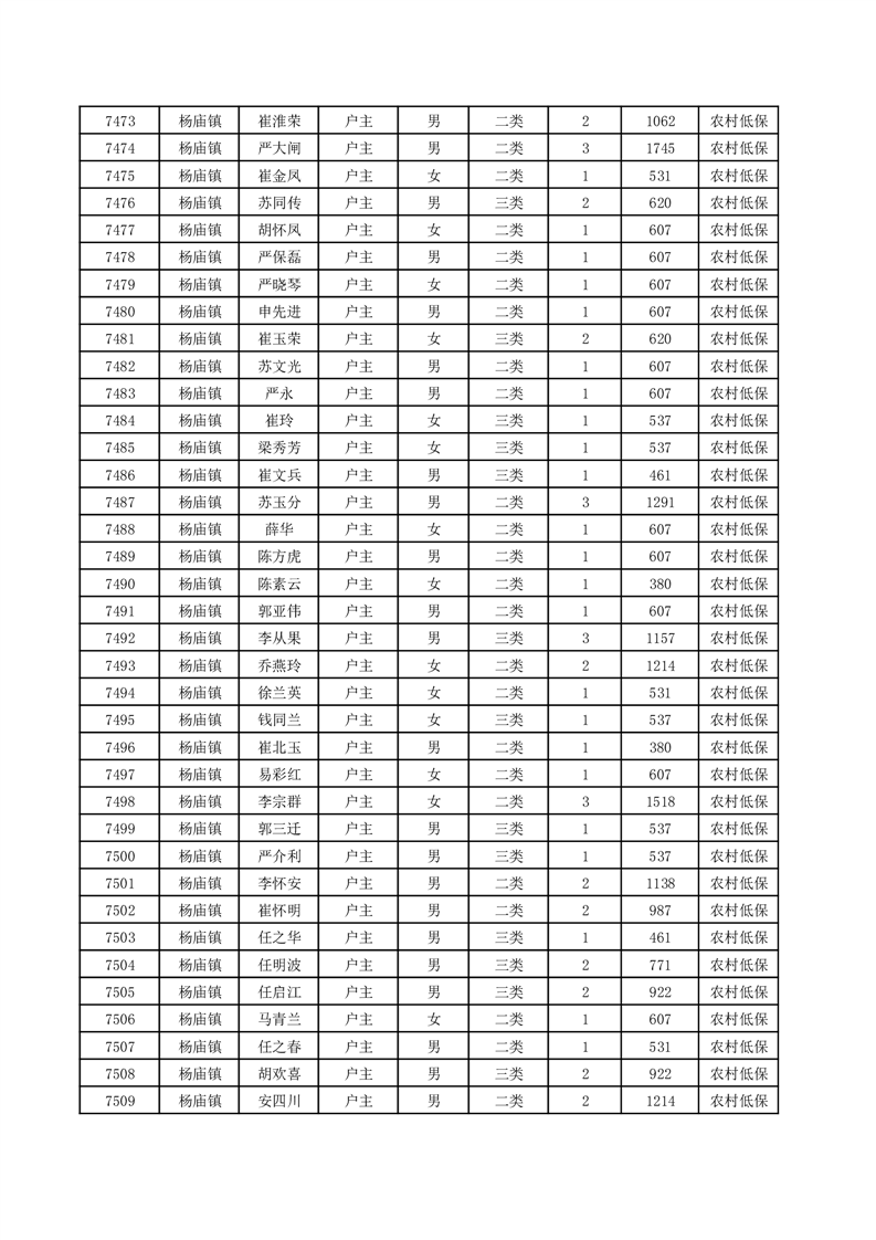
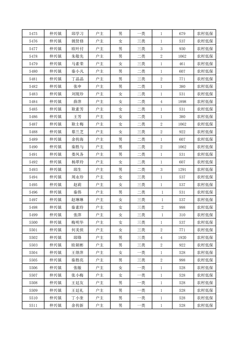
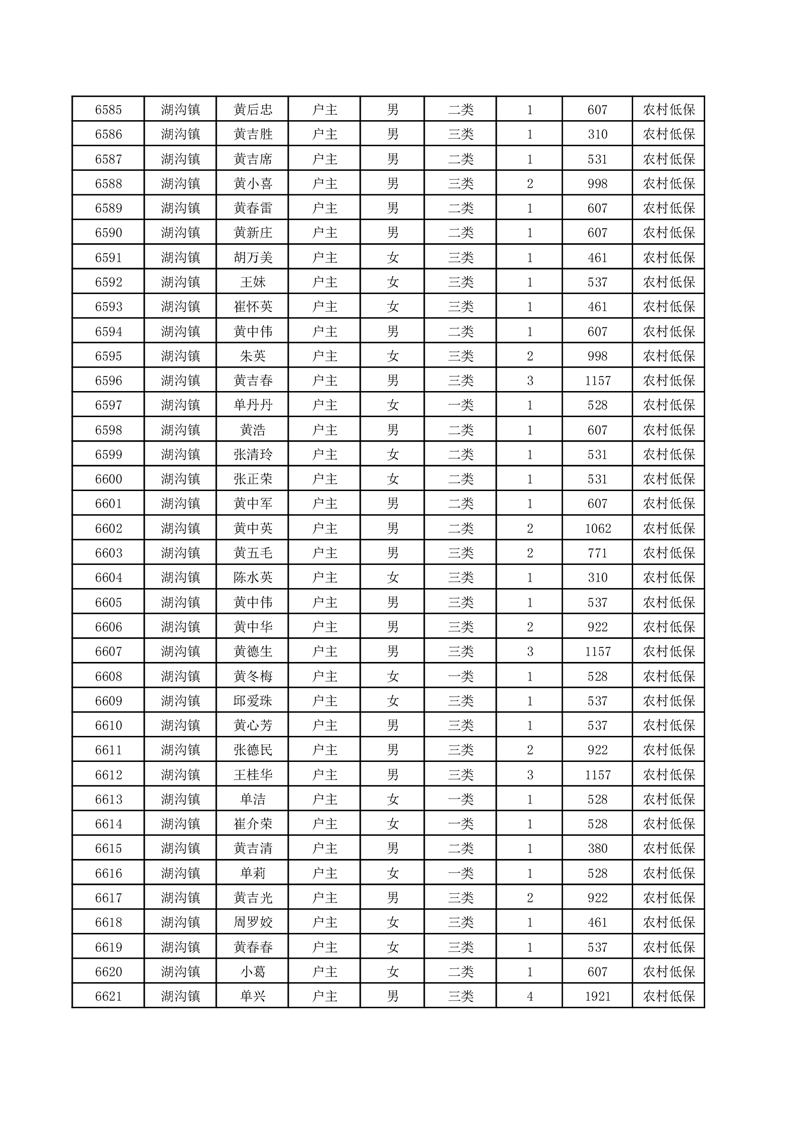
