| 索引号: |
003047955/202602-00083 |
信息分类: |
民政、扶贫、救灾,其他,其他 |
| 内容分类: |
审批信息 |
发布日期: |
2026-02-25 09:17 |
| 发布机构: |
固镇县民政局 |
成文日期: |
2026-02-25 |
| 来源单位: |
固镇县民政局 |
有效性: |
有效 |
| 名 称: |
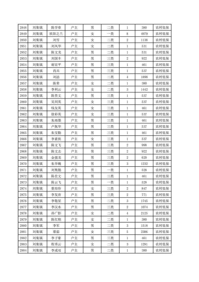
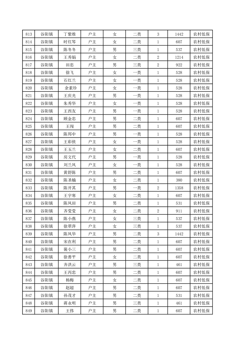
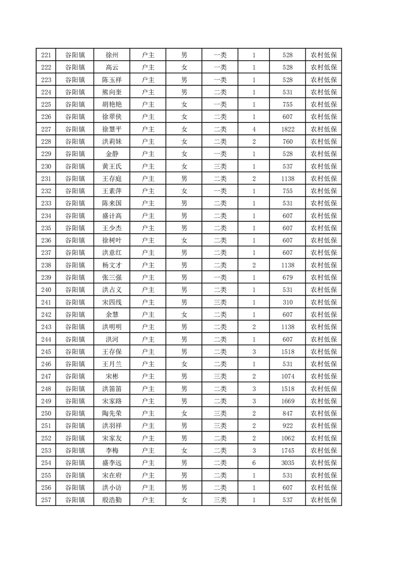
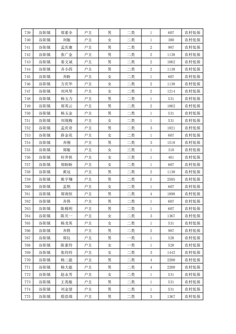
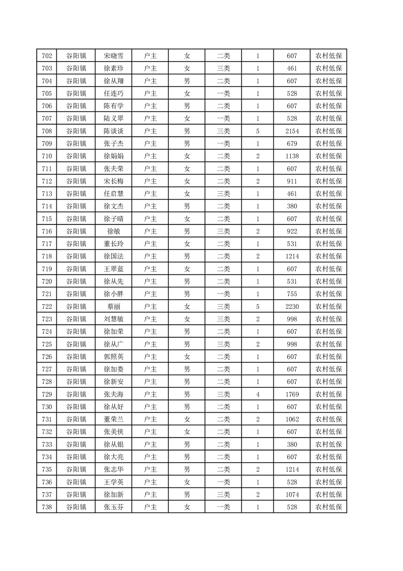
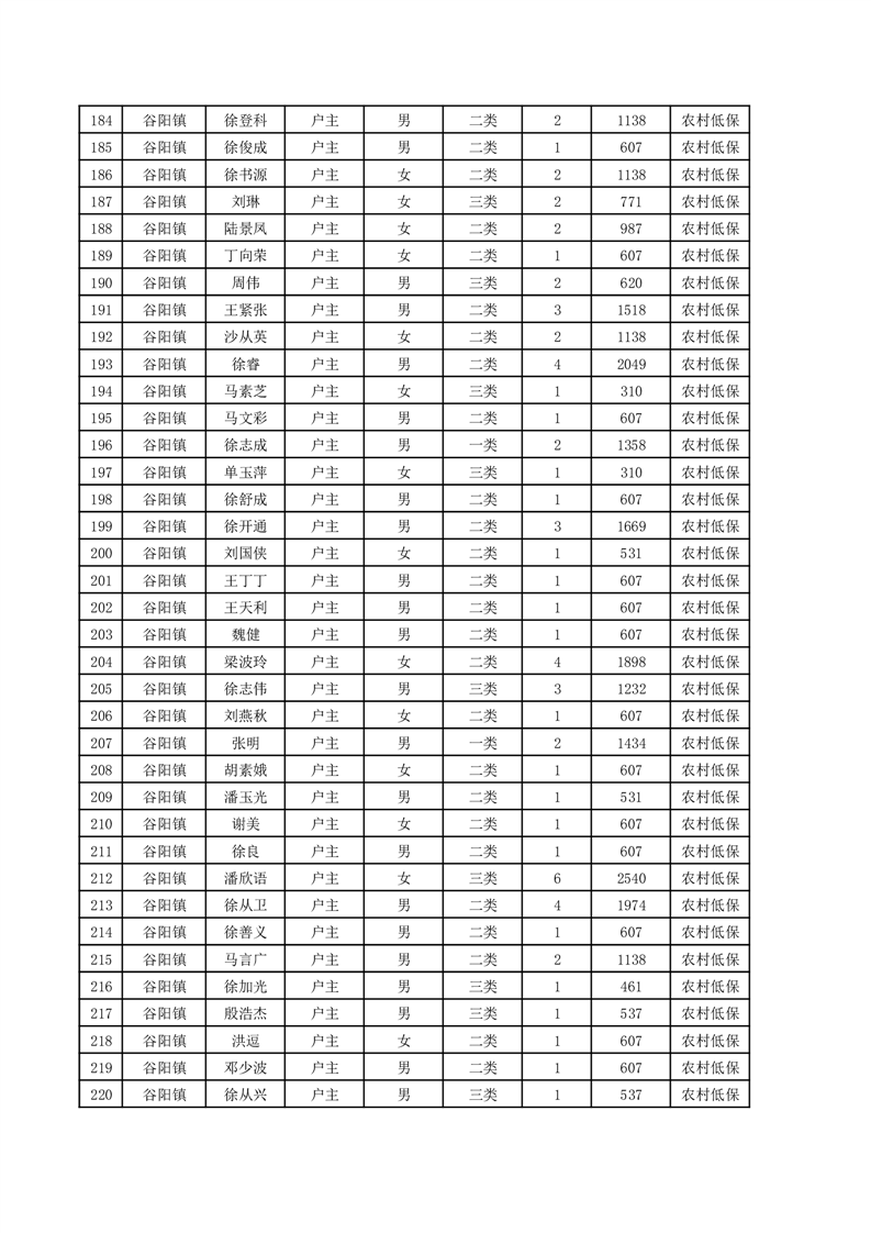
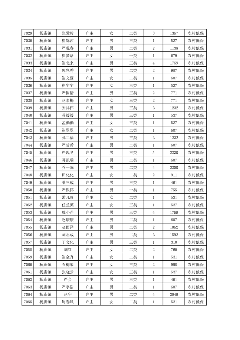
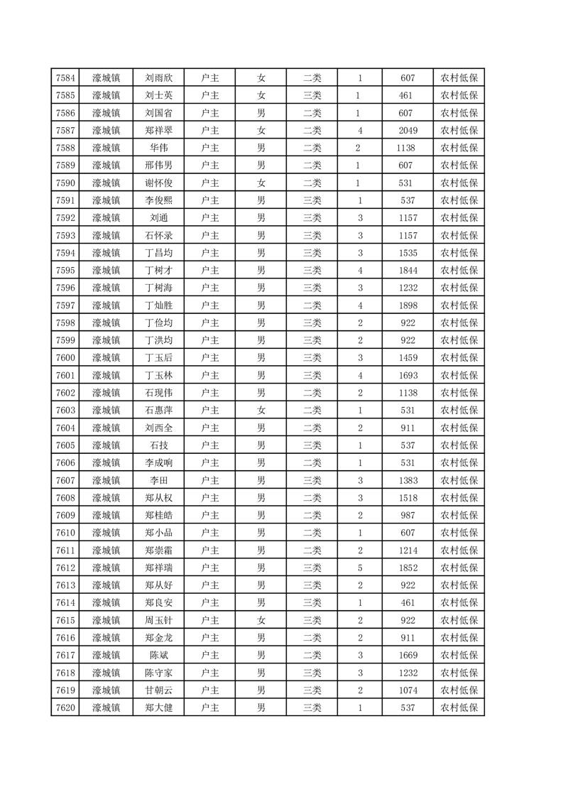
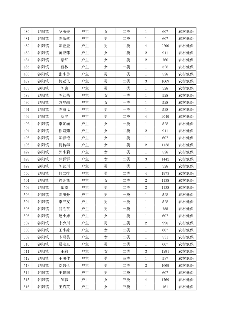
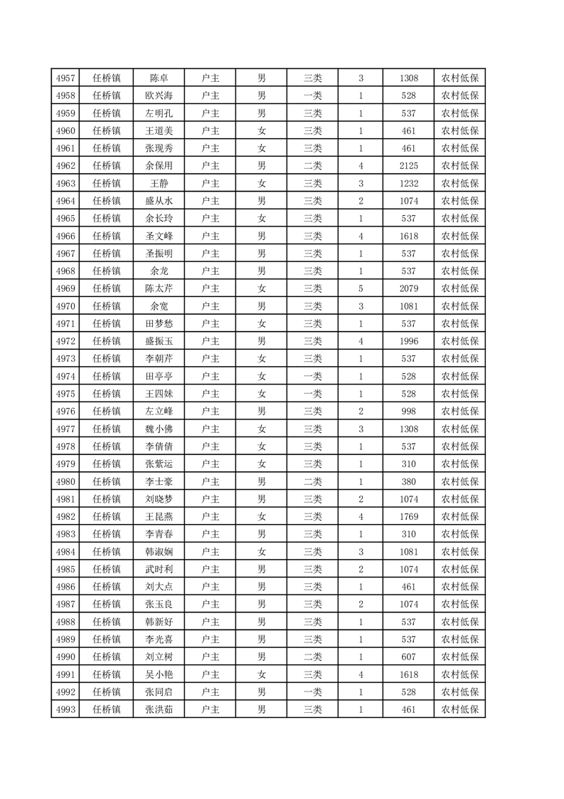
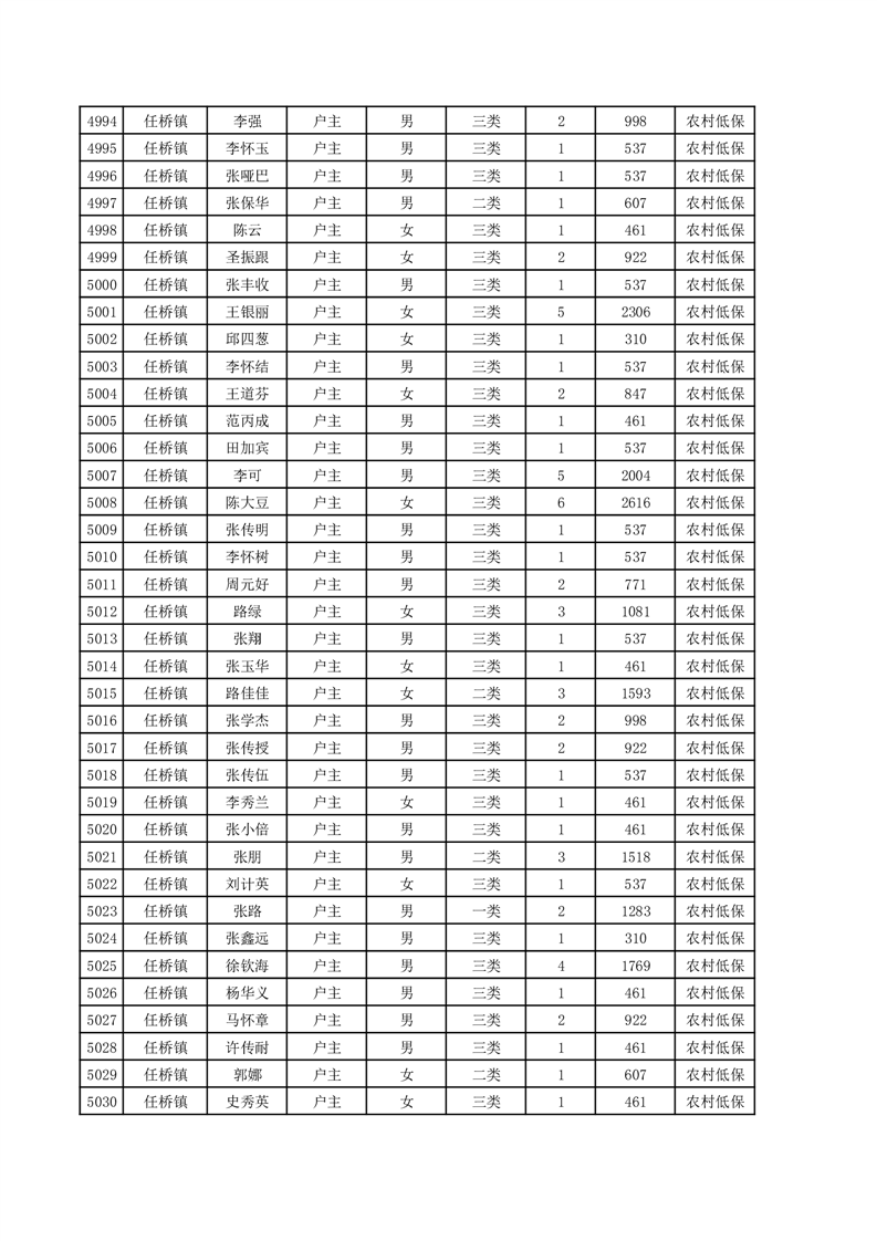
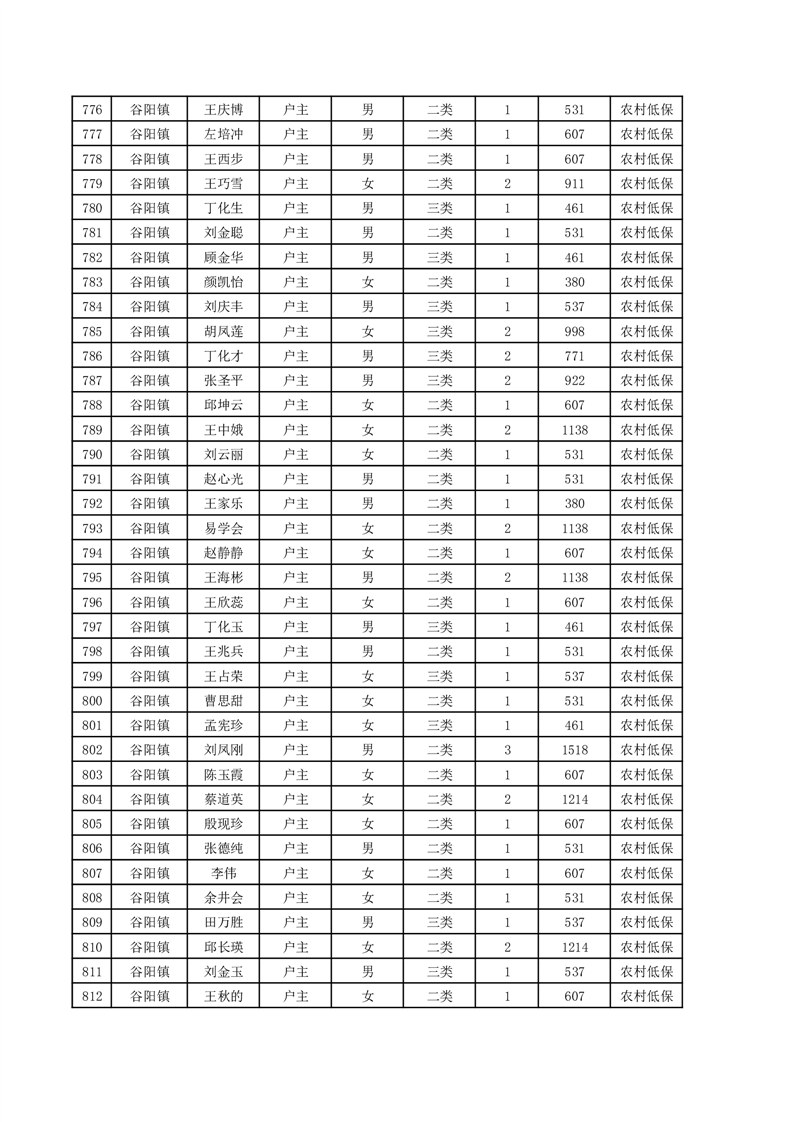
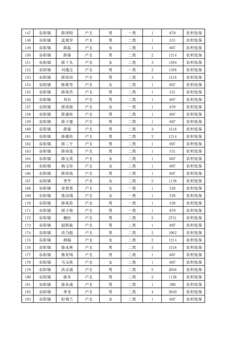
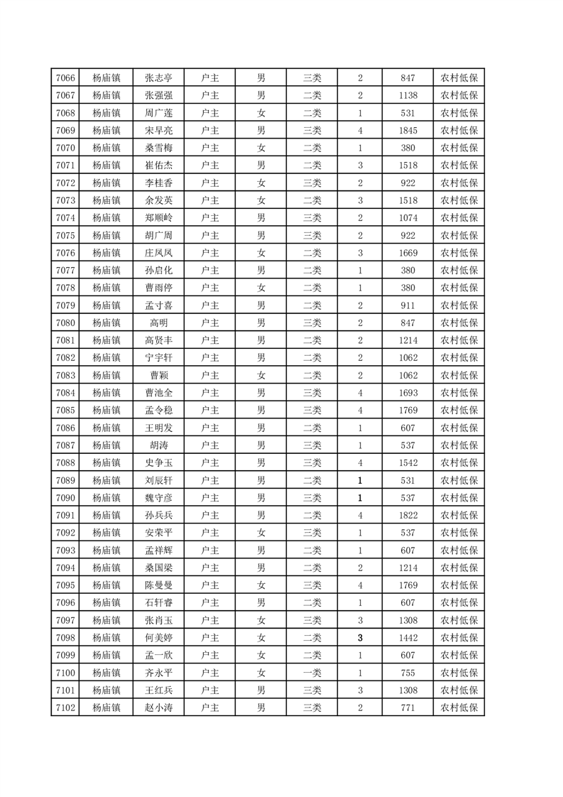
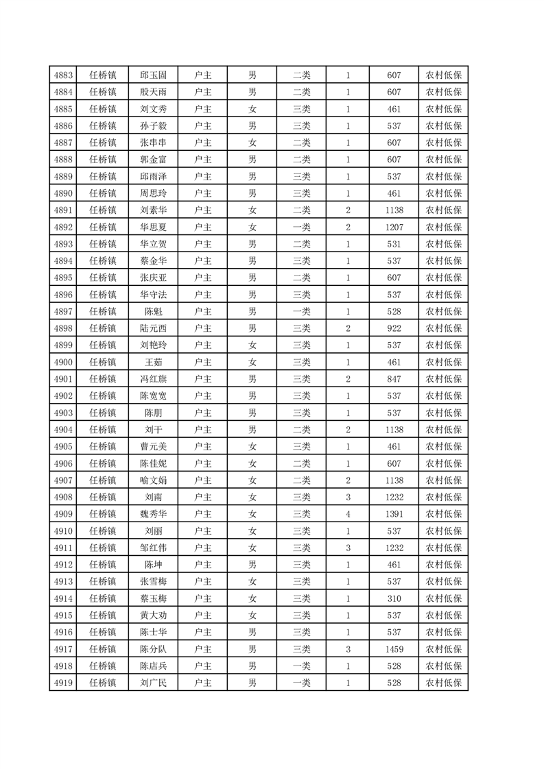