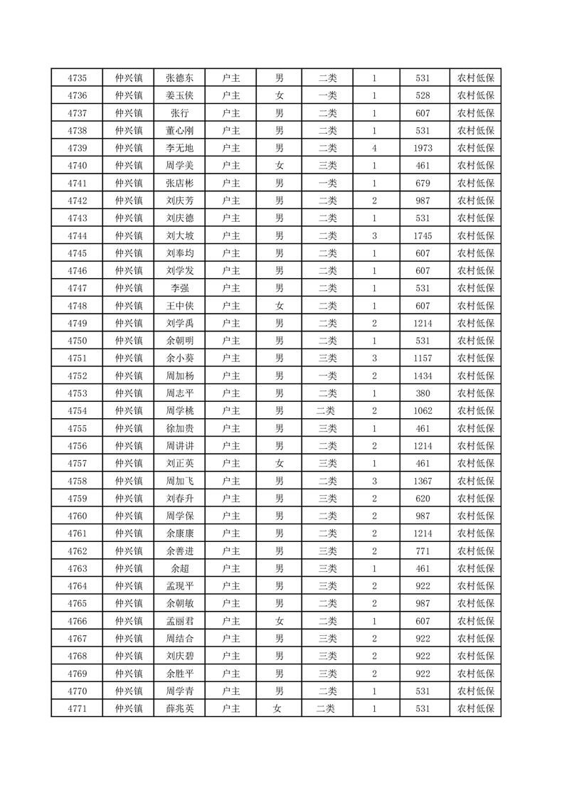
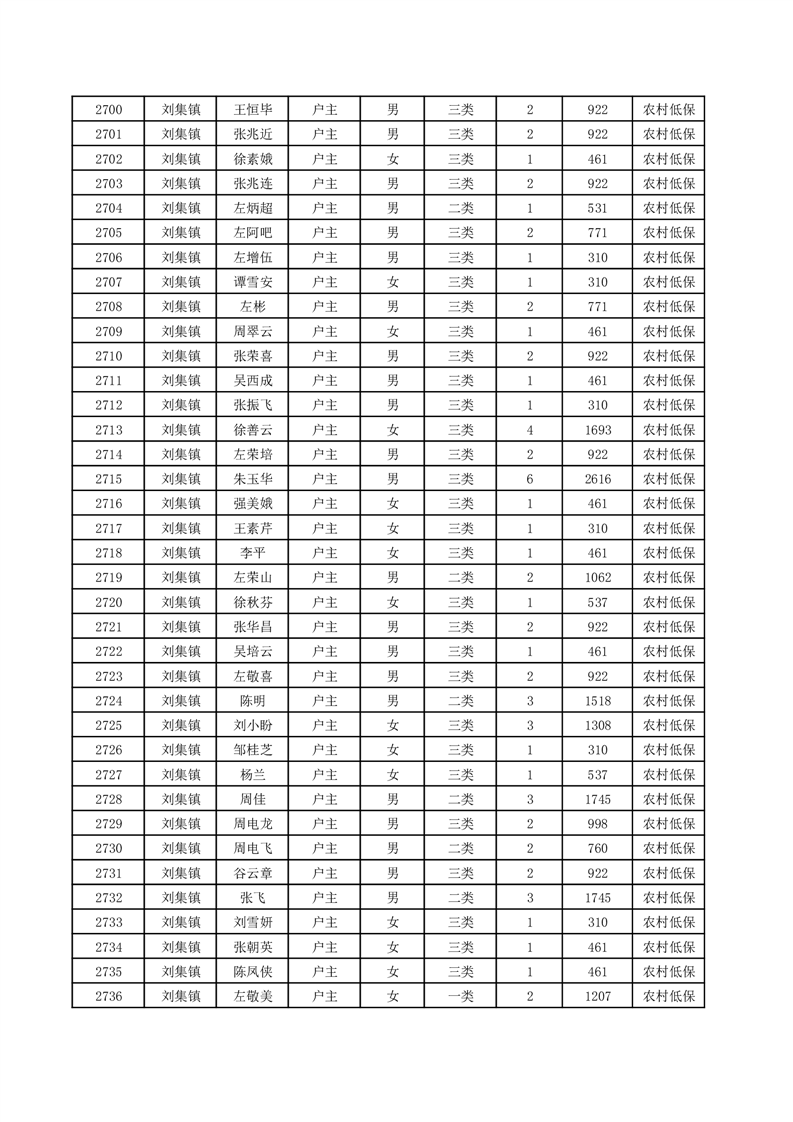