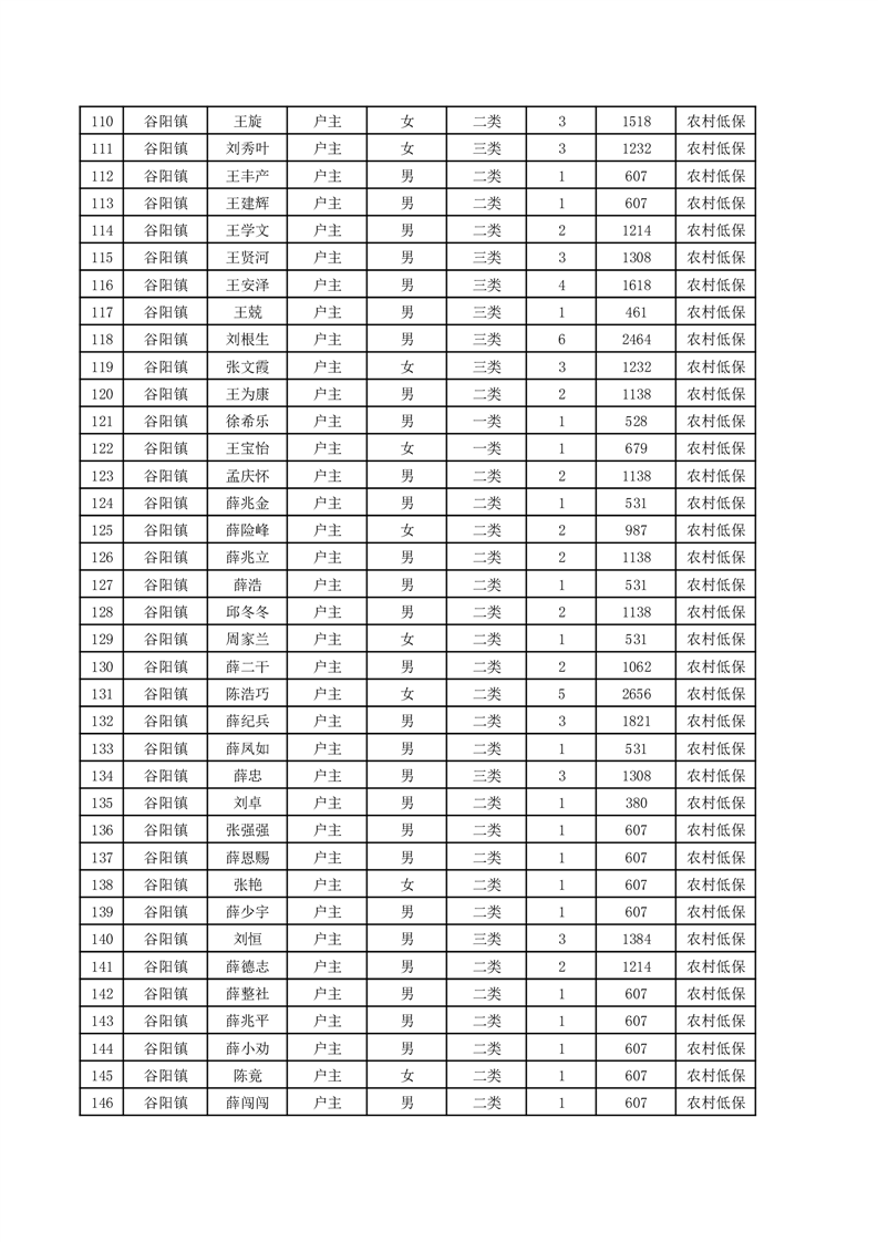
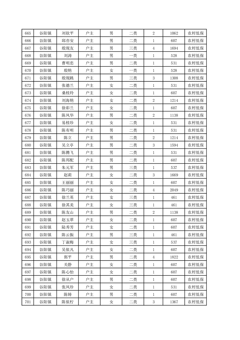
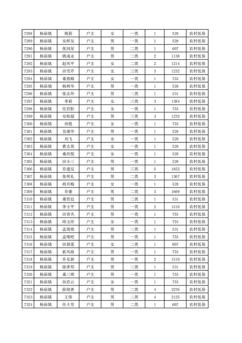
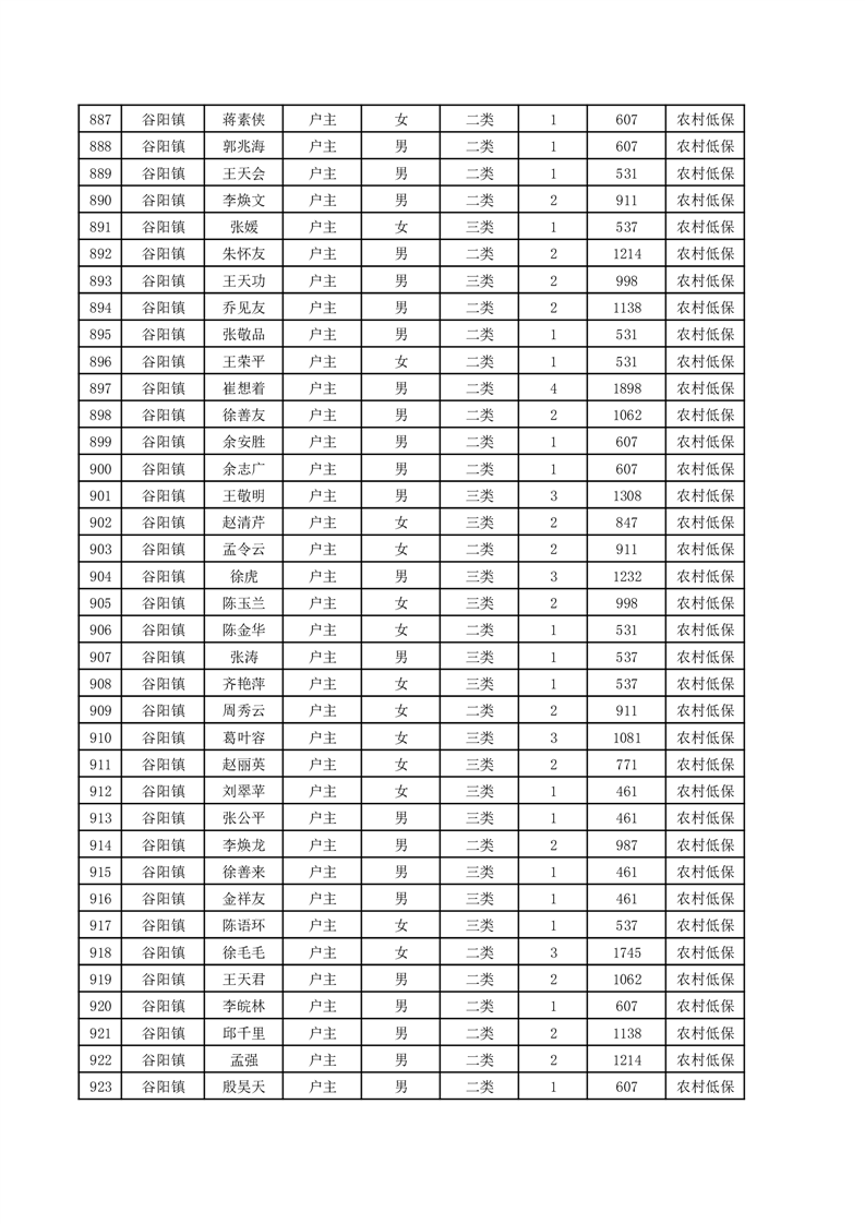
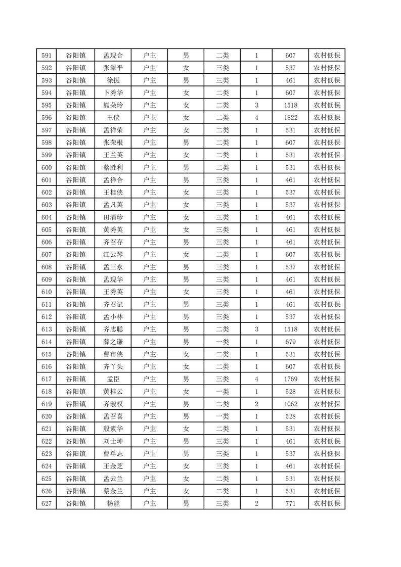
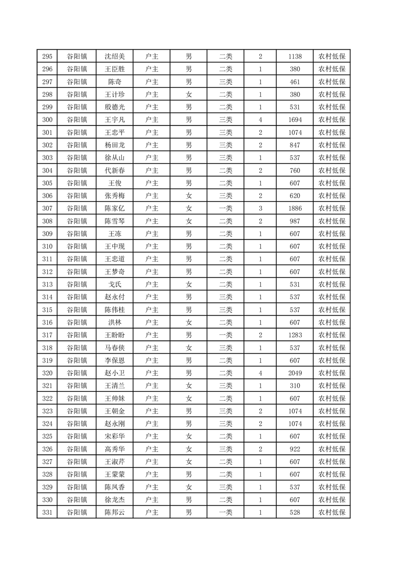
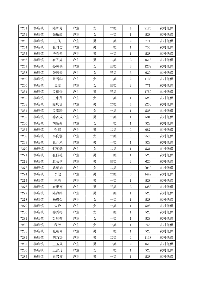
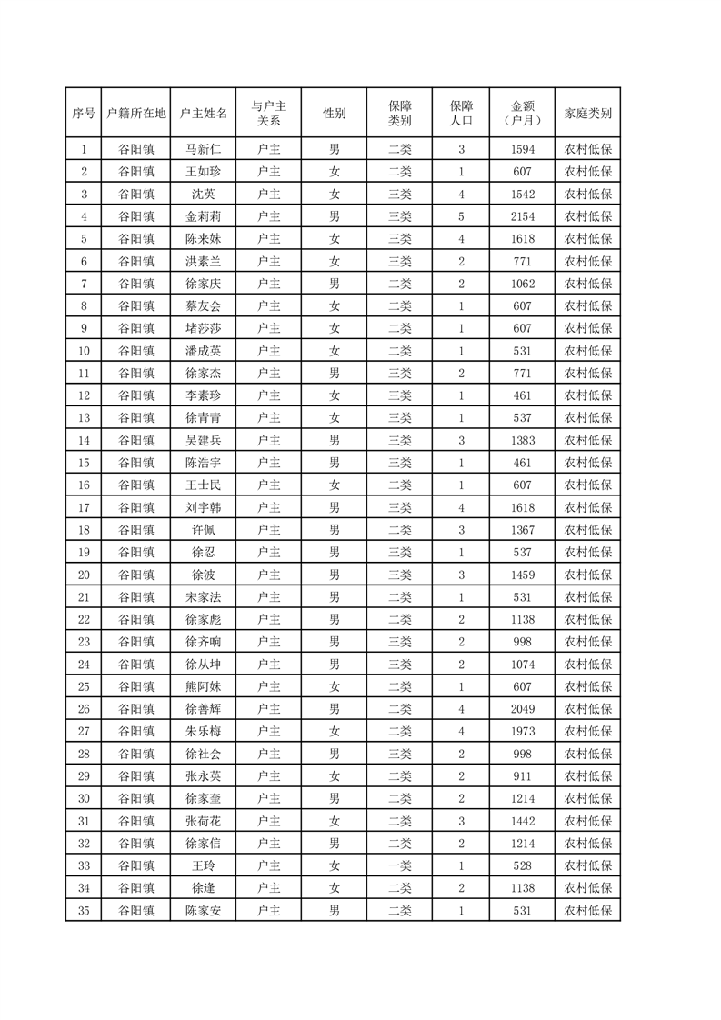
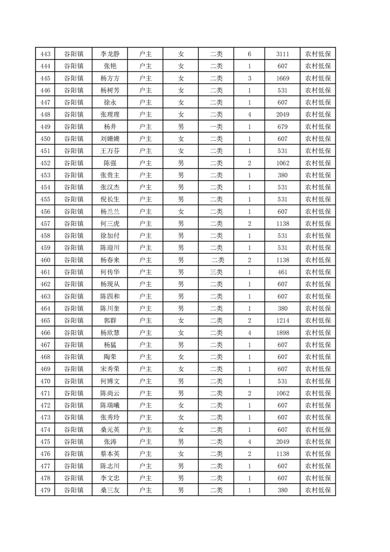
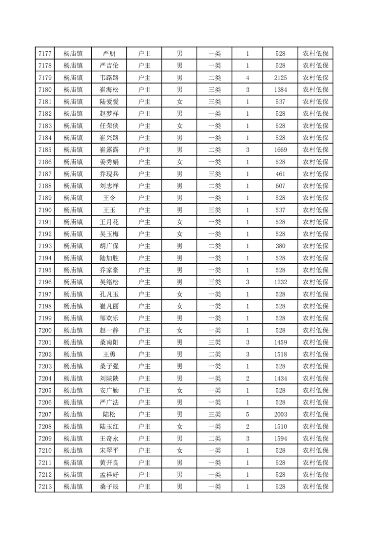
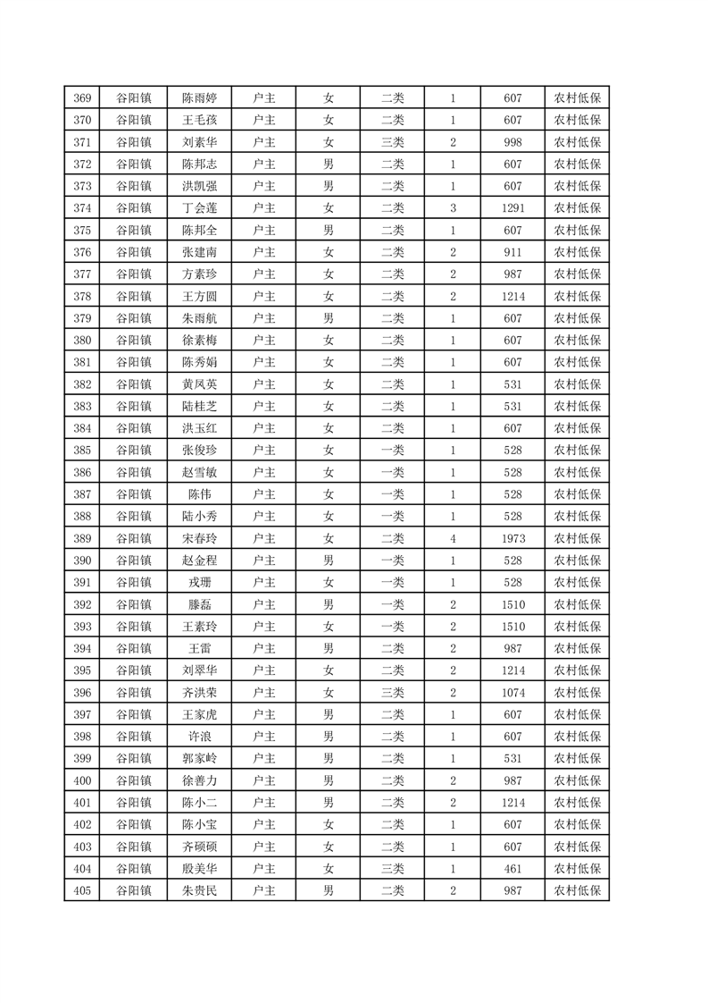
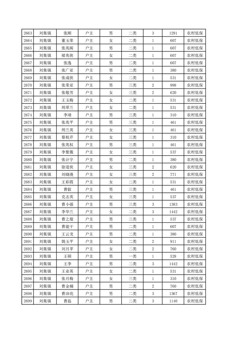
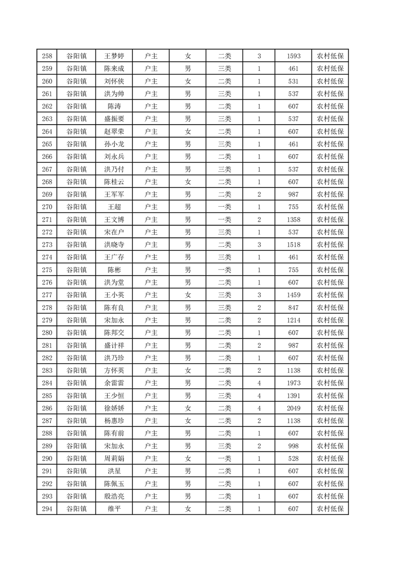