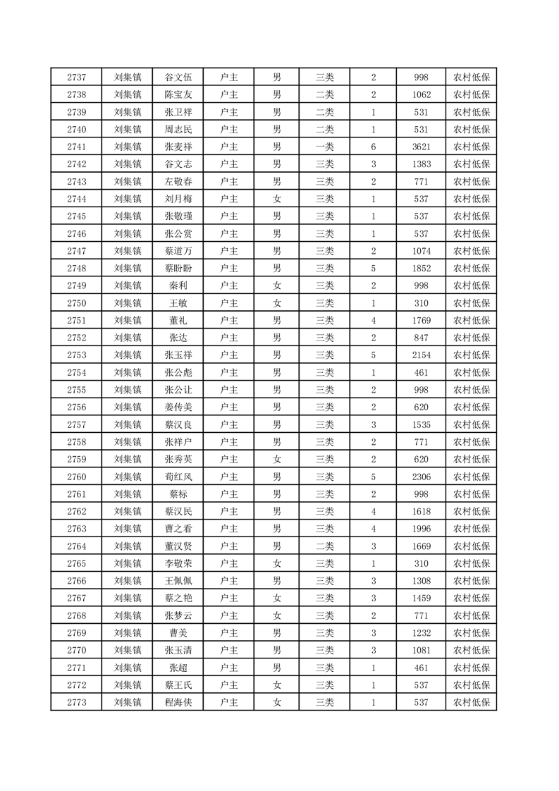
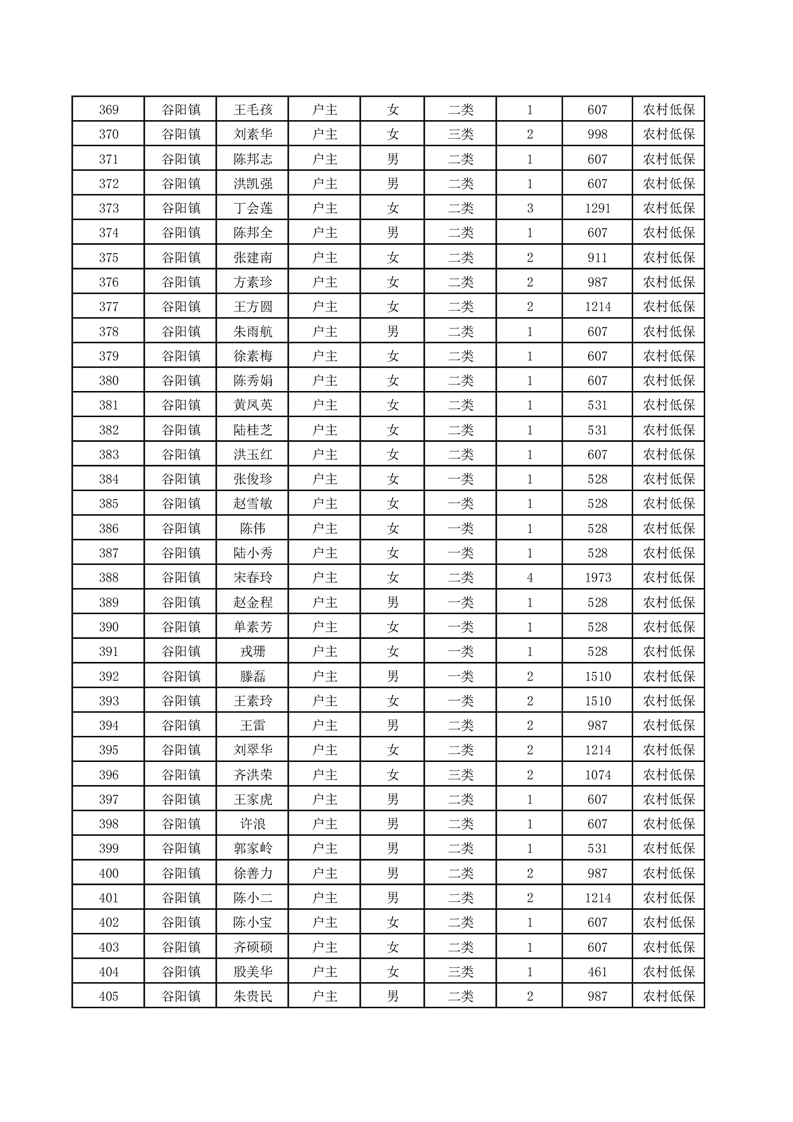
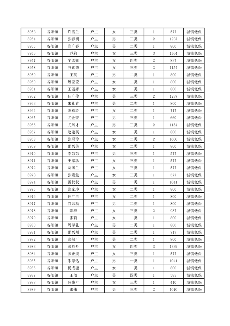
2025年12月城乡低保人员花名册和资金统计
发布时间:2026-01-19 10:56
来源: 固镇县民政局
浏览量:
【字号:大 中 小】
打印
-
政务微信
-
扫码关注
固镇县门户·微信
-
政务微博
-
扫码关注
固镇县门户·微博
-