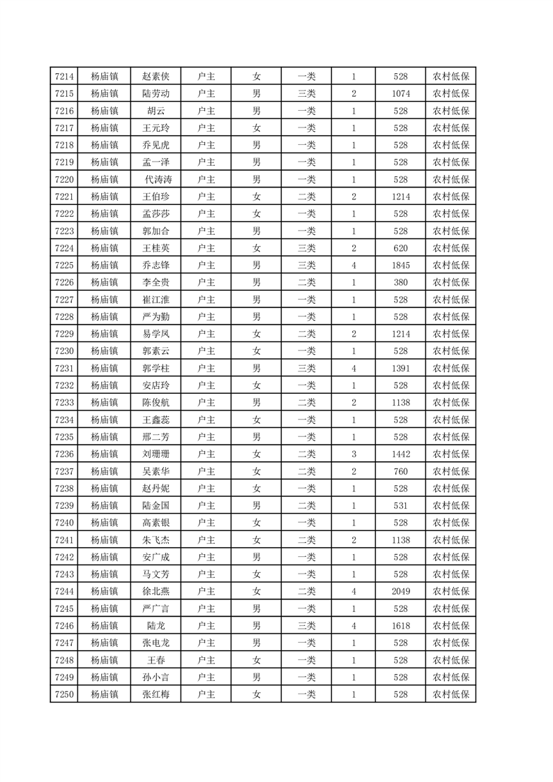
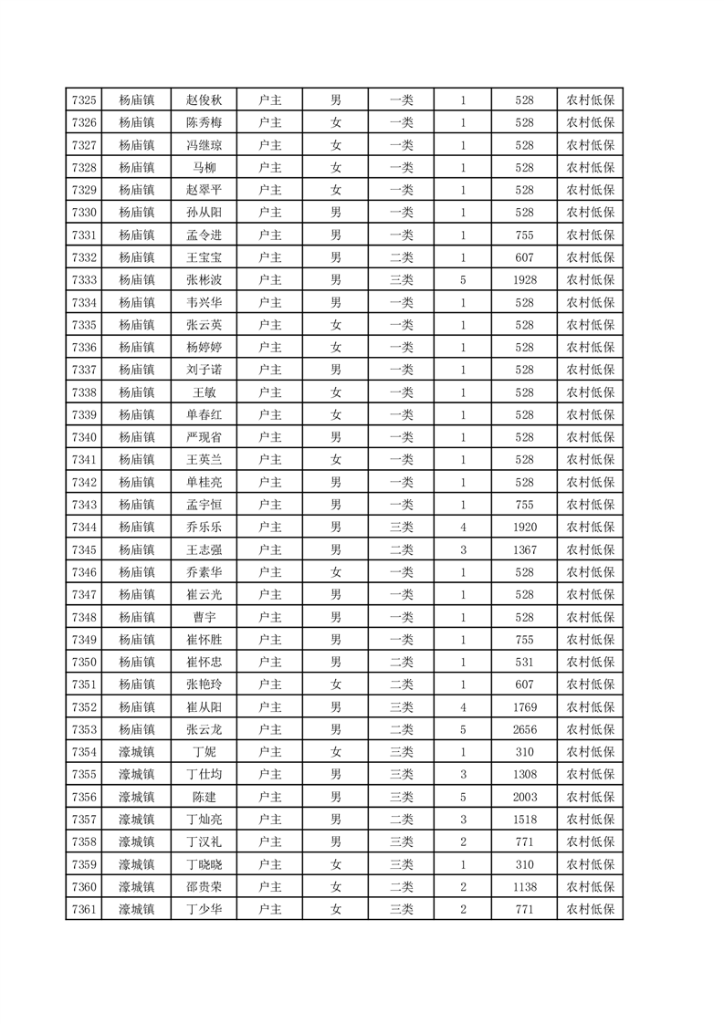
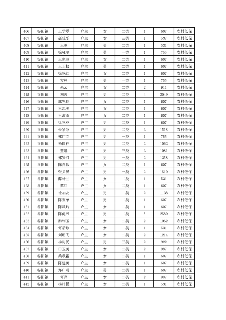
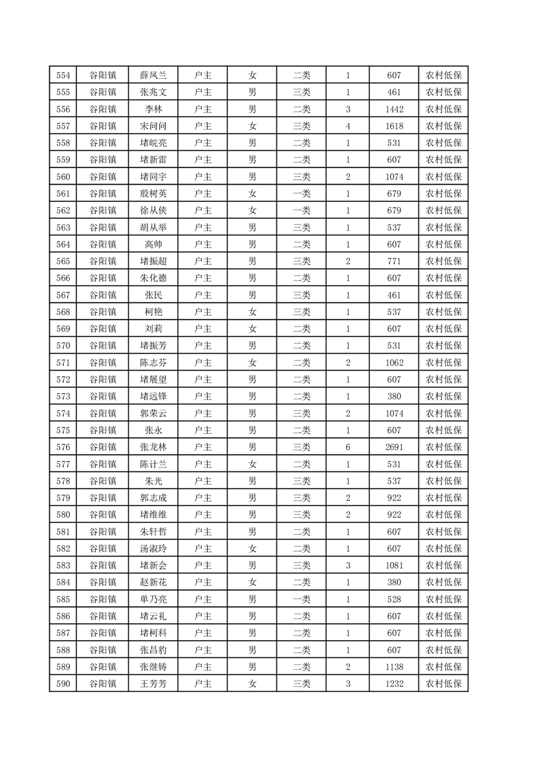
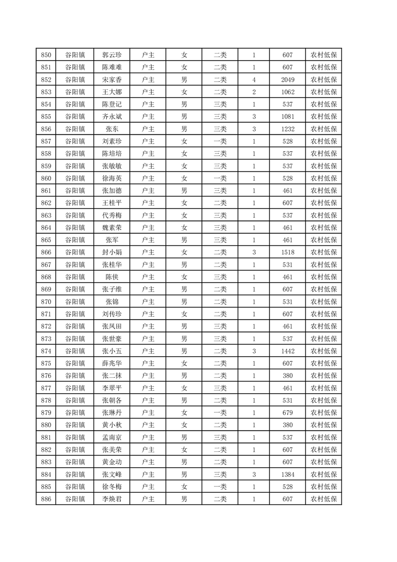
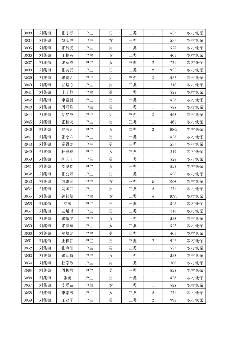
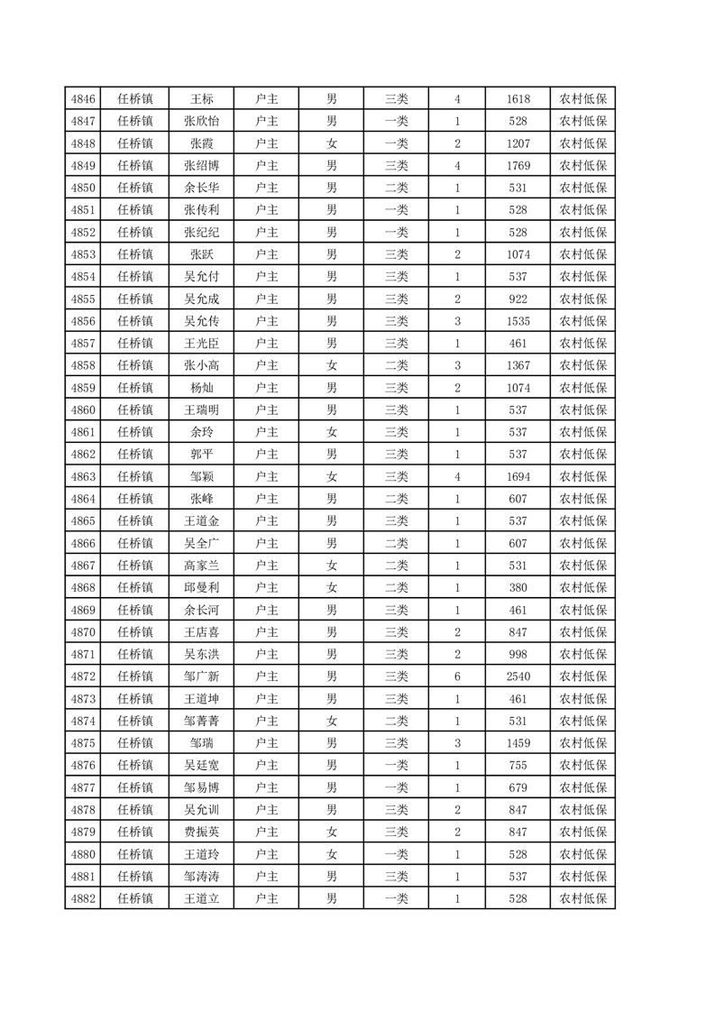
2026年2月城乡低保人员花名册和资金统计 |
| 文 号: |
|
关键词: |
2026年2月城乡低保人员花名册和资金统计 |
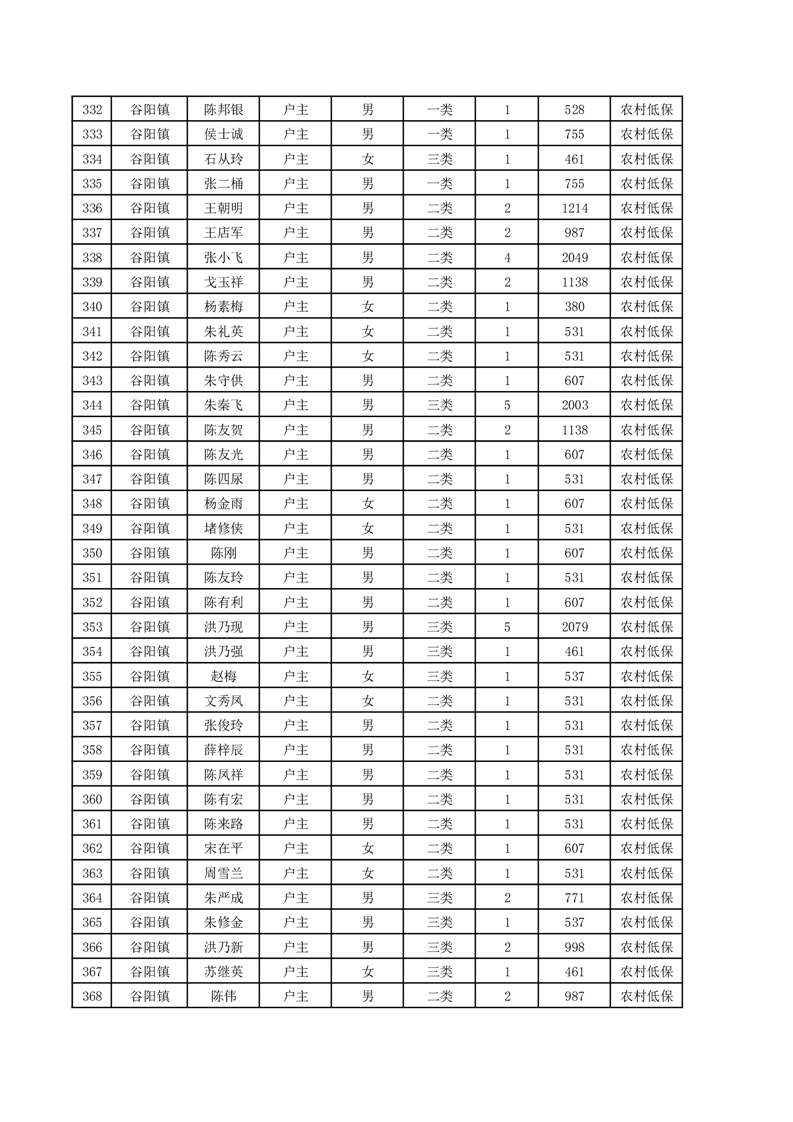
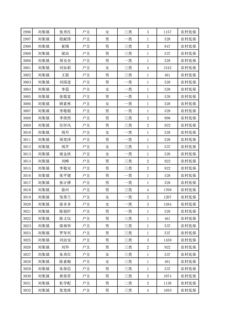
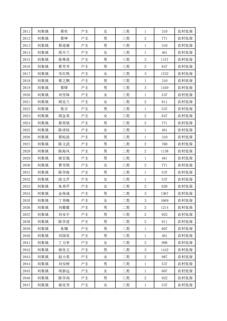
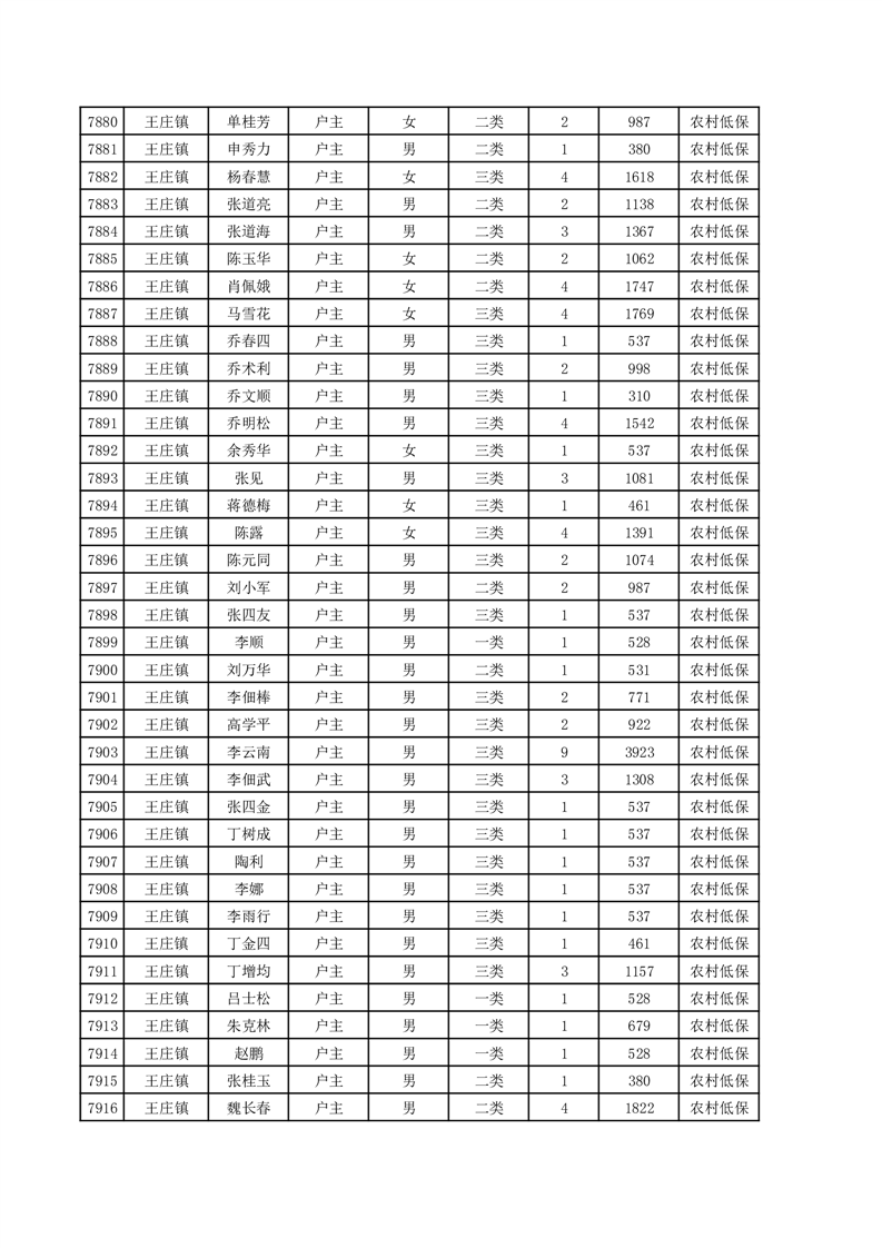
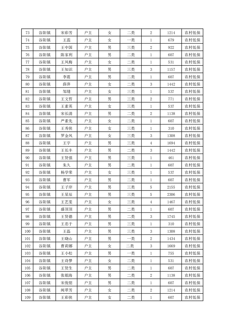
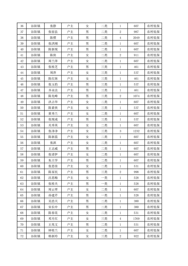
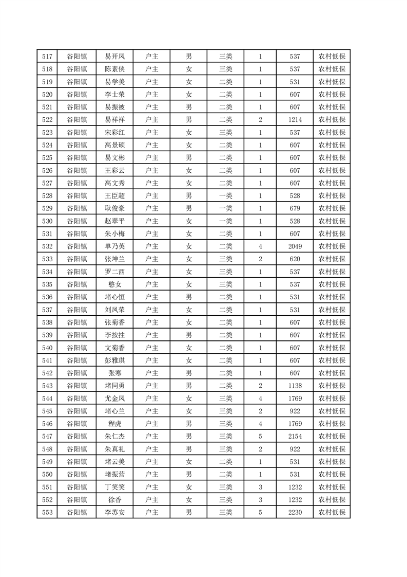
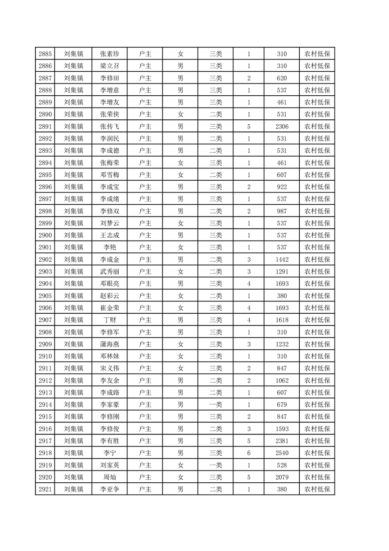
2026年2月城乡低保人员花名册和资金统计
发布日期:2026-02-25 09:17信息来源:固镇县民政局 浏览量:
【字号:大 中 小】
-
政务微信
-
扫码关注
固镇县门户·微信
-
政务微博
-
扫码关注
固镇县门户·微博
-